重载铁路再生制动能量利用方案研究 *
Research on Energy Utilization Scheme of Regenerative Braking for Heavy Haul Railway
收稿日期: 2020-09-14 修回日期: 2020-10-20 网络出版日期: 2021-03-25
Received: 2020-09-14 Revised: 2020-10-20 Online: 2021-03-25
作者简介 About authors
刘华伟,男,1976年生,高级工程师。主要研究方向为铁路机车技术管理。E-mail:
耿安琪,男,1998年生,硕士研究生。主要研究方向为高速铁路再生制动能量混合储能技术。E-mail:
重载铁路运输作为铁路的重要发展方向之一,具有效率高、成本低且运能大的特点。近年来,我国重载铁路运能不断提高的同时,也使得能源消耗问题日益凸显。针对如何实现重载铁路的节能降耗,提出了一种基于混合储能的再生制动能量利用方案,通过利用蓄电池和超级电容器在性能上的互补性,实现混合储能系统对重载铁路再生制动能量的高效利用。结合神朔铁路的实测数据,对该条线路的负荷情况进行了分析,并针对混合储能系统设计了有效的能量管理策略,最后在实测数据的基础上对系统的经济性进行了评估。分析结果验证了提出能量管理策略的有效性,以及再生制动能量利用方案具有很好的经济性。
关键词:
As one of the important development directions of railroad, heavy-duty railroad transportation has the characteristics of high efficiency, low cost and large capacity. In recent years, while China heavy-duty railroad capacity has been increasing, it also makes the problem of energy consumption increasingly prominent. A hybrid energy storage based regenerative braking energy utilization scheme is proposed to realize the efficient utilization of regenerative braking energy for heavy-duty railroads by using the complementary performance of storage battery and supercapacitor. The load conditions of the line are analyzed with the measured data of the Shenshuo railroad, and an effective energy management strategy is designed for the hybrid energy storage system, and finally the economics of the system is evaluated based on the measured data. The analysis results verify the effectiveness of the proposed energy management strategy and the good economics of the regenerative braking energy utilization scheme.
Keywords:
本文引用格式
刘华伟, 耿安琪, 何正友, 胡海涛, 张宏伟.
LIU Huawei, GENG Anqi, HE Zhengyou, HU Haitao, ZHANG Hongwei.
1 引言
目前再生制动能量的吸收主要分为耗散型、能馈型和储能型三种[5]。耗散型再生制动能量吸收方式是通过电阻消耗多余的再生制动能量,它结构简单、实现成本较低,但是会把再生制动能量白白浪费掉。能馈型再生制动能量吸收方式是通过逆变装置将能量回馈至交流电网供其他用电设备使用,由于电力部门反向正计的计价方式,给铁路部门带来了较大的经济损失。储能型是指在牵引供电系统中构建储能装置接口电路,将动车组产生的多余再生制动能量存储到相关储能介质中,并将其供给牵引负荷或其他负荷使用[6,7]。储能型方案具有削峰填谷、灵活性高等优势,是近年来研究的热点[8]。随着现代储能技术的发展,储能技术在电力系统的应用涉及发、输、配、用各个环节[9,10]。铁路功率调节器(Railway power conditioner,RPC)能够对负序、谐波和无功进行就地综合补偿,适用于对高速铁路的负序和谐波问题进行综合治理[11]。文献[12]通过铁路功率调节器作为储能系统与牵引供电系统之间的接口,在有效利用再生制动能量的同时,也能够改善牵引变电所左右功率不平衡的问题。
