SRF-PLL环内应用二阶广义积分器的不平衡电压锁相方法 |
| 谢门喜,朱灿焰,杨勇 |
|
SRF-PLL with In-Loop Second Order Generalized Integrator for Unbalanced Three-Phase Systems |
| Menxi Xie,Canyan Zhu,yong Yang |
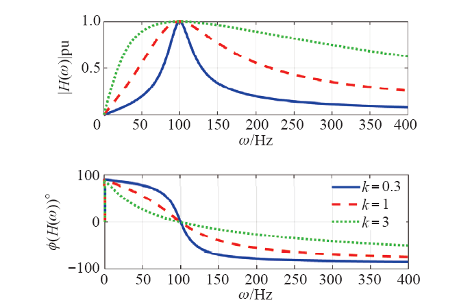
| 图2 不同k值时H(s)的频率响应 |
| Fig.2 Frequency response of H(s) at different value of k |
|