固化制度调控双酚A环氧树脂/酸酐体系绝缘性能的研究进展*
Research Progress on Curing Regime Modulating Insulation Performances of Bisphenol-A Epoxy Resin/Anhydride System
收稿日期: 2023-03-20 修回日期: 2023-07-22
| 基金资助: |
|
Received: 2023-03-20 Revised: 2023-07-22
作者简介 About authors
李进,男,1988年生,博士,副教授。主要研究方向为电力设备绝缘失效机理、高性能电工绝缘材料、无损检测。E-mail:
孔晓晓,男,1993年生,博士,副研究员。主要研究方向为高端环氧树脂配方与工艺优化。E-mail:
杜伯学,男,1961年生,博士,教授。主要研究方向为聚合物绝缘材料的可靠性和安全性理论与试验、高温超导电介质、纳米复合绝缘材料、电气绝缘在线监测、高电压新技术等。E-mail:
酸酐固化双酚-A环氧树脂由于其优异的绝缘、热学以及机械性能,被广泛应用于电气设备的支撑、绝缘和密封等关键部件。然而极端运行环境与紧凑化设计趋势下,环氧树脂绝缘经常发生过热和击穿故障,严重威胁电气设备的安全稳定运行。以环氧树脂体系原料混合比、固化时间与温度组合为核心的固化制度是决定环氧树脂微观结构的关键因素,也直接影响其宏观性能。本文介绍了酸酐固化双酚-A环氧树脂固化动力学模型的演变过程,研究结果表明双酚-A环氧树脂/酸酐体系需考虑前后固化过程分阶段拟合其动力学参数。基于不同的混合比以及固化时间和温度组合,重点论述了固化制度对双酚-A环氧树脂/酸酐体系绝缘性能的影响规律,讨论了固化状态相关微观结构对绝缘性能的调控机制。相关研究结果有望为高端电工环氧树脂应用提供配方选型和工艺优化等方面的参考。
关键词:
Aanhydride cured bisphenol-A epoxy resin is widely used in the support, insulation and packaging and other key components of electrical equipment due to its excellent insulation, thermal and mechanical properties. However, under the condition of extreme environments and compact design, the epoxy resin insulation often suffers from overheating and breakdown faults, which seriously threaten the safe and stable operation of electrical equipment. The curing regime of epoxy resin system generally includes the combination of raw material mixing ratio, curing time and temperature, which is an important factor to determine the microstructure of epoxy resin and directly affects its macro performance. The evolution process of curing kinetic model of bisphenol-A epoxy resin cured by anhydride is introduced. It is verified by experiments that the curing process of bisphenol-A epoxy resin/anhydride system needs to consider the pre and post curing stages to fit its kinetic parameters. Based on different mixing ratios, curing time and temperature combinations, the influences of curing regime on the insulation performance of bisphenol-A epoxy resin/anhydride system were emphatically discussed. The regulation mechanism of the microstructure related to curing state on the insulation performance was discussed. The relevant research results are expected to provide reference for the application of high-end electrical and electronic epoxy resin in terms of formula selection and process optimization.
Keywords:
本文引用格式
李进, 孔晓晓, 杜伯学.
LI Jin, KONG Xiaoxiao, DU Boxue.
