新型孤岛微网主从控制策略研究
上海电气集团股份有限公司中央研究院 上海 200070
Research on Novel Master-Slave Control Strategy of Islanded Microgrids
Shanghai Electric Group Co., Ltd Central Academe Shanghai 200070 China
收稿日期: 2014-09-9 网络出版日期: 2015-10-16
基金资助: |
|
Received: 2014-09-9 Online: 2015-10-16
作者简介 About authors

杜志超:男,1988年生,硕士,助理工程师,研究方向为分布式电源并网技术、微网系统控制技术 。
欧阳丽:女,1975年生,硕士,工程师,研究方向为电力系统保护与控制、分布式发电与微电网技术 。
为降低传统主从控制中对主电源的依赖,提高微网功率调节能力,提出了采用对等控制的储能逆变器作为主电源,采用功率控制的分布式电源逆变器作为从电源的新型主从控制策略。搭建了光伏电池模型,设计了其接口变流器的控制策略,以保证光伏最大功率输出。给出了传统主从控制策略中主电源V/f及从电源PQ控制原理,并采用相角下垂控制对主电源控制方法进行改进,使储能逆变器共同作为主电源运行,最终形成新型主从控制策略。应用相角下垂控制有效克服了频率下垂控制频率偏差的问题。最后依据上海电气中央研究院微网一期工程搭建了微网仿真模型,在孤岛运行模式下进行传统主从控制和新型主从控制策略的对比仿真研究。结果表明,新型主从控制策略不仅可以保证微网稳定运行,而且相对于传统主从控制可有效降低对单台主电源的依赖,增强了微网的稳定性,同时提高了微网功率调节能力,更大范围平衡分布式电源和负载的波动。
关键词:
To relieve the dependency on master sources of conventional master-slave control strategy and improve the system power adjustment ability, the novel master-slave control strategy is proposed. The droop control is used in the battery inverters which as the master sources and the power control is used in the distributed generation inverters which as the slave sources. The photovoltaic cell model is built and its converter is designed to ensure the maximum power output. The control block diagram of V/f and PQ control of the conventional master-slave control strategy is given and the angle droop control is adopted to improve the control effect. The angle deviation problem caused by frequency droop control is solved by using angle droop control. The simulation model is built and the comparison of conventional and novel master-slave control strategy is made. The results demonstrate that the novel control strategy maintains the stable operation of the microgrid system and effectively reduce the dependency on master sources. The proposed control strategy also enhances the power adjustment ability of the system to balance the larger fluctuation of distributed generations and loads.