神朔铁路属于重载、山区铁路,由于线路上、下运行量差距大、长大坡道多,其牵引供电系统中主要面临以下问题:① 再生制动能量利用率低、系统能效低;② 电能质量差、网压波动大。针对神朔铁路目前出现的问题,本文从神朔线的新城川牵引变电所、南梁牵引变电所和府谷牵引变电所的实测数据出发,分析其负荷特性,并根据三座变电所负荷的特点设计了基于潮流控制技术的再生制动能量利用方案,并针对该方案的经济性进行分析,最后得出结论。
2 神朔铁路线路情况及负荷分析
2.1 线路情况
目前,神朔铁路运营机车的主力车型为HXD1型9 600 kW交流传动机车与SS4型6 400 kW直流传动机车;牵引质量为:大列1万 t,小列5 000 t;列车追踪间隔最短8 min, 平均每天约110对列车,其中约有40%以上交流传动机车(每天上线21组)。交流传动机车具有再生制动功能,产生再生制动能量的多少受线路坡度、列车运行状态的影响,在重载线路和存在长大坡道的线路中尤其丰富。神朔铁路南梁至府谷区间段属于典型的重载长大坡道段,海拔落差分别高达342 m与425 m,区间最大坡度达1.2%。其大致位置如图1所示,在该区间段,坡度较大,使得列车在下坡的过程中会产生很多的再生制动能量,因此提高该区间段的再生制动能量利用率会对铁路的经济运行产生很大的影响。
图1
神朔铁路上、下行运量差距大,大量采用V/v变压器与SS4型直流传动机车使其牵引供电系统面临较为严重的问题。
(1) 负序严重:神朔铁路属于重载铁路,上、下行运量差距大,而且牵引变电所采用的是V/v变压器,使其负序问题比较严重。
(2) 谐波含量高:神朔铁路大量采用SS4型直流传动机车,直流传动机车主要产生3、5、7次谐波,导致其面临着严重的谐波问题。
(3) 无功功率大、功率因数低:神朔铁路线上采用的是直流传动和交流传动机车混合运行,使得整个系统的功率因数偏低。
(4) 牵引网电压波动大:神朔铁路均采用直接供电方式,且重载铁路的上、下行运量差距大,长大坡道导致机车产生大量的再生制动能量返送给电网,使得变压器二次侧电压波动剧烈。
2.2 负荷分析
为了探明重载铁路再生制动能量的分布情况,以及电能质量的相关数据,对神朔铁路的南梁、新城川以及府谷三座牵引变电所进行了测试,测试时间为一天,数据根据IEEE Std1459TM-2010[13]中所定义的有功功率、无功功率、视在功率和功率因数的计算方法进行计算。
2.2.1 再生制动能量测试结果
图2~4分别为南梁、新城川和府谷牵引变电所左、右供电臂的一天的功率情况。神朔铁路属于重载铁路,该线路上、下行运量差距很大,导致变电所两条供电臂上的功率相差很大。
图2
图3
图4
从图2~4中可以看出,三座牵引变电所的两条供电臂在牵引功率和再生功率上都有比较大的差别,由于三座牵引变电所的变压器均采用V/v接线方式,而V/v变压器属于一种不平衡变压器,这就会使牵引变电所三相侧产生很大的负序电流,从而恶化了牵引供电系统的电能质量。
根据牵引变电所左、右供电臂的实测功率,可以得到神朔铁路南梁-府谷区间内三座牵引变电所的三相侧、牵引侧日返送再生电量,如图5所示。在三座牵引变电所的6条供电臂中,新城川-孤山川供电臂日返送再生电量最多,该供电臂每天产生的再生制动电量为2.08万kW·h;新城川牵引变电所相比于其他两个变电所再生制动能量相对较多,该变电所每天可以向电网返送的电量为2.39万kW·h。随着更多采用再生制动方式制动的交流传动机车投入运行,该区间每天产生的再生制动能量还会进一步增加。
图5
表1、2分别是三座牵引变电所110 kV侧、 27.5 kV侧再生制动能量的统计情况,根据表中的数据可以看出,三座变电所的再生制动能量最大功率较大,并且单次再生制动产生的电量较大。以新城川牵引变电所为例,图6a是新城川牵引变电所两条供电臂一天内再生制动的功率分布情况,横坐标为再生制动持续时间,纵坐标为再生制动过程中的平均功率。若定义再生制动能量的持续时间小于200 s为短时间制动,大于200 s为长时间制动;定义再生制动能量的制动平均功率大于 1 MW为大功率制动,小于1 MW为小功率制动,则新城川变电所的再生制动能量主要集中在短时间小功率区间内。新城川变电所绝大部分再生制动工况的再生制动电量主要集中在400 kW·h以下,如图6b所示。
表1 110 kV侧再生制动能量情况表
位置 | 110 kV侧返送有功功率的最大值/MW | 110 kV侧返送有功功率的95%最大值/MW | ||||
---|---|---|---|---|---|---|
A相 | B相 | C相 | A相 | B相 | C相 | |
南梁 | 5.31 | 8.11 | 4.51 | 2.86 | 4.33 | 2.58 |
新城川 | 5.13 | 10.55 | 8.43 | 3.07 | 3.88 | 5.11 |
府谷 | 2.49 | 7.99 | 6.61 | 1.52 | 5.78 | 4.39 |
表2 27.5 kV侧再生制动能量情况表
位置 | 27.5 kV侧返送有功功率的最大值/MW | 27.5 kV侧返送再生能量次数/次 | 27.5 kV侧最大单次返送电量/(kW·h) | |||
