SRF-PLL环内应用二阶广义积分器的不平衡电压锁相方法
苏州大学智能结构与系统研究所 苏州 215131
SRF-PLL with In-Loop Second Order Generalized Integrator for Unbalanced Three-Phase Systems
Institute of Intelligent Structure and Systems Soochow University Suzhou 215131 China
收稿日期: 2017-01-18 网络出版日期: 2017-09-25
| 基金资助: |
|
Received: 2017-01-18 Online: 2017-09-25
作者简介 About authors
谢门喜 男 1984年生,硕士,研究方向为并网同步技术。
朱灿焰 男 1962年生,教授,从事信号处理方面的教学与科研工作。
并网型电力电子变流设备需要精确实时检测电网电压的相位以实现同步。同步旋转变换锁相方法,若三相电网电压不平衡,经Park变换后,d轴、q轴分量存在二倍频扰动,引起相位偏差信息不准确,导致正序分量相位检测值存在稳态误差。本文分析了二阶广义积分器的带通特性、参数选取原则及数字化实现方式,将其应用于锁相环内进行二倍频检波,通过去耦间接分离出鉴相器中的直流分量,同时衰减其他高次谐波成分。此外,综合系统的动态性和抗扰性,给出了s域下基于二阶最优的环路滤波器参数设计流程。Matlab/Simulink数字仿真结果表明,电网电压不平衡时,相位检测稳态误差为零。最后,实验平台采用TMS320F28335控制器实现算法,测试波形验证了该方法的实际可行性。
关键词:
It is vital to track voltage phase to synchronization control for grid connected power converters. As three-phase grid voltages are unbalanced, the d-axis and q-axis voltage contains disturbances oscillating at frequency of double fundamental. It gives rise to ripple in Phase Detector of Synchronous Reference Frame Phase-Locked Loop (SRF-PLL) and leads positive sequence detected phase angle steady state error. This paper addresses the performance of Second Order Generalized Integrator(SIGO),which is a band-pass filter that can be used in-loop of SRF-PLL to separate the dc terms and attenuate the other high order frequency components. The digital implementation of SIGO has been given in detail. In addition, by making tradeoff dynamic and disturb of the integrated system, the loop filter parameters design process under s domain based on symmetrical optimum method is given. The simulation has been carried out by Matlab/Simulink, and test results show that the steady error of detected positive sequence phase angle under unbalanced inputs is zero. Experimental results with TMS320F28335 verify the practicability of the idea.
Keywords:
本文引用格式
谢门喜, 朱灿焰, 杨勇.
Xie Menxi.
1 引言
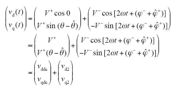
电网电压相位实时检测是一项基本的技术,高精度、快速的锁相同步环节对并网型电力设备控制有重要的应用影响[1]。同步旋转坐标系下锁相环(Synchronous Reference Frame Phase-Locked Loop,SRF-PLL)是一种实用方案[2,3,4],其结构包括三个部分,鉴相器将三相电压信号利用Park变换检测相位偏差,环路滤波PI调节器滤除相位偏差中的高频成分,积分型振荡器利用偏差稳态量计算相位信息,通过不断的闭环调整,直到偏差为恒定值,输出信号实时跟踪输入信号。当三相电网电压处于对称平衡状态时,鉴相器输出为直流成分,准确反映了相位偏差信息,通过设计SRF-PLL中的环路滤波器参数,使PLL为高带宽系统,获得足够稳态精度和较快的动态响应。实际电网系统,由于负载不对称及其动态性,经常出现电压不平衡状态,此时SRF-PLL锁相同步环节追踪正序分量相位,存在稳态误差。
为消除这一稳态误差,适当降低PLL系统的带宽,增强其抗扰性能,代价是系统动态响应会受到影响。另一种方案是在SRF-PLL环内或者环外应用各种类型的滤波器,通过附加滤波来获得准确的相角偏差信息,降低甚至消除稳态误差[5]。针对电压不平衡,本文介绍了一种利用二阶广义积分器(SOGI)进行SRF-PLL环路内滤波方案,首先分析了电压不平衡时鉴相器输出信号特征,对SOGI的带通特性及其数字化实现做了详细的讨论,数字仿真结果表明,SOGI对不平衡电压的锁相效果有良好的改善作用,同时适应一定程度的谐波污染情况。最后,基于TMS320F28335控制器的实验平台实现了该方法,测试波形验证了其良好性能。
2 SRF-PLL不平衡电压鉴相器输出信号特征
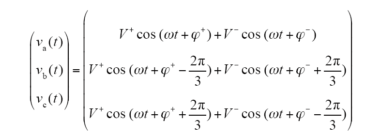
忽略零序分量,不平衡的三相电压,可表达为

