动态非线性负载用单管逆变ICPT系统参数优化
1.
2.
The Parameter Optimization of Single Switch Inverter ICPT System for Dynamic Nonlinear Load
1.
2.
收稿日期: 2017-05-4 网络出版日期: 2017-08-25
Received: 2017-05-4 Online: 2017-08-25
作者简介 About authors
魏芝浩 男 1990年生,硕士研究生,研究方向为电能变换技术及新能源开发技术。
王春芳 男 1964年生,博士,教授,研究方向为电能变换技术及新能源开发技术。
针对单管感应耦合电能传输(ICPT)系统在动态非线性负载突变时开关管电压、输出电压的稳定性问题,详细研究了具有一次侧并联二次侧串联(PS)补偿网络的单管ICPT系统的参数优化问题。比较了分别具有一次侧并联二次侧并联(PP)补偿网络与PS补偿网络的单管ICPT系统的特点;画出了所研究系统的一、二次侧等效电路,利用互感等效模型法对该系统进行了建模分析,推导了系统的电压增益、输出功率、效率等表达式,画出并分析了电压增益、输出功率、开关管峰值电压在不同参数变化下随工作频率变化的曲线;最后完成了系统参数的优化设计,使系统在软开关控制下得到了最大功率输出,实验验证了设计的正确性。
关键词:
Aiming at the stability problem of switch voltage and output voltage, when the single switch inductively coupled power transfer (ICPT) system dynamic nonlinear load suddenly change. The parameter optimization problem of single switch ICPT system with primary parallel secondary series (PS) compensation network is studied in detail. The characteristics of a single switch ICPT system with primary side parallel parallel (PP) compensation network or PS compensation network are compared respectively. The original and secondary equivalent circuits of the system are drawn. The system is modeled by mutual inductance equivalent model method. The expressions of voltage gain, output power and efficiency of the system are deduced. The curve of voltage gain, output power, switch peaks voltage with the operating frequency changing at different parameters are drawn and analyzed. Eventually the parameter optimization design of the system is completed. Under the soft switch control system get the maximum power output is got. Experiment verified the correctness of the design.
Keywords:
本文引用格式
魏芝浩, 王春芳, 李震, 李聃.
Wei Zhihao.
1 引言
近年来,随着感应耦合电能传输(Inductively Coupled Power Transfer,ICPT)技术的迅速发展,无线供电设备已广泛应用于各个领域,如电动汽车无线充电[1,2]、植入式生物医学系统[3]、无尾家电[4]等。ICPT系统的主电路拓扑大多数采用全桥逆变电路[5]、半桥逆变电路[6]及单管逆变电路[7],前两种电路拓扑存在电路结构相对复杂、电源成本相对较高、桥臂上下开关管容易造成直通而烧坏等问题,单管逆变电路是一种新型的无线电能传输拓扑,它具有成本低、控制简单、功率传输高、可实现软开关等优点。目前,常用的补偿拓扑有一次侧并联二次侧并联(PP)、一次侧并联二次侧串联(PS)、一次侧串联二次侧并联(SP)及一次侧串联二次侧串联(SS)[8,9,10],单管ICPT系统一般采用PP补偿拓扑[11],对于要求恒压输出的供电设备来说,该补偿拓扑的系统虽然能使负载正常运行,但在动态非线性负载突变时输出电压与开关管电压会产生较大的波动,从而使器件损坏,降低了系统的可靠性。
为此本文提出了一种PS补偿拓扑的单管ICPT系统,通过系统参数的优化设计,在动态非线性负载突变时使该系统的输出电压与开关管电压的波动幅度大幅减小,从而提高了系统的可靠性。
2 单管ICPT系统补偿网络
图1
PS补偿拓扑单管ICPT系统的工作过程为:AC 220V工频市电经整流桥及L1C1滤波电路后转变成缓变直流电,控制开关管Q1的开通与关断,通过逆变和PS补偿拓扑的谐振将能量从一次侧传递到二次侧,再经过高频整流电路后转变成100Hz有效值为AC 220V的馒头波,为负载电动机供电。
PP补偿拓扑单管ICPT系统具有电压增益高且传输效率、功率因数较高等优点,但输出电压、开关管电压在动态非线性负载突变时波动很大,经常造成器件损坏,降低了系统的可靠性;而PS补偿拓扑单管ICPT系统具有传输效率较高,输出电压、开关管电压在动态非线性负载突变时波动较小等优点,但电压增益较低[13]。对于果蔬机类负载来说,可以通过优化系统参数来提高PS补偿拓扑的电压增益,以满足要求。
3 系统参数的优化设计
图2
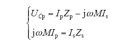
列写图2等效电路的KVL方程为