Keywords:
本文引用格式
杜志超, 欧阳丽, 周春, 胡娟.
Du Zhichao.
1 引言
微网是实现分布式能源有效利用的形式之一[1,2,3]。当微网孤岛运行时,由于分布式电源具有随机性、波动性的特征,微网内需要配置一定容量的储能装置来平抑分布式电源的出力波动[4,5]。传统微网控制策略采用一台响应快速、输出稳定的逆变器作为主电源,一般为使用V/f控制的储能逆变器,向微网提供频率和电压支撑,其余储能逆变器采用PQ控制作为从电源,向微网注入或吸收指定功率[6,7,8]。分布式电源一般按照最大功率输出,不参与系统电压和频率调节。因而当外界环境发生改变时,分布式发电的输出功率波动全部由微网主电源承担,以确保系统的功率平衡。这样的主从控制结构存在两点主要问题:①仅由一台逆变器作为主电源,微网系统的可靠性较低,一旦主电源发生故障,整个微网系统将无法正常运行;②所有分布式电源和负荷功率波动均由一台主电源承担,一旦功率波动超出主电源的调节范围,可能会导致系统故障。
文献[9,10]中采用多重主电源控制来解决上述难题,即在某一时刻由一台采用V/f控制的主逆变电源平衡微网功率波动,当功率变化超出主电源功率调节范围时,主逆变器由V/f控制转为PQ控制,而其中一台从逆变器由PQ控制转化为V/f控制,继续作为主电源为微网提供频率和电压支撑,维持系统功率平衡。该方法在任何时刻均有一台逆变器作为主电源运行,提高了主从控制的可靠性,但该控制方法在功率调整过程中需要逆变器控制策略的切换,因而当系统功率快速变化时,可能会导致系统失稳。
考虑到主从控制及下垂控制的特点,本文提出了采用相角下垂控制的储能逆变器作为主电源,采用UQ控制的分布式电源逆变器作为从电源的新型孤岛微网主从控制策略。搭建了光伏电池及其接口变流器模型,利用MPPT算法实现了光伏最大功率跟踪,采用UQ控制确保逆变器输出最大功率。设计了相角下垂控制方程,在光伏或负荷功率波动时多台储能逆变器共同作为主电源平衡微网功率,维持微网电压和频率的稳定。最终搭建了微网系统仿真模型,通过对比传统主从控制,验证本文提出的新型主从控制策略的有效性。
2 微网模型
本文以上海电气中央研究院微网示范工程一期为依托,搭建的微网结构如图1所示。微网采用380V双回路母线供电方式,主要由光伏电池、储能电池、负荷和变流器等组成,各组成部分均可通过断路器灵活在工作母线与实验母线之间切换。光伏电池种类包括单晶硅光伏、多晶硅光伏和聚光光伏,总额定容量约为50kW。储能电池主要为锂电池,分为三组接入,容量为120kW。微网中包含一台RLC可调负载,可以模拟各种用电工况。本文主要针对光伏和负载变化时,应用新型主从控制策略平衡微网功率波动进行研究,因而需要对光伏电池进行建模,以便模拟不同环境条件下的光伏出力,而储能电池可假设工作在理想充放电阶段,采用直流电压源等效。微网示范工程中还包括动态电压恢复器(DVR)、有源滤波器(APF)和低电压发生器等装置,用于故障模拟和提高电能质量,但由于不是本文关注重点,不做研究。
图1
3 光伏电池建模及其变流器控制策略
3.1 光伏电池模型
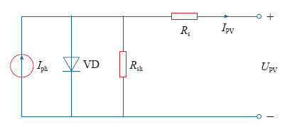
光伏电池是光伏发电系统中最基本的电能产生单元,常见的光伏电池数学模型主要包括理想模型、单二极管模型和双二极管模型,本文采用单二极管模型模拟光伏电池,如图2所示。
图2
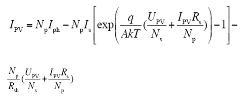
光伏电池由一个光生电流源Iph和一个二极管VD并联组成,并通过增加串联电阻Rs和并联电阻Rsh来模拟电池内部损耗。
