远距离交直流混联输电系统频率稳定性研究 *
Study on Frequency Stability of Long Distance AC/DC Hybrid Transmission System
收稿日期: 2019-09-9 网络出版日期: 2019-12-25
| 基金资助: |
|
Received: 2019-09-9 Online: 2019-12-25
作者简介 About authors
郝晓弘,男,1960年生,硕士,教授,博士研究生导师。主要研究方向为新能源发电与传输技术。E-mail:haoxh@lut.cn
胡开伟,男,1994年生,硕士研究生。主要研究方向为柔性输电技术、高压直流输电等。E-mail:1953713064@qq.com
针对交直并联运行和非并联运行两种输电模式当中,当直流输电系统的输送功率因故障而下降时,对交流输电系统频率稳定性的影响问题,进行了相关的理论推导和仿真分析。首先,分析了影响并联和非并联结构的交直流混联输电系统频率稳定性的主要因素;其次,在直流系统发生故障时和不同输电距离条件下,利用PSCAD/EMTDC仿真软件,分别建立了六机四区域和四机两区域输电系统模型,对两种结构的输电系统进行仿真分析;最后,从仿真结果可得影响交直流混联输电系统远距离、大容量输电时的频率稳定性的主要因素,进而完善了混联电网远距离、大容量输电时的稳定性评价指标。研究结果对远距离交直流混联输电系统的稳定运行具有一定的指导意义。
关键词:
For the two transmission modes of AC-parallel operation and non-parallel operation, when the transmission power of the DC transmission system drops due to the fault, the related theoretical derivation and simulation analysis are carried out on the influence of the frequency stability of the AC transmission system. The main factors affecting the frequency stability of AC/DC hybrid transmission systems with parallel and non-parallel structures are analyzed. Secondly, under the condition of DC system failure and different transmission distances, six machines are established by PSCAD/EMTDC simulation software. The four-zone and four-machine two-region transmission system model simulates the transmission system of two structures. Finally, the main factors affecting the frequency stability of AC/DC hybrid transmission system over long-distance and large-capacity transmission are obtained from the simulation results. Furthermore, the stability evaluation index of the long-distance and large-capacity transmission of the hybrid power grid is improved. The research results have certain guiding significance for the stable operation of long-distance AC-DC hybrid transmission systems.
Keywords:
本文引用格式
郝晓弘, 胡开伟, 马明, 周强, 汪宁渤.
HAO Xiaohong.