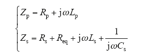
式中,Zp为一次阻抗;Zs为二次阻抗,可分别表示为

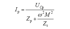
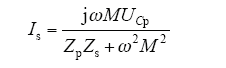
由式(1)可得一次电流Ip和二次电流Is分别为


由式(3)可以画出一次等效电路如图3所示。
图3
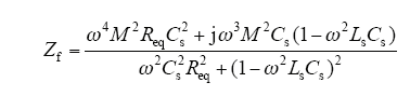
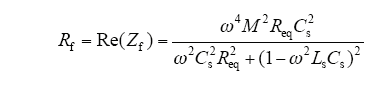
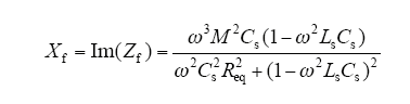
忽略二次线圈的内阻Rs,从式(3)可以看出,二次侧反映到一次侧的反映阻抗Zf为

根据式(5)可得反映阻抗的实部、虚部为


二次线圈的开路电压为

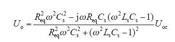
由式(1)和式(8)可画出二次等效电路如图4所示。
图4
由图4可推导得出输出电压Uo为

根据式(3)、式(8)和式(9)可得电压增益G为

其中,Z = Zp + Zf。
由式(4)可得输出功率Po为

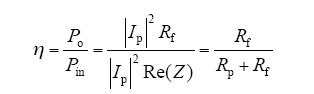
同时可推导得出PS补偿拓扑单管ICPT系统的效率为

式中,Pin为输入的有功功率。
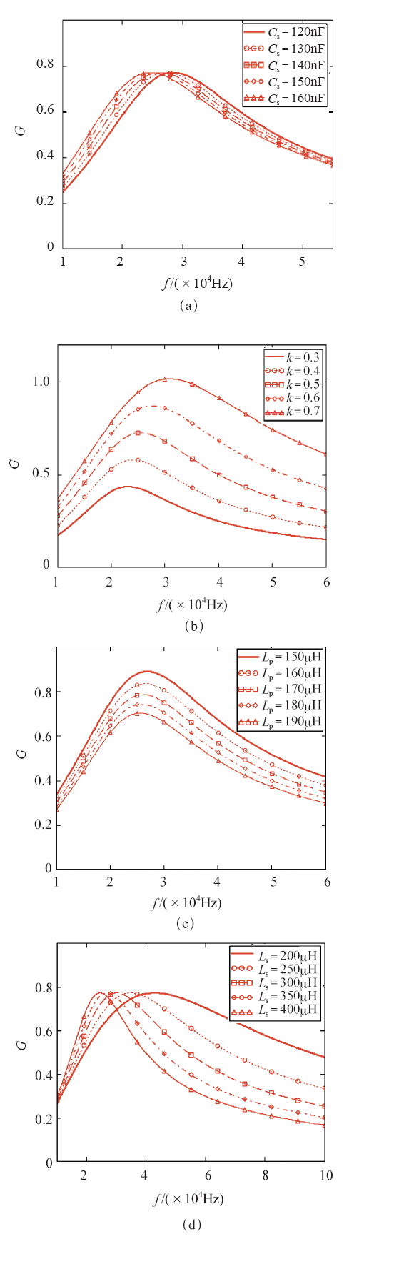
根据式(10)可得不同参数变化下电压增益随工作频率变化的曲线如图5所示。
图5
由图5可知,对于PS补偿拓扑的单管ICPT系统来说,存在一个工作频率使电压增益达到最大。由图5a可知,二次补偿电容的增大,对电压增益的峰值没有影响,但会使电压增益曲线近似向左平移;由图5b可知,当耦合系数发生变化时,电压增益曲线大致呈上下平移的关系,随着耦合系数的增加,电压增益的峰值会增加,同时可以发现当耦合系数增大时,电压增益的峰值点会偏离谐振频率处,因此要适当选取耦合系数,不宜过大,否则电压增益的峰值点偏离谐振频率过远;由图5c可知,