重载铁路再生制动能量利用方案研究 * |
刘华伟, 耿安琪, 何正友, 胡海涛, 张宏伟 |
Research on Energy Utilization Scheme of Regenerative Braking for Heavy Haul Railway |
LIU Huawei, GENG Anqi, HE Zhengyou, HU Haitao, ZHANG Hongwei |
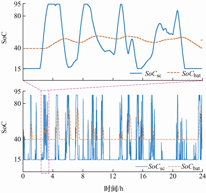
图12 蓄电池和超级电容器SoC对比(超级电容器:容量150 kW·h、功率5 MW;蓄电池:容量1 900 kW·h、功率4 MW) |
![]() |