动态非线性负载用单管逆变ICPT系统参数优化
魏芝浩,王春芳,李震,李聃

The Parameter Optimization of Single Switch Inverter ICPT System for Dynamic Nonlinear Load
Wei Zhihao,Wang Chunfang,Li Zhen,Li Dan
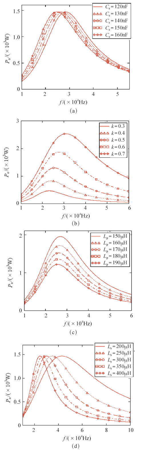
图6 输出功率曲线
Fig.6 Output power curves