1 引言
我国可再生能源和电力负荷的分布,存在不平衡、不协调的特点,电力负荷主要集中于我国东南部地区,而大规模的新能源发电基地如风电场、光伏电站等主要分布于我国西北地区。由于可再生能源的分布和电力需求之间的矛盾,使得我国输电系统存在输电距离远、输送容量大的特点[1]。西北地区大规模的风电、光伏等可再生能源发电基地与东南部电力负荷集中区域之间的距离,超出了传统单一交流输电模式的经济输送距离,使得传统单一的交流输电模式难以达到经济、可靠、安全、大容量输送电力的目的。相比传统单一的交流输电模式高压直流输电技术在实现电力的远距离、大容量输送时有明显的优势。随着我国直流输电系统的规模不断扩大,输电网架结构已逐渐呈现出高压交直流混联的特点[2]。交直流混联输电系统的运行结构主要包括:并联运行结构和非并联运行结构。交直流并联运行结构的输电工程包括:天广直流、美国太平洋沿岸的交直流并联输电系统等。交直流非并联运行结构的输电工程包括:锦屏-苏州、哈密-郑州、酒泉-湖南、溪洛渡-浙江等[3]。交直流混联输电系统,不仅能发挥各自的优势,而且在提高电网整体输送能力的同时增强了电网运行稳定性[4]。但是,若直流系统在运行过程中发生锁故障时,其直流系统输送功率将向交流侧转移,使得交流输电通道潮流加重,对交流系统的频率以及系统运行稳定性产生较大影响[5]。国内外学者都对局部阴影下光伏阵列的最大功率点跟踪问题展开了研究。
目前关于交直流混联输电系统频率稳定性的研究有:文献[6]以非并联运行结构的交直流混联输电系统为研究对象,提出直流系统与交流母线之间的功率转移时电压下降系数这一量化指标,在直流系统发生故障时能够更好地反映出系统当中电压下跌情况,为电网的安全运行提供理论指导,但未考虑并联运行结构的混联输电系统频率稳定性。文献[7]通过比较现有并联结构的交直流混联输电系统电压稳定评估体系,提出分电压等级的综合考虑有功、无功潮流影响的电压稳定在线评估指标,简化了计算模块、提高了运算速度,但未考虑潮流转移时频率稳定性。文献[8]在研究交直流混联系统稳定性基础上提出了频率紧急协调控制系统(Frequency emergency coordination control system,FECS),能够根据直流系统故障类别以及故障后对受端系统频率的影响进行紧急控制,但只研究了受端系统频率,未考虑不同落点处的交流输电通道频率稳定性。文献[9]根据特高压交直流混联系统故障特点,提出了特高压交直流混联电网安全分析方法,对川渝电网运行稳定的措施进行了改进,但未考虑输电系统远距离输送时的频率特性。文献[10]总结电网面临的问题提出特高压交直流电网安全应对措施,为混联电网后续研究提供了理论指导,但未细化不同运行条件下的混联电网频率稳定性问题。文献[11]针对远距离交直流并联输电通道联络线总有功损耗为最小目标,建立了交直流并联输电通道联络线路功率优化模型,简化了系统各参量之间的描述关系实现了各区域间的经济运行,但未考虑故障状态下的功率转移。文献[12]提出了高压直流孤岛运行的低频振荡抑制措施,解决了高压直流系统孤岛运行的低频振荡问题,但未考虑交直流混联系统频率稳定性问题。文献[13]提出了特高压直流系统孤岛运行时的频率稳定控制策略,未考虑交直流耦合关系。
针对上述问题,本文首先进行了交直流并联和非并联系统的模型构建,其次对不同输送距离的并联和非并联两种结构的交直流系统故障模型进行了仿真分析,最后分析得出交直流混联输电系统在输送距离变化时,频率稳定性的评价指标,为交直流并联输电系统安全稳定运行以及西电东送的电网规划提供理论依据。
2 交直流混联输电系统数学模型
2.1 交直流并联运行输电系统模型
图1
图2
2.2 交直流并联运行输电系统频率稳定性分析
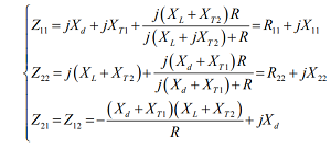
对于含有多台发电机的复杂交流输电系统,其功角特征,可由式(1)表示

式中,Pe与PU分别为发电机功率和受端系统功率,Z11、Z22、Z12、Z21如下所示[17]

将式(4)整理化简可得

由上述推导可知,对交直流并联系统而言,直流输电系统的并联运行结构,可以提高整个输电系统的极限电磁功率Pe,增加量为[18]
当直流通道发生故障时,向并联交流输电系统转移功率以及对频率的影响如式(9)、(10)所示[19]


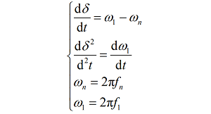