---|---|---|---|---|---|---|
左臂 | 右臂 | 左臂 | 右臂 | 左臂 | 右臂 | |
南梁 | 12.72 | 6.87 | 148 | 1 580 | 804.09 | 359.45 |
新城川 | 9.82 | 13.14 | 450 | 231 | 453.43 | 1 733.98 |
府谷 | 4.98 | 15.35 | 48 | 454 | 69.83 | 2 034.29 |
图6
2.2.2 电能质量测试结果
由于再生制动能量直接返送给电网,使得牵引变电所的电能质量问题也比较严重。以新城川牵引变电所为例,图7表示了新城川牵引变电所三相电压不平衡度的情况;表3中U1、U2、U0和ub分别代表正序电压、负序电压、零序电压和电压不平衡度;表4统计了新城川变电所三相侧、牵引侧谐波电流的情况。根据图中以及表中数据显示,新城川牵引变电所的每一相电压都有较大的畸变,三相电压不平衡度最大值为5.51%,三相谐波电流最大值分别为70.4 A、74.23 A和47.58 A。当然其他两座变电所也有较为严重的电能质量问题,其中南梁牵引变电所三相电压不平衡度最大值为6.42%,三相谐波电流最大值分别为62.98 A、53.01 A和41.22 A;府谷牵引变电所三相电压不平衡度最大值为14.16%。
图7
表3 新城川牵引变电所电压不平衡度趋势
电气量 | U1/kV | U2/V | U0/V | ub(%) |
---|---|---|---|---|
最大值 | 69.12 | 3 658.00 | 2 224.80 | 5.51 |
平均值 | 67.77 | 1 196.30 | 750.33 | 1.77 |
最小值 | 65.92 | 7.72 | 7.10 | 0.01 |
99%最大值 | 68.64 | 2 821.67 | 1 555.95 | 4.23 |
95%最大值 | 68.44 | 2 153.77 | 1 335.69 | 3.20 |
表4 新城川牵引变电所谐波电流趋势
相别 | A | B | C | T1 | T2 |
---|---|---|---|---|---|
最大值/A | 70.42 | 74.23 | 47.58 | 346.95 | 199.7 |
平均值/A | 5.06 | 12.8 | 12.77 | 20.05 | 52.92 |
最小值/A | 0.32 | 0.32 | 0.41 | 0.72 | 0.58 |
99%最大值/A | 16.95 | 31.75 | 36.71 | 69.77 | 153.56 |
95%最大值/A | 14.8 | 23.75 | 26.82 | 60.81 | 111.9 |
3 技术方案
根据第2节的实测数据,可以得出南梁至府谷区间段的再生制动能量比较丰富,但是再生制动能量利用率低,且三座牵引变电所的电能质量较差。为了提高再生制动能量利用率,并改善牵引变电所的电能质量,文献[14]提出一种高速铁路牵引供电系统储能方案,左、右供电臂的功率通过RPC进行平衡,即
式中,Pout为左、右供电臂平衡之后的功率;PL、PR分别为左、右供电臂平衡之前的功率;PESS为储能系统的功率。
当系统只通过RPC平衡左右供电臂功率时,式(1)中的PESS等于0。根据该公式和三座牵引变电所的实测数据,可以得到左右供电臂仅通过RPC平衡之后向牵引变电所三相侧返送的总电量。其中,南梁牵引变电所三相侧返送的再生制动能量为0.62万kW·h,新城川牵引变电所三相侧返送的再生制动能量为1.63万kW·h,府谷牵引变电所三相侧返送的再生制动能量为0.73万kW·h。根据计算结果不难发现,新城川变电所在通过RPC平衡之后,返送的再生制动能量依旧较多,而南梁牵引变电所和府谷牵引变电所在平衡后返送的再生制动能量相对 较少。
图8
图9
由于该方案在三座牵引变电所处都接入了RPC装置,所以能够同时实现三座牵引变电所的再生制动能量回收利用、谐波治理、无功治理、负序平衡、负序治理和网压波动抑制,其中包含了测试区间段的6条供电臂。
分区所的存在使得各牵引变电所相互独立,各设备没有耦合,可以进行自主控制,使得再生制动能量储存系统的安全性大大提高。后期若因为线路运量增加,需要在南梁和府谷牵引变电所处加入储能装置,会使系统的投资成本变高。
4 储能介质选取
针对神朔铁路南梁-府谷区间段,其再生制动能量的最大功率较大,且大部分再生制动能量的持续时间比较短,但是每次制动过程产生的电量却比较大。图10为新城川变电所其中一段时间的再生制动功率情况,其中再生制动过程持续227 s,最大再生功率为8.75 MW,再生制动电量为393.538 kW·h。为了能够最大提高再生制动能量利用率,就需要增大储能系统的容量和功率,但是增大容量和功率的同时成本也会大幅上升。
图10
5 经济性分析
表5 成本参数表
对象 | 指标 | 数值 |
---|---|---|
蓄电池 | 功率成本系数/(元/kW) | 2 000 |
容量成本系数/[元/(kW·h)] | 640 | |
循环寿命/次 | 3 000/100%DOD | |
超级电容器 | 功率成本系数/(元/kW) | 500 |