1 引言
酸酐固化双酚-A环氧树脂由于其优异的绝缘、热学以及力学性能,被广泛应用于电力设备的支撑、绝缘和密封等关键部件[1-2]。在气体绝缘金属封闭线路(Gas insulated transmission line,GIL)和气体绝缘金属密封开关(Gas insulated switchgear,GIS)中,以环氧树脂、酸酐、氧化铝为主要原料,通过浇注工艺制成的盆形绝缘子或三柱形绝缘子在支撑和绝缘方面发挥着重要作用,是GIL/GIS基础单元的关键组件[3-4]。纤维增强型环氧树脂复合材料由于其良好的拉伸强度和断裂强度,制成了复合绝缘子及绝缘拉杆的主要功能结构[5⇓-7]。通过用皱纹纸绕包导体并用环氧树脂真空压力注胶固化而成的环氧树脂浸渍纸(Resin impregnated paper,RIP)绝缘芯子是整个套管的关键结构,它承担设备的主要散热、机械负载和接地绝缘[8-9]。高频变压器采用环氧树脂复合材料实现设备整体绝缘,可有效减少设备体积,提高功率密度[10]。可以看出,酸酐固化双酚-A环氧树脂作为承担主要绝缘功能的电气材料已广泛应用于高端电力设备。
但目前国产高压电工环氧材料总体规模较小,缺乏高压电工装备领域的应用开发经验,其核心技术主要被陶氏化学、亨斯迈、瀚森等国外公司掌握,高压电工装备用电工级环氧树脂材料90%以上依赖进口[11]。国家科技部和电网公司在高端电工装备及电工环氧材料领域投入了大量的研发支持,已经逐步从聚焦高端装备绝缘成型制造及系统集成,向高端电工装备绝缘用基础专用树脂、固化剂以及助剂等原料开发转型[12-13]。这一过程中面临前端环氧材料厂家不了解电网终端应用的需求,下游设备制造单位工艺参数优化无据可依,导致上下游之间脱节,缺乏环氧材料定制化开发经验以及相应的性能数据支撑,致使产业链无法打通,迫切需要开展相关基础应用研究工作,实现高端电工环氧材料的全面国产化[14]。
同时极端多样运行环境以及电工装备紧凑化发展带来的高温、强电场、多电压波形以及机械载荷等严苛工况给环氧树脂材料绝缘、耐热、机械等性能提出了更高要求[15⇓-17]。相关容许载荷下的热力学计算表明,变压器干式套管环氧浸渍纸绝缘芯体承载的最高温度可达107 ℃,并存在55 ℃的温度梯度[18],研究表明环氧树脂的电导率随温度升高呈指数关系上升,100 ℃下的电导率相比室温可升高近三个数量级,高温下介电损耗也会骤增,短时击穿场强由室温到150 ℃可降低61.39%,长时恒定电压下的击穿时间在高温下也显著降低[19⇓-21]。大容量高频变压器、电机等设备绝缘需要承受包含高频谐波的复杂电压波形,谐波存在条件下环氧树脂的介电损耗增大,并伴随复杂的绝缘劣化行为,大大增加绝缘击穿风险[22⇓-24]。因此高性能环氧树脂绝缘成为支撑高端电工装备可靠运行的关键。
环氧树脂固化产物由环氧树脂基体与固化剂在添加相关助剂和特定环境温度的条件下长时间固化形成,在这过程中环氧树脂体系由液态混合物交联形成三维网状结构,其微观结构决定着固化物宏观综合性能以及工作环境下的运行状态[25]。固化度、交联密度、自由体积等指标可以反映环氧树脂的结构特性。相关研究表明,随着固化度的提升,环氧树脂网络尺寸逐渐增大,自由离子的迁移率降低,偶极弛豫的影响增大,导致介电性能发生变化[26]。交联密度的降低表明环氧交联网络中存在更多的侧链和支链,导致介电常数的增大,也会造成热稳定性的下降[27]。自由体积影响着环氧树脂的介电性能和击穿特性。自由体积的增大为极性基团的活动提供了更充分的空间,使偶极子更容易跟随外电场变化,通常会导致介电常数的增大[28]。同时自由体积的增大会导致电子在电场作用下的平均自由程增大,积累的能量增多,更容易破坏分子链而导致击穿[29]。为提升环氧树脂的综合性能,在原有的体系中添加辅助填料成为重点研究方向,包括增韧、高耐热、高导热、耐电性能提升,以适应不同情境下的需求[30⇓⇓-33]。然而,环氧树脂的微观结构与宏观性能不仅与其体系组分相关,也与其固化时的工艺条件相关[34]。在合理科学的固化制度下形成的环氧树脂固化产物,其本体构成物质的良好性能得以更充分地体现,也是提升环氧树脂性能的有效技术手段。但环氧树脂固化制度的研究内容相比填料改性较少,且较少关注固化制度对绝缘性能的影响。