式中,V+为正序分量的最大值;V-为负序分量的最大值;ϕ+、ϕ-为初相位;ω = 2π×50rad/s为基波角频率。
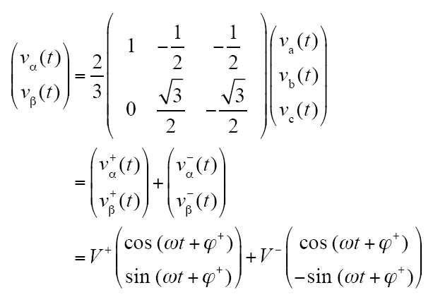
对式(1)应用Clark变换

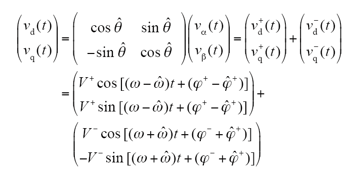
对式(2)应用Park变换

式中,$\hat{\theta}$为正序分量中a相电压相位的检测值

若$\omega=\hat{\omega}$,$\varphi^{+} \approx \hat{\varphi}^{+}$,则

式(5)表明,在dq系下,直流分量vqdc表征正序分量的相位偏差信息,幅度与V+相关;二倍频扰动{vd2、vq2}表征原负序分量,其幅度与V-相关。为适应电压不平衡,利用SRF-PLL方法准确检测到正序分量相位,需对鉴相信号vq滤除二倍频扰动分量vq2,只保留直流分量vqdc。
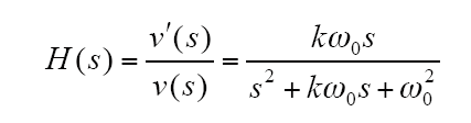
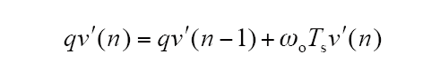
3 二阶广义积分器
图1
SOGI输入与输出的关系

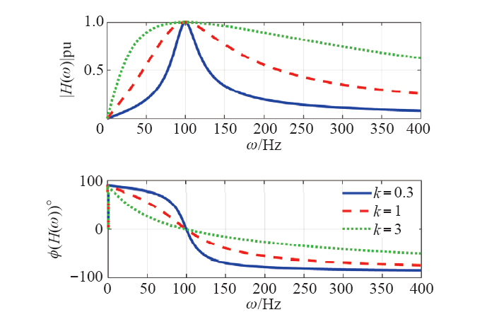
当ω0 = 2×2π×50Hz = 628rad/s,k = {0.3,1,3}时,式(6)频率响应如图2所示,在频点ω0处呈现带通特性,没有时延,而对直流分量完全阻隔。k值越小,通频带越小,对其他频率分量的衰减越大,选通性能越强。
图2



在SRF-PLL环路内配置两个带通SOGI,在dq系下进行检波,通过做差消去二次分量,只让直流成分进入后续模块,如图4所示。为使SOGI对除去ω0的频率成分及直流分量具备强的衰减能力,适应一定程度的谐波污染状况,k值应尽可能小,本文取k = 0.3。此外,V+对PLL系统动态性能有影响,此处进行了标幺化取模运算予以消除。
图3
图4
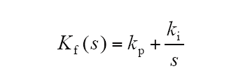
4 环路滤波器参数设计
考虑SOGI将鉴相器中的相位偏差直流成分完全分离出来,SRF-PLL近似线性化模型如图5所示,环路滤波器采用PI调节器形式