式中,UPV为光伏电池输出电压;IPV为光伏电池输出电流;Is为二极管反向饱和电流;q为电子电量常量,为1.602e–19C;k为玻耳兹曼常数,k=1.381e–23J/K;T为光伏电池工作绝对温度值;A为二极管特性拟合系数。
由于光伏电池单体输出电压较低、输出功率较小,因而通常需将光伏电池经串、并联形成光伏阵列,以获得更大的输出功率。光伏阵列的输出特性可表示为

式中,Ns和Np分别为串联和并联的光伏电池模块的个数,后文搭建的光伏电池模型均基于此公式。
3.2 DC-DC控制策略
光伏阵列的输出电压作为DC-DC变流器的输入量。DC-DC环节使用Boost升压斩波电路,可以使得电压等级较低的光伏电源为更高等级的负载供电,节省成本。光伏阵列和Boost斩波器之间一般接有直流电容器,以降低电压纹波,稳定电压。
由于光伏电池的输出具有非线性特征,即在不同光照、温度等外界条件下,存在唯一的电压和电流,使得此时电池输出功率最大。因此,为了使光伏发电系统的发电效率最大,应控制光伏电池始终运行在最大功率点,即进行最大功率点跟踪(Maximum Power Point Tracking,MPPT)。本文采用扰动观测法实现MPPT功能,Boost电路及其控制框图如图3所示。
图3
Boost电路控制策略分为两级:前级利用MPPT算法得到电压参考值Uref,后级利用电压控制器控制Boost电路输入电压UPV等于MPPT计算参考电压值Uref,使得光伏电池输出功率最大化。
3.3 DC-AC控制策略
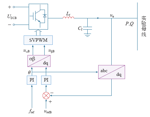
Boost电路的输出电压作为光伏逆变器的输入量。光伏逆变器采用UQ控制,确保逆变器将Boost电路传输的有功功率注入电网。逆变器的放电功率因数控制为1,保证向系统输出有功功率,控制框图如图4所示。
图4
如图4所示,以交流母线电压为基准,利用坐标变换将三相旋转坐标系中变量分解到αβ两相旋转坐标系下,求出母线电压矢量与α轴的夹角,用于坐标变换,同时将输出电流分解到dq两相静止坐标系下。UQ控制外环为电压幅值/无功功率控制。电压幅值控制将实际直流母线电压与参考值比较,经过PI控制器生成有功电流id的参考值。无功功率控制将实际无功功率与参考值比较,经过PI控制器生成无功电流iq的参考。UQ控制内环为电流控制,使逆变器输出电流快速跟踪参考值。内环控制器仍使用PI控制,电流误差信号经PI控制器生成dq轴电压参考信号,经坐标反变换到αβ坐标系下,最终得到SVPWM调制信号。UQ控制的控制目标是直流母线电压和逆变器的无功输出,通过控制逆变器的输出电流实现。
通过光伏变流器的接口控制可以实现光伏发电最大功率输出,从以上的分析也可以看出,光伏发电只负责向电网输送电能,不负责为微网提供电压和频率的支撑。
4 储能变流器控制策略
4.1 DC-DC双向斩波器控制策略
本文将储能电池等效为直流电压源,将研究重点放在储能变流器的控制策略上。储能电池输出首先经过DC-DC变流器。与光伏发电不同,储能用DC-DC为双向斩波器,当电池充电时工作在Buck电路模式,当电池放电时工作在Boost电路模式,双向斩波器结构如图5所示。
图5
双向直流斩波器一般采用恒直流母线电压控制策略,通常为电压电流双PI闭环控制结构,如图6所示。DC-DC工作状态由电压环PI控制结果决定,当电流参考为正时,表明系统处于Boost放电状态,则令S2导通,S1关断;若电流参考为负,则说明系统正处于Buck充电状态,令S1导通,S2关断。
图6
4.2 传统DC-AC主从控制策略
4.2.1 PQ控制
当孤岛运行时,微网可以采用主从控制策略维持微网稳定运行。主逆变器提供微网电压和频率支撑,从逆变器向微网注入或吸收指定功率,一般采用PQ控制。PQ控制与UQ控制原理类似,外环采用有功功率控制代替电压幅值控制,保证逆变器输出的有功和无功等于参考值。内环仍为电流控制,保证逆变器输出电流跟踪外环产生的电流参考指令。最终得到输出电压参考信号进入SVPWM环节产生开关管脉冲信号,控制框图与图4类似。需要注意当逆变器采用PQ控制时,前级 DC-DC环节应采用恒直流母线电压控制,保证直流母线电压恒定。若逆变器采用UQ控制,则DC-DC环节应采用恒流充放电控制,保证充放电功率恒定,这种控制策略本文不做研究。