容量成本系数/[元/(kW·h)] | 13 500 | |
循环寿命/次 | 100万 | |
四象限变流器 | 功率/(万元/MW) | 20 |
双向DC/DC | 功率/(万元/MW) | 15 |
电度电费 | 单位单价/ [元/(kW·h)] | 0.487 |
基本电费(最大需量计费) | 单位单价/ (元/kW) | 40 |
其中基本电费的计算方法如式(2)所示,电度电费的计算方法如式(3)所示。
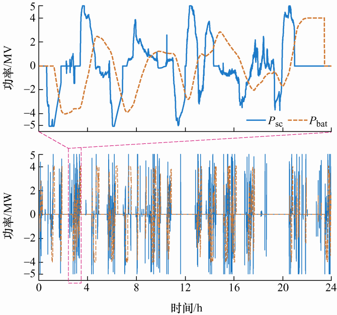
图11为超级电容器和蓄电池实时的充放电功率,通过对混合储能的目标功率进行滤波,然后作为蓄电池的功率,可以使蓄电池功率较为平滑,一方面能够弥补蓄电池动态性能差的特点,另一方面能够减少蓄电池日循环次数,从而延长蓄电池的寿命。
图11
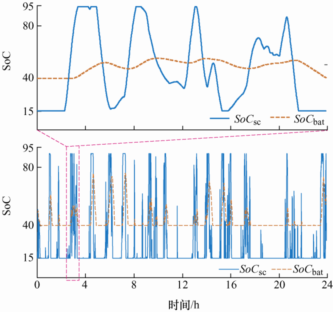
超级电容器与蓄电池的荷电状态如图12所示,为了尽可能地延长蓄电池寿命来提高储能系统的经济性,将蓄电池的SoC波动范围设定在0.4~0.8之间,蓄电池在这个范围内工作,有效地契合了“浅冲浅放”的原则。由于超级电容器属于功率型储能元件,能量成本相对较高,为了尽可能地释放其设定容量,因此将SoC波动范围设定在0.15~0.95之间。根据图中显示的结果表明,两种储能元件的SoC、功率都在约束的范围之内。
图12
通过文献[20]对蓄电池寿命评估的方法,可以大概推算出蓄电池最大的循环寿命为7.5年。将储能系统的全寿命周期设定为15年,由于超级电容器的寿命很长,所以可以假设超级电容器可以工作15年,即在全寿命周期内不用更换。蓄电池由于最大循环寿命的限制,因此需要在全寿命周期内更换 一次。
考虑到南梁、新城川、府谷牵引变电所两臂的负荷特性,RPC最大功率设定为8 MW。经过计算南梁变电所接入RPC之后,每天回收的再生电量为5 141.9 kW·h;府谷牵引变电所接入RPC之后,每天回收的再生电量为9 427.6 kW·h。
图13
图14
在超级电容器和蓄电池功率设置为定值的条件下,蓄电池和超级电容器容量对经济性的影响如图13b所示。当超级电容器的容量为300 kW·h、蓄电池的容量为2 000 kW·h时,牵引变电所三相侧回收的再生制动电量为19 732.57 kW·h,此时再生制动能量系统在全寿命周期内产生的经济效益最大,最大值为6 299.76万元,其成本为2 921万元。如图13a所示,超级电容器属于功率型器件,其容量成本相对较高,超级电容器容量的变化对系统成本影响相对蓄电池来说较为明显。在蓄电池容量不变的情况下,整套系统的经济性随着超级电容器的容量先增大,在容量增大到一定程度之后,容量的提高并不能使整套系统回收再生制动能量的水平急剧提高,这时系统的经济性会随着超级电容器容量的提高而降低。
如图14a所示,由于蓄电池为能量型储能元件,其功率成本相对较大,使得整套系统的成本随着蓄电池功率的升高而急剧增大。在超级电容器功率和蓄电池容量设置为定值的条件下,图14b体现了蓄电池功率和超级电容器容量对经济性的影响,当超级电容器容量保持不变时,随着蓄电池功率的增加,系统回收再生制动能量的水平会提高,当蓄电池功率增大到一定程度时,系统会因为蓄电池的功率成本过高而降低系统的收益,因此在蓄电池功率超过某一范围时,系统的经济性反而会随着蓄电池功率的增大而降低。根据图中显示,当蓄电池功率为3.2 MW,超级电容器容量为210 kW·h时,系统可获得最大收益,最大收益为5 536万元,其成本为3 149.3万元。
由于混合储能中的储能介质具有不同的特性,使得合理配置各个储能介质的容量、功率变得十分重要。蓄电池和超级电容器存在性能上的互补,所以在配置储能介质之间比例的同时,会存在经济性上的最优值。因此,根据经济性最大的原则来配置储能介质的比例能够更好地实现系统的经济运行。
6 结论
根据实测数据的分析结果,验证了所提出能量管理策略的有效性,以及再生制动能量利用方案具有很好的经济性,并得出如下结论。
(1) 本文根据神朔铁路的线路情况,提出了在三座牵引变电所设置再生制动能量利用系统的方案,并采用蓄电池和超级电容器组成的混合储能系统回收再生制动能量。根据实测数据的分析结果表明,提出的能量管理策略能够让蓄电池和超级电容器在设定的功率、SoC范围内工作。
(2) 通过对所提方案的经济性分析,可以得到全寿命周期下的收益。结果表明,在合理配置蓄电池和超级电容器容量、功率情况下,所提出的再生制动能量储存方案可以有效地提高再生制动能量利用率,并且能够在全寿命周期内取得收益。
参考文献
国家铁路局发布《2019年铁道统计公报》
[EB/OL].
The National Railway Administration released the 2019 railway statistics bulletin
[EB/OL].
国务院关于印发《中国制造2025》的通知
[EB/OL].
Notice of the State Council on issuing Made in China 2025
[EB/OL].
列车能耗测试装置与分析方法研究