式中,kp和ki分别为比例增益和积分增益。
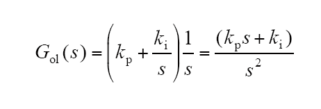
图5
图5开环传递函数为

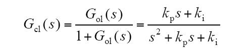
相应的闭环传递函数为

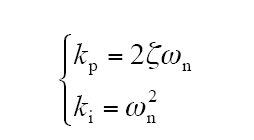
式(12)是一个典型闭环二阶系统,其标准形式为

对于上述闭环二阶传递函数,参数设计要考虑快速动态响应和良好稳态特性做出折中,二阶最佳取阻尼比ζ = 0.707,此时带宽ωb≈2.1ωn。当ζ确定后,无阻尼振荡频率ωn越大,带宽越大,响应速度越快,但较大的ωn会将误差也随之放大影响过渡过程[8]。
5 数字仿真
为了验证前文论述的有效性,对图4的系统建立Matlab/Simulink仿真模型进行数字仿真,仿真参数见下表。图6给出了不平衡情况下的仿真结果,从上至下波形依次为三相电压vabc,vdq,vdqdc,频率检测值$\hat{f}(\hat{\omega}/2 \phi)$,相位检测值$\hat{\theta}$,检测偏差$(\theta -\hat{\theta})=0$。初始状态三相电压平衡,系统经过约1个工频周期进入稳态,此时v+αβ = 1pu,$\hat{f}$ = 50Hz,。在0.05s时刻,va突增至1.2pu,vc突降为0,此时,vdq出现二倍频扰动,经SOGI滤波后,只剩余直流分量。同时,$\hat{f}$出现波动,为了对比,$(\theta -\hat{\theta})$=0波形中,虚线为没有SOGI时SRF-PLL的响应,可以看出,稳态误差从-8°~+5°降至零。在0.15s时刻,va突降至0.8pu,vc恢复至0.8pu,不对称程度减弱,扰动分量幅度减小,稳态误差进一步降低至0,过渡过程耗时约3个工频周期。
图6
Tab.1 Simulation parameters
| k | ω0 | ωn | $\varsigma$ |
|---|---|---|---|
| 0.3 | 2π50×2 | 2π15 | $\sqrt{2} /2$ |
| Ts | ωb | kp | ki |
| 0.0001s | 2π31.5 | 133.2865 | 8882.6439 |
图7给出了谐波污染情况下的仿真结果,0.1s时刻,vabc加入3次、5次、7次谐波,幅值分别为0.3pu、0.2pu、0.1pu(为模拟不对称状况,a相中的5次谐波幅值为0.6pu),SOGI虽不能完全消除高次谐波的影响,但衰减作用显著,相位检测值稳态误差从±6°降低至±1.5°。
图7
图8
6 实验结果
为了验证可行性,以TI公司浮点型DSP TMS 320F28335为核心,在CCS开发环境下,采用C语言编写了相应的程序来实现图4的算法。信号发生器内部产生模拟电网电压,经调理后送入DSP的12位AD模块进行转换,通用定时器产生频率为10kHz的脉冲驱动中断程序运行,锁相算法每0.000 1s运行一次。软件中运算变量数据调制在载频为150kHz 的PWM波向GPIO口输出,外接截止频率600Hz低通RC滤波后,实时观测。SOGI应用式(7)~式(9)实现。对于三角函数运算,软件中加入经TI公司优化后的浮点运算库,直接调用实时计算。对于积分运算,采用后向欧拉方法实现离散化,为了减小高速运算中的累计误差,PI采用增量式结构。
图9
图10
7 结论
环内应用SIGO检波不平衡锁相SRF-PLL方法,能准确跟踪正序分量的相位,检测精度高:
(1)三相电压不平衡时,SRF-PLL鉴相器中的二倍频扰动,是导致正序分量相位检测稳态误差的原因。
(2)当ωo取值为二倍基频后,SIGO检波的动态性能依赖于参数k,较小的k值可获得低频分量和高频分量的强衰减,间接使该方法在输入电压谐波污染状况下,较之于SRF-PLL,减小相位检测稳态误差。
(3)电网电压频率发生波动时,利用SRF-PLL的频率检测值前馈,使得SIGO检波自适应频率变化。
(4)环路滤波器采用PI形式时,系统阻尼比和无阻尼自然频率的取值利用二阶最佳原则整定,在较宽范围内平衡稳定性与快速性。
(5)SIGO检波易于数字化实现,只需少量额外乘法和加法运算,采用高速DSP实现,运算负荷小,不影响实时性。
参考文献
三相数字锁相环的原理及性能
[J].
Principle and performance of the three-phase digital phase-locked loop
[J].
基于dq变换的三相软件锁相环设计
[J].
Three-phase software phase-locked loop based on dq reference frame
[J].
A phase tracking system for three phase utility interface inverters
[J].
Three-phase PLLs: a review of recent advances
[J].
A new single-phase pll structure based on second order generalized integrator
[C].
Discrete-time implementation of second order generalized integrators for grid converters
[C].
/
| 〈 |
|
〉 |