4.2.2 V/f控制
传统主从控制中采用一台储能逆变器作为主电源,通常使用恒压恒频(V/f)控制,为微网提供电压和频率的支撑。V/f控制一般采用电压电流双闭环PI控制结构。电压外环控制调整输出电压频率和幅值,电流内环保证响应速度。为使控制结构简化,V/f控制也可省略电流内环控制,直接进行电压幅值和频率控制,简化后的控制框图如图7所示。
图7
从图7中可以看出,逆变器输出电压经坐标变换后,与给定电压参考值作比较,经PI控制后得到逆变器输出相电压幅值参考。利用给定频率信号积分得到旋转电压矢量与α轴的夹角,该角度信号可用于坐标变换。最后将旋转电压矢量分解至αβ坐标系,得到SVPWM调制信号。需要注意当主逆变器采用V/f控制时,前级DC-DC环节应采用恒直流母线电压控制。
4.3 新型DC-AC主从控制策略
从以上分析可以看出,传统主从控制采用单台逆变器作为主电源,主要存在对主电源依赖性过强的缺点,系统稳定性和功率平衡能力会受到影响。因此本文提出多台储能逆变器采用对等控制策略,共同作为主电源为微网提供电压和频率支撑,分布式发电作为从电源仍采用功率控制向微网注入指定功率的新型主从控制策略。多台主电源共同调节微网电压和频率,管理微网功率分配,可以增加微网的冗余性和稳定性,增强主电源功率调节能力。
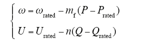
式中,Prated和Qrated分别为储能逆变器的额定有功功率和无功功率;ωrated和Urated分别为与之对应的额定频率和幅值;ω和U分别为逆变器输出电压的频率和幅值;mf和n分别为频率和电压的下垂控制系数。
式中,m为相角下垂控制系数。当储能逆变器输出有功功率为0时,输出电压相角对应为0,则可得到δrated=–mPrated,且规定各逆变器的输出电压额定相角相同,则
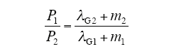
这里以两台逆变器并联运行为例分析多主电源的功率分配问题,等效电路如图8所示。
图8
图中LG为逆变器外接电感。并联逆变器输出功率主要与下垂系数和外接电感有关,功率分配公式如下[22]
式中,λG1=ωLG1/(U1UC);λG2=ωLG2/(U2UC)。
因此,合理设计下垂系数、外接输出感抗与额定功率成反比,可以实现各逆变器的功率比例分配。此时根据式(4)计算出的相角下垂量大小相等,各逆变器输出电压相角近似相同。相角下垂控制根据功率反馈进行相角调节,克服了相角测量困难的难题,也实现了电压频率与输出功率的分离控制。
为提高逆变器在负荷变化时的动态性能,抵消由于负荷剧变引起的电压频率和幅值过冲,在下垂控制中增加一个微分环节[22],最终得到改进的相角–电压下垂控制方程为
下垂控制的输出作为电压电流双环控制的输入量。电压外环跟踪下垂控制指令信号,电流内环实现快速控制,并具有限流保护的功能。综上所述,可以得到新型主从控制中主逆变器的对等控制框图,如图9所示。
图9
根据以上控制策略可以实现几台主逆变器的并联运行。从控制效果来看,几台主逆变器对等运行可以等效为一台容量为各个逆变器容量之和的主逆变器,因此有效扩大了主电源的容量,如图10所示。而当其中一台逆变器由于故障等原因退出运行,其他正常工作的逆变器可按照额定功率比例分担负荷,微网仍可以继续运行。对等控制的实质就是将一台主逆变器的容量按照额定功率比例分配给几台逆变器共同承担,因此故障风险也共同分担,增强了微网功率调节能力,提高了系统运行稳定性。
图10
5 仿真验证
5.1 仿真模型及参数
基于上述的电池模型、变流器拓扑及微网控制策略,在Matlab/Simulink仿真环境下对图1中所示的微网系统进行仿真分析,微网系统运行在实验母线条件下。仿真模型中包含3台储能装置,额定功率分别为PB1=30kW、PB2=40kW、PB3=50kW;光伏发电额定功率为50kW;负载为RLC可调负载,功率为110kW+30kvar;实验母线电压为380V,频率为50Hz,微网系统参数见下表。