式中,$K\approx0.4$为转移系数;ω1、ωn分别为发电机电动势旋转角速度与发电机转子同步旋转角速度,由式(9)可知,对并联结构交直流系统而言,影响系统频率稳定性的因素主要包括并联交流系统的电压等级、系统阻抗,并联交流系统电压等级越高可承受的转移功率值越大,当直流系统发生故障时抗扰能力越强,在故障时确保受端系统电压不失稳,由于直流输电系统的等效电阻效应,使得Zii、Zij减小,增强了发电机阻尼特性,对频率的抑制效果明显,在输送距离变化时对频率稳定性影响较小。
2.3 非并联运行交直流系统数学模型
图3
图4
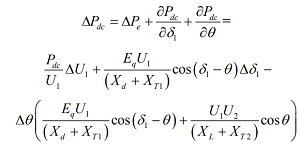
非并联运行的交直流混联输电系统,其平衡点处的功率关系如式(11)所示[23]
直流系统功率波动满足如下关系

式中,$\Delta P_{ac}$为直流系统故障时的功率变化率;$\Delta U_{1}$为送端系统电压变化量;$\Delta\delta_{1}$为直流系统故障时功角变化量;$\Delta\theta$为U1与U2之间相角变化量;$\Delta f_{ac}$为交流系统频率变化量;K为斜率。由式(12)可知,对非并联结构交直流混联输电系统而言,频率稳定性与交流输电系统电压等级、输电距离密切相关。由式(13)可知,当交流系统电压等级较低时,交流系统极限功率Pacm值较小,则系统抗扰动能力较差,直流系统发生故障时频率波动较严重。由式(14)可知,非并联运行的交直流混联系统,线路输送距离越长,交流系统频率稳定性越差。
3 系统仿真分析
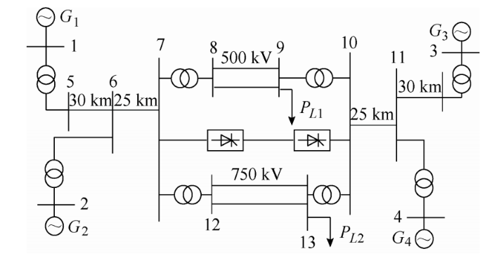
四机两区域交直流并联输电系统仿真模型,如图5所示。
图5
六机四区域交直流非并联输电系统仿真模型,如图6所示。
图6
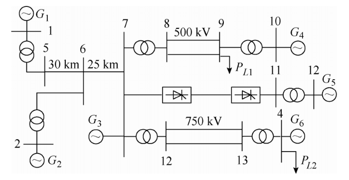
本文采用改进后的四机两区域、六机四区域系统仿真模型。该模型当中,直流输电系统额定输送容量为1 000 MW,整流侧额定电压为345 kV,基波阻抗值为$47.665\angle 84.25^{\circ}$,三次谐波阻抗值为$142.3\angle 84.73^{\circ}$,逆变侧额定电压为230 kV,基波阻抗为$21.2\angle 75^{\circ}$,三次谐波阻抗为$412.97\angle 69.7^{\circ}$,750 kV输电系统升压变压器容量为1 000 MVA,送端系统输送功率P1,500 kV系统输送有功功率Pac1,750 kV系统输送有功功率Pac2,当输送距离为S=300 km时,稳态参数如表1所示。当直流系统在4 s时发生单极闭锁故障,系统故障参数如表2所示。
表1 两种输电模式下的系统稳态参数
| 运行模式 | 输送 距离S/km | 功率P1/MW | 功率Pac1/MW | 功率Pac2/MW |
|---|---|---|---|---|
| 并联结构 | 300 | 1 400 | 400 | 1 000 |
| 非并联结构 | 300 | 1 600 | 700 | 1 400 |
表2 两种输电模式下的系统故障参数
| 运行 模式 | 输送距离S/km | 功率$\Delta P_{ac1}$/MW | 功率$\Delta P_{ac2}$/MW | 频率$\Delta f_{1}$/Hz | 频率$\Delta f_{2}$/Hz |
|---|---|---|---|---|---|
| 并联 结构 | 300 | 300 | 400 | 0.6~–0.8 | 0.6~–0.8 |
| 非并联结构 | 300 | 100 | 200 | 0.8 | ±0.4 |
功率转移仿真结果如图7、8所示。
图7
图8
由图7、8仿真曲线可知,对两种模式的输电系统而言,直流系统故障时,对交流输电系统的潮流均有影响。当系统输电距离为300 km时,交直流非并联输送模式较并联输送模式输送容量较大,且系统稳定性较高。
两种输电模式的频率变化仿真结果如图9、10所示。
图9
图10
由仿真图9、10可知,当输送距离为300 km时,对交直流并联输电系统而言,当直流系统发生故障时,750 kV系统与500 kV系统频率波动幅度基本一致,非并联系统输电频率波动范围,取决于交流系统电压等级,当电压等级越高时,其频率稳定性越好。
表3 两种输电模式下的系统稳态参数