随着一次电感的增加,电压增益的峰值会减小,同时会使电压增益曲线近似向下平移,因此一次电感不宜太大;由图5d可知,二次电感的变化不改变电压增益的峰值,二次电感越大,电压增益曲线在各自的谐振频率附近越陡峭,相应的输出电压在各自的谐振频率附近变化越大,对要求恒压输出的单管ICPT系统来说不易控制,因此要选取的二次电感不宜过大。
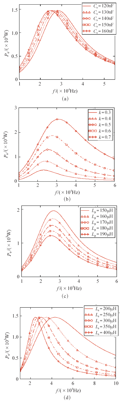
根据式(11)可得不同参数变化下输出功率随工作频率变化的曲线如图6所示。
图6
由图6可知,对于PS补偿拓扑的单管ICPT系统来说,存在一个工作频率使输出功率达到最大。由图6a可知,二次补偿电容的变化对输出功率的峰值没有影响,在输出功率曲线峰值点右侧的某一工作频率下,随着二次补偿电容增大,输出功率减小;由图6b可知,随着耦合系数的增加,输出功率的峰值也会增加,由于所设计的家电用ICPT系统额定输出功率为1kW,综合耦合系数对电压增益和输出功率的影响,因此选取的耦合系数应在0.5~0.6之间;由图6c可知,在同一工作频率下,一次电感越大,输出功率越小,为了满足设计的要求,选取的一次电感应在170μH左右;由图6d可知,改变二次电感并不影响输出功率的峰值,二次电感越大,输出功率曲线在谐振频率附近越陡峭,为了使ICPT系统在调频过程中输出功率平缓地变化,故选取的二次电感不宜太大。
图7
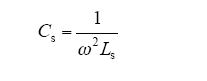
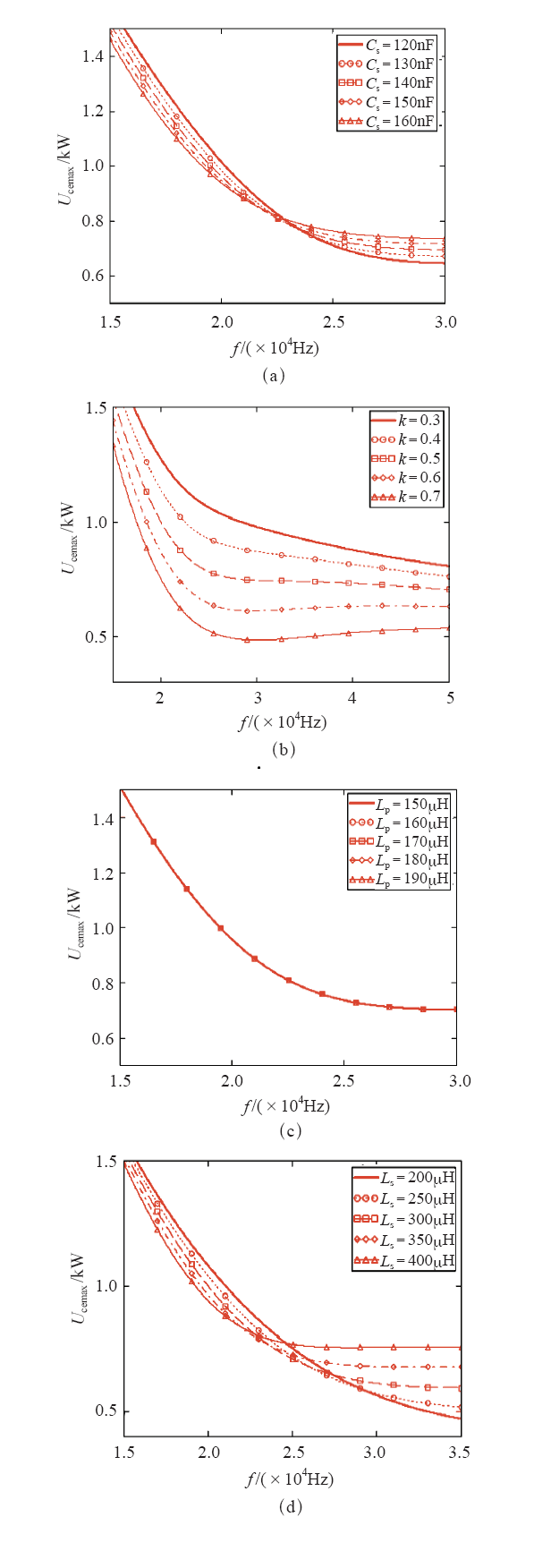
综合考虑电压增益、输出功率、开关管峰值电压、器件开关频率与系统各个参数的关系,本文确定了工作频率为22kHz,选取带有屏蔽层的松耦合变压器,通过理论计算及分析,确定了一次线圈电感约为170μH、二次线圈电感约为360μH,结合绕线工艺,实际一次线圈电感为173μH、二次线圈电感为365μH、耦合系数k为0.532。为了实现系统最大功率输出、减少无功功率成分,系统的工作频率必须在一、二次侧的固有谐振频率附近,对于二次等效电路来说,令式(2)中二次阻抗Zs的虚部为零,可得二次补偿电容Cs必须满足