表 微网参数
Tab
参 数 | 数 值 | |
---|---|---|
光伏系统 | Np | 11 |
Ns | 19 | |
Iph/A | 8.98 | |
Rs/Ω | 0.889 2 | |
Rsh/Ω | 415.4 | |
A | 54 | |
储能系统 | LGi /mH | [3.20,2.40,1.92] |
m/(10–4rad/kW) | [3.33,2.50,2.00] | |
m*/(10–7rad/kW) | [3.33,2.50,2.00] | |
n/ (10–2V/kvar) | [6.67,5.00,4.00] | |
n*/ (10–5V/kvar) | [6.67,5.00,4.00] |
5.2 传统主从控制
工况描述:仿真开始,微网孤岛运行,采用传统主从控制。以额定功率为50kW的储能逆变器作为主电源,另外2台储能逆变器以各自额定功率的一半恒功率放电。光伏在照度S=1 500W/m2、温度T=300K的条件下运行;t=1.5s,光照强度降低至S=1 000W/m2;t=2.0s,负载增大至120kW + 30kvar;t=2.5s,仿真结束。
仿真结果如图11所示。从图11 a和11b可以看出,微网孤岛运行时,主逆变器提供微网电压和频率支撑,微网可以稳定运行,频率和电压波动在允许范围内。1.5s时光照强度变化后,光伏出力由额定功率50kW降低至35kW,证明MPPT功能良好,实现了光伏最大功率跟踪。光伏功率缺省由主逆变器承担。2.0s时负荷突增,系统功率变化同样由单台主逆变器承担。此时,主逆变器输出功率接近额定功率50kW。若微网系统再出现负荷突增情况,由于从逆变器来不及改变各自输出,可能会导致系统功率波动超出主逆变器功率调节范围,引起系统故障。由此可以看出,传统主从控制策略中对主控器依赖较大,功率平衡均由单台主逆变器承担,功率调节能力有限。
图11
5.3 新型主从控制
工况描述:仿真开始,采用本文提出的新型主从控制,3台储能逆变器共同作为主电源运行,额定功率比为PB1 : PB2 : PB3=3 : 4 : 5。光伏在照度S=1 500W/m2、温度T=300K的条件下运行;t=1.0s,光照强度降低至S=1 000W/m2;t=1.5s,负载增大至120kW+30kvar;t=2.0s,逆变器1切除,由逆变器2和逆变器3分担其负荷;t=2.5s,仿真结束。
图12
6 结论
本文针对传统主从控制中单主逆变器存在功率调节能力有限及安全隐患的问题,提出了采用对等控制的多台储能逆变器共同作为主电源,分布式发电逆变器作为从电源的新型主从控制策略。文章建立了光伏电池模型及其变流器MPPT控制策略,给出了储能PCS拓扑结构及其控制策略。最后搭建了包含3台储能设备及光伏发电的微网模型,在微网孤岛运行条件下进行了传统主从控制和新型主从控制的对比仿真研究。结果表明,新型主从控制有效提高了微网功率调节能力,更大范围地平衡分布式电源和负载的波动,同时新型主从控制策略降低了对单台主电源的依赖性,提高了微网运行的稳定性。
(编辑:崔文静)
参考文献
微电网研究综述
[J].
Overview on micro-grid research
[J].
微电网综合控制与分析
[J].
Synthetical control and analysis of micro-grid
[J].
微电网技术综述
[J].
DOI:10.13334/j.0258-8013.pcsee.2014.01.007
Magsci
[本文引用: 1]
微电网作为分布式电源接入电网的一种有效手段,逐步引起了广泛关注。从结构设计、运行控制、供电可靠性和电能质量、经济运行与安全机制、仿真平台和示范工程等5个方面介绍国内外微电网研究的最新进展,并重点就其中的电力电子应用技术、多源协调控制与能量管理、微电网与配电网交互、电能质量主被动治理以及仿真平台建设思路等进行评述,最后结合中国未来智能电网建设规划,对微电网技术的发展前景进行展望。
Overview on micro-grid technology
[J].