| 运行模式 | 输送 距离S/km | 功率P1/MW | 功率Pac1/MW | 功率Pac2/MW |
|---|---|---|---|---|
| 并联结构 | 500 | 1 700 | 650 | 1 500 |
| 非并联结构 | 500 | 1 700 | 750 | 1 300 |
表4 两种输电模式下的系统故障参数
| 运行 模式 | 输送距离S/km | 功率$\Delta P_{ac1}$/MW | 功率$\Delta P_{ac2}$/MW | 频率 $\Delta f_{1}$/Hz | 频率$\Delta f_{2}$/Hz |
|---|---|---|---|---|---|
| 并联 结构 | 500 | 150 | 300 | ±0.6 | ±0.6 |
| 非并联结构 | 500 | 150 | 150 | 1.25~–0.5 | 1.25~–0.5 |
功率转移仿真结果如图11、12所示。
图11
图12
由图11、12可知,当输送距离S=500 km时,交直流并联输电系统与交直流非并联输电系统输送能力相同,此时500 kV系统和750 kV系统频率波动范围基本一致。
此时,两种输电模式的频率变化仿真曲线如图13、14所示。
图13
图14
如图13、14所示,当输送距离S=500 km时,对交直流并联输电系统而言,750 kV与500 kV输送频率波动范围均为±0.6Hz,直流系统故障对交流输送通道频率稳定性影响较小,而对交直流非并联输电系而言,直流系统故障对交流输送通道频率稳定性影响较大,易造成较为严重的频率越限。
表5 两种输电模式下的系统稳态参数
| 运行模式 | 输送 距离S/km | 功率P1/MW | 功率Pac1/MW | 功率Pac2/MW |
|---|---|---|---|---|
| 并联结构 | 900 | 2 400 | 900 | 2 200 |
| 非并联结构 | 900 | 2 000 | 900 | 1 500 |
表6 两种输电模式下的系统故障参数
| 运行模式 | 输送 距离S/km | 功率$\Delta P_{ac1}/MW | 功率$\Delta P_{ac2}/MW | 频率$\Delta f_{1}$/Hz | 频率$\Delta f_{1}$/Hz |
|---|---|---|---|---|---|
| 并联结构 | 900 | 200 | 300 | ±0.6 | ±0.6 |
| 非并联 结构 | 900 | 100 | 300 | ±1.3 | 1~–0.75 |
功率转移仿真结果如图15、16所示。
图15
图16
由图15、16可知,当输送距离S=900 km时,交直流并联输电系统输送能力较非并联输电系统较强,且此时由于直流输电系统的抑制作用,使得并联输电系统在正常运行时有功功率波动较小,此时对非并联输电系统而言,由于输送距离较长,系统阻抗角大导致电压损耗较大,使得交流输送通道在接受潮流转移时,产生较大的功率波动。
两种输电模式的频率波动曲线如图17、18所示。
图17
图18
4 结论
本文针对交直流并联与非并联两种结构的输电模式,当直流输电系统输送功率因故障而下降时,转移部分盈余功率至交流输电通道时,对交流系统频率稳定性的影响问题进行了相关的理论推导,并利用PSCAD/EMTDC搭建两机四区域模型与六机四区域模型进行了仿真分析,得出如下结论。
(1) 对于两种结构的输电系统,当输电距离小于500 km时,非并联结构的交直流输电系统输送能力较并联结构输电系统较强,且交流系统电压等级越高频率稳定性强。
(2) 当输送距离等于500 km时,两者输送能力相同,但并联结构的交直流输电系统频率稳定性更强,而采用非并联结构的交直流系统更能突出多区域联网的优越性,但此时要求受端交流系统有足够的电气强度,能够抵御直流系统故障带来的频率越限以及电压降落的冲击。
(3) 当输送距离为900 km时,并联结构的交直流输电系统,输送能力更强,并且直流故障时系统阻尼较强,频率振荡较小,同时对受端系统电压具有更好的支撑作用,在实现电能跨区域远距离输送时,应采用并联结构的交直流输电模式。
综上所述,从频率稳定性角度考虑,当输送距离小于或等于500 km时,应采用非并联结构的交直流输电系统;当实现大规模新能源跨区域远距离外送时,应采用交直流并联输电模式。
参考文献
特高压交直流混联电网连锁故障安稳风险评估
[J].