[J].
Research on train energy consumption test device and analysis method
[J].
高速铁路再生制动能量储存与利用技术研究
[J].
Research on regenerative braking energy storage and utilization technology for high-speed railways
[J].
城市轨道交通再生电能回收技术方案的研究
[J].
Study on technical plan for recycling of regenerated energy in urban mass transit system
[J].
Energy storage systems for transport and grid applications
[J].
Optimal sizing of energy storage for regenerative braking in electric railway systems
[J].
电气化铁路飞轮储能技术研究
[J].
Research on flywheel energy storage technology for electrified railway
[J].
考虑超级电容器荷电状态的混合储能系统能量管理策略
[J].
Energy management strategy of hybrid energy storage system considering the state of charge of supercapacitors
[J].
Contribution of energy storage systems for power generation and demand balancing with increasing integration of renewable sources:Application to the Portuguese power system
[C]//
采用V/v变压器的高速铁路牵引供电系统负序和谐波综合补偿方法
[J].
Integrative compensation method of negative phase sequence and harmonic for high-speed railway traction supply system with V/v transformer
[J].
基于铁路功率调节器的高速铁路牵引供电系统储能方案及控制策略
[J].
Energy storage scheme and control strategies of high-speed railway based on railway power conditioner
[J].
IEEE Standard Definitions for the Measurement of Electric Power Quantities Under Sinusoidal,Nonsinusoidal,Balanced,or Unbalanced Conditions
[J].
计及再生制动能量回收和电能质量改善的铁路背靠背混合储能系统及其控制方法
[J].
Back-to-back hybrid energy storage system of electric railway and its control method considering regenerative braking energy recovery and power quality improvement
[J].
储能技术融合分布式可再生能源的现状及发展趋势
[J].
Present development condition and trends of energy storage technology in the integration of distributed renewable energy
[J].
Design and advanced control strategies of a hybrid energy storage system for the grid integration of wind power generations
[J].
A supervisory energy management control strategy in a battery/ultracapacitor hybrid energy storage system
[J].
基于频谱分析的微网混合储能容量优化配置
[J].
Spectrum analysis based capacity configuration of hybrid energy storage in microgrid
[J].
适用于电网的先进大容量储能技术发展路线图
[J].
A roadmap for large scale energy storage for grid-level applications
[J].
/
〈 |
|
〉 |