DOI:10.13334/j.0258-8013.pcsee.2014.01.007
Magsci
[本文引用: 1]
微电网作为分布式电源接入电网的一种有效手段,逐步引起了广泛关注。从结构设计、运行控制、供电可靠性和电能质量、经济运行与安全机制、仿真平台和示范工程等5个方面介绍国内外微电网研究的最新进展,并重点就其中的电力电子应用技术、多源协调控制与能量管理、微电网与配电网交互、电能质量主被动治理以及仿真平台建设思路等进行评述,最后结合中国未来智能电网建设规划,对微电网技术的发展前景进行展望。
一种适用于混合储能系统的控制策略
[J].为最大化地降低可再生能源输出功率的波动程度,优化混合储能系统的运行,采用时间常数随储能系统荷电状态变化的低通滤波算法确定目标功率值;根据蓄电池和超级电容的荷电状态,采用模糊控制理论将超出目标值的功率偏差在两种储能介质之间进行分配;当超级电容电量充足时,由其独立补偿功率偏差值,以减少蓄电池的充放电次数。算例分析表明,所提控制策略能够有效地平抑可再生能源功率波动,避免储能介质出现荷电状态越限现象,达到延长蓄电池使用寿命的目的。
A control strategy for hybrid energy storage system
[J].为最大化地降低可再生能源输出功率的波动程度,优化混合储能系统的运行,采用时间常数随储能系统荷电状态变化的低通滤波算法确定目标功率值;根据蓄电池和超级电容的荷电状态,采用模糊控制理论将超出目标值的功率偏差在两种储能介质之间进行分配;当超级电容电量充足时,由其独立补偿功率偏差值,以减少蓄电池的充放电次数。算例分析表明,所提控制策略能够有效地平抑可再生能源功率波动,避免储能介质出现荷电状态越限现象,达到延长蓄电池使用寿命的目的。
光储微网系统并网/孤岛运行控制策略
[J].首先介绍了储能变流器在光储微网系统不同运行模式下的控制策略。在并网运行模式下,针对光储微网系统中公共连接点(point of common coupling,PCC)处的电压会受到负载变化和光伏出力波动的影响,提出一种基于储能的电压管理控制策略。该控制策略可通过储能变流器的PQ控制,来维持PCC点母线电压在额定电压?10%的范围内波动,从而满足负载对电压质量的需求。当配电网发生故障或储能出力已达功率限值仍不能维持PCC点母线电压在允许范围内时,光储微网切换为孤岛运行模式,此时储能系统采用V/f控制来保证微网系统电压和频率的稳定,并联合光伏系统共同为负载供电。建立光储微网系统的仿真模型,给出变流器的控制策略以及PCC点母线电压的控制流程,仿真结果验证了提出控制策略的有效性。
Grid-connected/island operation control strategy for photovoltaic/battery micro-grid
[J].首先介绍了储能变流器在光储微网系统不同运行模式下的控制策略。在并网运行模式下,针对光储微网系统中公共连接点(point of common coupling,PCC)处的电压会受到负载变化和光伏出力波动的影响,提出一种基于储能的电压管理控制策略。该控制策略可通过储能变流器的PQ控制,来维持PCC点母线电压在额定电压?10%的范围内波动,从而满足负载对电压质量的需求。当配电网发生故障或储能出力已达功率限值仍不能维持PCC点母线电压在允许范围内时,光储微网切换为孤岛运行模式,此时储能系统采用V/f控制来保证微网系统电压和频率的稳定,并联合光伏系统共同为负载供电。建立光储微网系统的仿真模型,给出变流器的控制策略以及PCC点母线电压的控制流程,仿真结果验证了提出控制策略的有效性。
微网运行模式平滑切换的控制策略研究
[J].
Study on control scheme for smooth transition of micro-grid operation modes
[J].
含多分布式电源的微网暂态稳定分析
[J].
Transient stability analysis of microgrids containing multiple micro sources
[J].
A novel communic-ation strategy for decentralized control of paralleled multi-inverter systems
[J].
微电网的多重主从控制策略研究
[J].
Research on multiple master-slave control strategy of micro-grid
[J].
微电网孤岛运行的自适应主从控制技术研究
[J].
Research on adaptive master-slave control of the islanded micro-grid
[J].
Output impedance design of parallel-connected UPS inverters with wireless load-sharing control
[J].
Hierarchical control of droop-controlled AC and DC microgrids—A general approach toward standardization
[J].
An islanding microgrid power sharing approach using enhanced virtual impedance control scheme
[J].
自适应调节下垂系数的微电网控制策略
[J].
A microgrid control strategy based on adaptive drooping coefficient adjustment
[J].
微网中下垂控制策略及参数选择研究
[J].
Research on droop control strategy and parameters selection fo microgrids
[J].