本文首先介绍双酚A环氧树脂/酸酐体系交联反应原理和固化动力学,系统总结固化体系、工艺条件对环氧树脂绝缘性能的影响规律,分析其微观结构与绝缘性能的对应关系,最后结合双酚-A环氧树脂/甲基六氢邻苯二甲酸酐/2, 4, 6-三(二甲胺基甲基)苯酚体系讨论其固化制度的优化思路。
2 匹配体系与分子动力学模拟
2.1 匹配体系
表1 基础及改性双酚-A环氧树脂基本性能参数
| 分类 | 性能参数 |
|---|---|
| 高压电工装备用超高纯双酚A环氧树脂 | 环氧值(eq/100 g):0.55~0.58;可水解氯(×10-6)<300;氯离子(×10-6)<5;黏度(mPa·s@25 ℃)<10 000 |
| 电工浇注环氧树脂(饱和 电抗器) | 环氧值(eq/100 g):0.50~0.53;黏度(mPa·s@25 ℃)14 000~18 000 |
| 电工浸渍环氧树脂(绝缘 拉杆/套管) | 环氧值(eq/100 g):0.58~0.60;黏度(mPa·s@25 ℃)900~1 200 |
| 电工浇注环氧树脂(高频 变压器) | 环氧值(eq/100 g):0.50~0.53;黏度(mPa·s@25 ℃)10 000~15 000 |
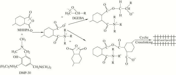
常见的酸酐固化剂可分为芳香族酸酐、脂环族酸酐、脂肪族酸酐等,其中甲基六氢邻苯二甲酸酐(Methyl hexahydrophthalic anhydride, MHHPA)是电工领域常用的脂环族酸酐固化剂。它具有熔点低、相容性好、黏度低、适用期长、固化物耐热性高、高温绝缘性能优异,常用于电气设备绝缘芯子的浸渍、支撑部件的浇注和功率器件的密封等场景[36]。
除了必需的环氧树脂基体与固化剂,针对不同的应用场景与性能要求,助剂也同样不可或缺,如促进剂、稀释剂、偶联剂等。促进剂常常与高温下才能发生反应的固化剂混合使用,目的是提升反应活性,降低固化温度,缩短反应时间[37]。酸酐固化剂与环氧树脂基体常温下反应活性极低,通常在200 ℃以上才会发生反应[38]。几乎所有的酸酐固化过程都需要配合促进剂使用。促进剂根据催化原理可分为亲核型促进剂、亲电型促进剂和金属羧酸盐促进剂。亲核型促进剂一般为路易斯碱,对环氧/酸酐固化体系具有双重的催化作用,既可以催化环氧交联,又可以催化酸酐开环。其过程为一般先生成烷氧阴离子与酸酐反应,接着生成羧基阴离子与环氧反应,进而生成新的烷氧阴离子,反应交替进行最终形成聚酯交联结构。路易斯碱的碱性越强,取代基的空间位阻越小,催化活性越大。亲电型促进剂一般为路易斯酸及其络合物。这类有机酸、醇或酚的催化原理为先经过络合态进而形成固化交联结构。有些路易斯酸在室温下与环氧树脂和固化剂结合性质稳定,在高温下才会加速反应,起到催化作用,具备潜伏型促进剂的特点。金属羧酸盐中的金属离子在反应前期有空轨道,能与环氧基形成络合物实现催化聚合反应;后期随着反应的放热效应,金属羧酸盐解离成羧酸阴离子实现催化聚合反应。两种不同的催化机理使得固化产物中既有酯基又有醚键。促进剂与环氧/酸酐体系的匹配对于提升环氧树脂的产物性能具有重要意义[14]。
2.2 反应原理
图1
图2
2.3 分子动力学模拟
分子动力学是在一定的初始条件下(如温度、压力等)模拟分子运动的研究方法,它使用牛顿经典力学来模拟分子体系的运动,在由分子体系不同状态构成的系综中抽取样本,从而计算体系的构型积分,并以此为基础计算体系的热力学量和其他宏观性质,对揭示试验现象背后的反应机理与规律具有重要价值。
分子动力学模拟通过计算机的高运算性能分析分子运动的统计规律,获得分子的微观结构,揭示分子位置构象、运动状态与宏观性能指标的联系,在环氧树脂的研究领域应用广泛[44-45]。如何通过先进的技术手段模拟出合理准确的环氧树脂交联结构是该领域的重点问题。当前,环氧树脂的交联模型大都基于“距离判断准则”进行设计,即在设定的反应半径内搜索可反应的原子对,交联后进行分子动力学平衡以获得稳定构象,继而不断增大反应半径直至满足相关条件为止[46-47]。现有的环氧树脂交联模型大多基于反应原子之间的直接交联。例如环氧树脂和酸酐固化剂之间的交联反应是在标定的碳原子和氧原子之间直接生成化学键[48]。然而,酸酐固化双酚A环氧树脂的过程涉及酯化醚化竞争多反应,因此直接的原子间反应缺乏一定的合理性[41]。由于酸酐交联反应的机理没有在模拟中充分体现,很难反映真正的交联变化,从而限制了模型在解释宏观性能方面的有效性。设计更加合理科学的交联规则以揭示交联结构与绝缘性能的联系,对深化环氧树脂固化制度的研究帮助甚大。