即可求出二次补偿电容Cs = 143nF。
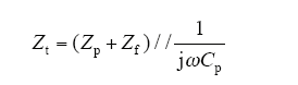
由图3可知整个系统的总等效阻抗Zt为

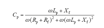
为了提高整个系统的功率因数,需要满足系统总等效阻抗Zt的虚部为零,因此可得一次补偿电容Cp满足

即可求出一次补偿电容Cp = 292nF。仿真发现,当Cp = 292nF时,开关管不能实现零电压开通,为了使开关管实现零电压开通,又不使开关管两端的电压过高,可选取一次补偿电容Cp = 183nF。
4 实验验证
基于上述分析,搭建了一台额定功率为1kW的单管ICPT实验系统,该系统采用PS补偿拓扑,选取的系统参数见下表。
图8
图9
5 结束语
当非线性负载高速动态变化时,PP补偿的单管ICPT系统容易因过电压而导致开关管和二次侧整流桥损坏,为此本文研究了PS补偿的单管ICPT系统。对PS补偿的单管ICPT系统进行了参数优化,分析了电压增益、输出功率、开关管峰值电压在不同参数变化下随工作频率变化的规律。实验结果表明:通过对系统参数进行优化,在谐振频率附近可使系统的电压增益、传输功率及效率达到最大,使系统在实现零电压开通的同时又极大地减小了开关管的电压应力,从而减小了系统的开关损耗,提高了系统的功率因数与效率,对于研究的样机,在谐振频率处输出功率为1 080W,效率达到96%。
参考文献
Wireless power transfer system with an asymmetric four-coil resonator for electric vehicle battery chargers
[J].
Design and experimentation of WPT charger for electric city car
[J].
A remotely powered implantable biomedical system with location detector
[J].
单管无线电能传输系统主电路参数的优化设计
[J].
Optimal design on main circuit parameters of WPT system with single tube
[J].
一种中距离无线能量传输系统的频率特性
[J].
Frequency characteristic of mid-range wireless power transfer system
[J].
数字家电用无线电力传输电源的研究
[J].
Research on IPT power supply in household application
[J].
零电压导通、零电压关断单管无线电能传输电源
[J].基于一款新型单管互感耦合式无线电能传输电源,其开关管可同时实现零电压导通和零电压关断。本文介绍了该电源的系统结构,论述了电能传输的工作过程及软开关的控制方式和方法。采用互感模型法对主电路进行了建模,给出了其等效电路,推导了主电路的电压增益,并绘制了电压增益随谐振网络参数变化的曲线。给出了一二次谐振频率的设定方法及二次输出电压的控制方法。对所研究的新型无线电能传输电源进行了软开关实现、功率传输、效率及功率因数等仿真,并制作了一台额定功率为1kW的样机,记录了功率传输过程中软开关及其控制波形,做了效率和功率因数随一次、二次线圈位置变化等实验。仿真及实验表明了所提出的电路拓扑及其控制方法的可行性和正确性。
A zero-voltage turn-on and turn-off single-switch IPT power supply
[J].基于一款新型单管互感耦合式无线电能传输电源,其开关管可同时实现零电压导通和零电压关断。本文介绍了该电源的系统结构,论述了电能传输的工作过程及软开关的控制方式和方法。采用互感模型法对主电路进行了建模,给出了其等效电路,推导了主电路的电压增益,并绘制了电压增益随谐振网络参数变化的曲线。给出了一二次谐振频率的设定方法及二次输出电压的控制方法。对所研究的新型无线电能传输电源进行了软开关实现、功率传输、效率及功率因数等仿真,并制作了一台额定功率为1kW的样机,记录了功率传输过程中软开关及其控制波形,做了效率和功率因数随一次、二次线圈位置变化等实验。仿真及实验表明了所提出的电路拓扑及其控制方法的可行性和正确性。
Design considerations of compensation topologies in ICPT system
[C].
Analysis and comparison of secondary series and parallel compensated inductive power transfer systems operating for optimal efficiency and load-independent voltage-transfer ratio
[J].
Single-phase zero reactive power wireless power transfer topologies based on boucherot bridge circuit concept
[J].
单管无线电能传输系统补偿网络的优化设计
[J].
Optimal design on the compensation network of ICPT system with single switch
[J].
电压型ICPT系统功率传输特性的分析与优化
[J].
Analysis and optimization on power transmission characteristics for voltage-fed ICPT
[J].
感应耦合电能传输系统不同补偿拓扑的研究
[J].
Investigation on different compensation topologies in inductively coupled power transfer system
[J].
电流型松散耦合电能传输系统的建模分析
[J].
Modeling analysis of inductively coupled power transfer systems based on current source resonant converter
[J].
/
| 〈 |
|
〉 |