Security and stability analysis method for AC/DC UHV power system cascading failure based on improved risk assessment
[J].
交直流混联系统连锁故障搜索模型及故障关联分析
[J].
Search model and fault correlation analysis of AC/DC hybrid power system
[J].
交直流混联电力系统小干扰稳定性分析综述
[J].
Small signal stability analysis of AC/DC hybrid power system: An overview
[J].
交直流混联电网LCC- HVDC换流器建模方法综述
[J].
A review of modeling methods for LCC-HVDC converter in AC/DC hybrid power grid
[J].
交直流混联受端电网频率紧急协调控制技术及应用
[J].
Technology and application of frequency coordinated emergency control for AC/DC hybrid receiving power grid
[J].
交直流混联系统直流功率转移对交流电压的影响
[J].
Effect of DC power transfer on AC voltage in AC/DC hybrid system
[J].
交直流混联系统电压稳定在线评估体系
[J].
Hybrid AC and DC line voltage stability evaluation system
[J].
基于时域的交直流混联系统抗过渡电阻的单相接地距离保护研究
[J].
Study on single-phase grounding distance protection of transition resistance based on time domain in AC/ DC hybrid system
[J].
直流功率转移对川渝弱交流电网安全稳定影响分析
[J].
Analysis and study on DC power transfer and impact on Sichuan-Chongqing grid weak AC system security and stability
[J].
大规模特高压交直流混联电网特性分析与运行控制
[J].
Characteristics analysis and operation control of large-scale UHV AC/DC power grids
[J].
远距离交直流并联输电通道联络线的有功优化分配
[J].
Active power optimization of long-distance AC-DC parallel transmission channel linkage
[J].
云广特高压直流送端孤岛运行超低频振荡与措施
[J].
Ultra-low-frequency oscillation and countermeasures in Yunnan-Guangdong UHVDC sending-end system in islanded operating mode
[J].
交流故障下高压直流运行特性及恢复策略研究
[J].
Research on operational characteristics and recovery strategy of HVDC under AC fault
[J].
特高压直流送端孤岛系统频率稳定控制
[J].
Frequency stability control of UHV DC transmission island system
[J].
交直流混联式三端半波长输电拓扑结构
[J].
AC/DC hybrid three-terminal half-wavelength transmission topology
[J].
强直弱交的定义、内涵与形式及其应对措施
[J].
Definition, connotation and form of strong and weak crossing and its countermeasures
[J].
抑制云广特高压直流孤岛运行甩负荷过电压的控制逻辑优化研究
[J].
Study on control logic optimization for suppressing overload and overvoltage of Yunguang UHV DC islands
[J].
±1 100 kV特高压直流送受端接入系统方案研究
[J].
Study on the scheme of ±1 100 kV UHV DC transmitter and receiver access system
[J].
±1 100 kV特高压直流接入系统控制策略优化
[J].
Optimization of control strategy for ±1 100 kV UHVDC access system
[J].
Small- signal stability analysis of multi-terminal VSC-based DC tranmittssion systems
[J].
基于改进STD法的电力系统低频振荡辨识
[J].
Identification of low frequency oscillation in power pystem based on improved STD method
[J].
基于特高压交直流混联电网的调相机无功补偿及快速响应机制研究
[J].
Research on reactive power compensation and fast response mechanism of camera based on UHV AC-DC hybrid power grid
[J].
/
| 〈 |
|
〉 |