微网孤岛模式下负荷分配的改进控制策略
[J].<p>以含多个分布式电源的微网为研究对象,提出一种微网孤岛运行模式下的负荷分配改进控制策略。针对传统V / f下垂特性控制方法的不足,基于V /d 下垂特性控制的思想,增加了P-d 下垂控制修正项和Q-V下垂控制修正项,有效跟踪功率变化的动态特性,优化了微网内部的负荷分配。同时,设计了辅助控制器,对每个逆变器参考电压的d轴分量进行修正,并采用高的P-d 下垂控制因子,可有效防止系统在微网内负荷或电源显著变化时发生震荡,并能确保合理的负荷分配。对孤岛模式下不同的系统状态进行仿真和对比分析,验证所提出的控制策略的有效性。</p>
An improved control strategy of load distribution in an autonomous microgrid
[J].<p>以含多个分布式电源的微网为研究对象,提出一种微网孤岛运行模式下的负荷分配改进控制策略。针对传统V / f下垂特性控制方法的不足,基于V /d 下垂特性控制的思想,增加了P-d 下垂控制修正项和Q-V下垂控制修正项,有效跟踪功率变化的动态特性,优化了微网内部的负荷分配。同时,设计了辅助控制器,对每个逆变器参考电压的d轴分量进行修正,并采用高的P-d 下垂控制因子,可有效防止系统在微网内负荷或电源显著变化时发生震荡,并能确保合理的负荷分配。对孤岛模式下不同的系统状态进行仿真和对比分析,验证所提出的控制策略的有效性。</p>
Comprehensive approach to modeling and simulation of photovoltaic arrays
[J].
Development of an FPGA-based system for real-time simulation of photovoltaic modules
[J].
DOI:10.1016/j.mejo.2008.05.014
Magsci
[本文引用: 1]
<h2 class="secHeading" id="section_abstract">Abstract</h2><p id="">Photovoltaic (PV) simulators are indispensable for the operational evaluation of PV energy production system components (e.g. battery chargers, DC/AC inverters, etc.), in order to avoid the time-consuming and expensive field-testing process. In this paper, the development of a novel real-time PV simulator based on Field Programmable Gate Arrays (FPGAs), is presented. The proposed system consists of a Buck-type DC/DC power converter, which is controlled by an FPGA-based unit using the Pulse Width Modulation (PWM) principle. The system operator is able to define both the PV module type to be simulated and the environmental conditions under which the selected PV module operates. The proposed design method enhances the rapid system prototyping capability and enables the reduction of the power converter size and cost due to the high clock speed feature of the FPGA-based control unit. The experimental results indicate that, using the proposed method, the PV module current–voltage characteristics examined are reproduced with an average accuracy of 1.03%.</p>
A wireless controller to enhance dynamic performance of parallel inverters in distributed generation systems
[J].
An accurate power control strategy for power-electronics-interfaced distributed generation units operating in a low-voltage multibus microgrid
[J].
Improvement of stability of load sharing in an autonomous microgrid using supplementary droop control loop
[J].
高压微网孤岛运行时频率稳定控制策略研究
[J].当采用大量电力电子设备的微网孤岛运行时,使用<italic>P</italic>/<italic>f</italic>下垂控制存在负荷快速分配与频率稳定控制之间的矛盾,为此,提出改进的<italic>P</italic>/<italic>?</italic>和<italic>Q</italic>/<italic>V</italic>下垂控制策略,将电压和相角偏差作为前馈量加入功率控制环节,实现电压和相角的二次调整,提高潮流变化时系统的动态适应性。仿真分析表明,所提出的控制策略不仅可实现负荷快速分配,而且相比<italic>P</italic>/<italic>f</italic>下垂控制具有更小的频率偏差,为高压微网孤岛运行时频率稳定控制提供了一种新方法。
Control strategies of frequency stability for islanding high-voltage microgrids
[J].当采用大量电力电子设备的微网孤岛运行时,使用<italic>P</italic>/<italic>f</italic>下垂控制存在负荷快速分配与频率稳定控制之间的矛盾,为此,提出改进的<italic>P</italic>/<italic>?</italic>和<italic>Q</italic>/<italic>V</italic>下垂控制策略,将电压和相角偏差作为前馈量加入功率控制环节,实现电压和相角的二次调整,提高潮流变化时系统的动态适应性。仿真分析表明,所提出的控制策略不仅可实现负荷快速分配,而且相比<italic>P</italic>/<italic>f</italic>下垂控制具有更小的频率偏差,为高压微网孤岛运行时频率稳定控制提供了一种新方法。
/
〈 |
|
〉 |
