SRF-PLL环内应用二阶广义积分器的不平衡电压锁相方法
谢门喜,朱灿焰,杨勇

SRF-PLL with In-Loop Second Order Generalized Integrator for Unbalanced Three-Phase Systems
Menxi Xie,Canyan Zhu,yong Yang
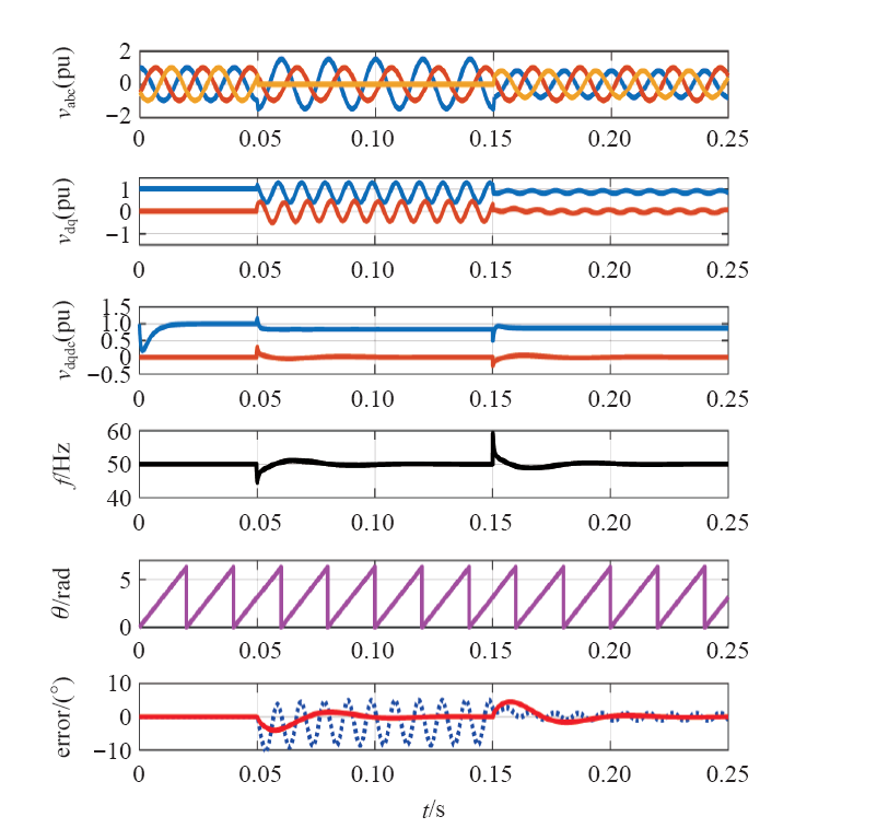
图6 不平衡仿真结果
Fig.6 Simulation results under unbalanced input