考虑环氧树脂与酸酐反应中酯化与醚化的竞争过程,借助Materials Studio软件实现环氧树脂-酸酐体系交联结构的模拟,其构建过程如图3所示。
图3
第一步:构建单体结构。
第二步:标记反应原子。
第三步:几何优化。
第四步:构建无定形态。
图3a中三条公式分别代表了酸酐开环、酯化与醚化反应的标定原子对和反应后会产生的新标定原子。在初始的目标反应半径下,酸酐开环与酯化反应就会发生,且它们反应后产生的新标定原子又可以作为另一反应的反应原子,使反应不断推进,形成循环;而醚化反应设定为目标半径达到一定的值后才会发生,这是由于醚化反应的活性略低,将其在后续加入反应进程也体现了醚化与酯化反应的竞争性。
3 固化动力学
3.1 固化动力学分析方法
固化动力学是基于DSC测试的热流曲线,通过数学分析掌握固化反应过程中热力学规律的热分析方法,在固化机理探寻,固化工艺优化等方面具有重要的应用价值。通过固化动力学研究环氧/酸酐体系的反应特性,掌握固化过程中的热力学变化规律,进而指导固化工艺的确定,对固化制度的研究具有重要意义,可以说是固化制度研究必要的“第一步”。
活化能是固化动力学分析中的关键参数,它通常指分子由能量稳定的基态转变为容易发生化学反应的活跃状态所需要的能量[49]。对于环氧树脂固化这种复杂的非基元反应,活化能体现为包含多个反应进程的表观活化能。表观活化能是统计平均量,反映了1 mol活化分子与1 mol稳定分子的平均能量之差,一般基于试验数据求得,在宏观上唯象地体现体系能量的变化。表观活化能的大小可以衡量化学反应发生的难易程度。在固化动力学计算中,模型与非模型方法均可以获得活化能的数值。模型法基于相应反应机理函数的假设,具有一定的局限性。非模型法基于等转化率原则,不涉及具体的反应机理函数假设,通过对基本热力学方程的数学变换反映活化能的状态。
固化动力学方程的微分形式一般为
式中,α表示转换率(固化度);t表示反应时间;A表示频率因子;Ea表示反应活化能;R表示摩尔气体常量;Tp为峰值温度;T为绝对温度[14]。固化动力学分析按是否依赖动力学方程而分成两类:模型拟合法与非模型拟合法。
(1) Kissinger法。Kissinger法基于峰值温度不受升温速率影响的假设,仅使用体系的峰值温度来计算反应的活化能[50]。根据峰值温度处热流导数为0的假设,对动力学基本方程求导并代入相应的关系,得到Kissinger方程
(2) Friedman法。Friedman法基于等转化率微分原则进行活化能的计算[51]。对动力学方程两边取对数,可得
(3) Flynn-Wall-Ozawa(FWO)法。FWO法同样基于等转化率的假设,不需要预先假设反应机理函数,即可获得反应体系的活化能[52]。需要引入固化度函数g(a)与温度积分,固化度函数定义为
三种模型结果均表明,环氧树脂/酸酐体系在中后期反应机理由浓度控制转为扩散控制,反应速率降低,活化能有所提高[53]。随着促进剂含量的提升,环氧树脂体系的活化能降低,反应更加容易进行。其中Kissinger法与FWO法计算的DGEBA/ MHHPA/DMP30体系反应活化能较为接近,验证了活化能计算的准确性,同时证明该环氧树脂体系遵循等转化率准则。非模型拟合法可以根据非等温的测试结果预测体系的等温固化行为,对指导固化工艺,尤其是特定温度下环氧树脂达到特定固化度所需的固化时间具有重要意义。
式中,m和n分别代表催化效应与浓度效应对应的反应级数。毕全瑞等[59]研究了SB(m, n)模型对环氧树脂/酸酐/氧化铝体系的适用性,发现拟合效果较好,动力学参数没有随固化剂含量增加而表现出明显的线性关系。
(2) Kamal模型。SB(m, n)模型使用动态DSC数据拟合的模型缺乏相应的有效性验证,Kamal模型全面考虑了浓度效应与催化效应对反应体系的影响,它的拟合需要动态数据与等温数据相配合,准确性更高。Kamal模型的表达形式如下
式中,k1和k2为速率常数。MA等[60]研究了Kamal模型拟合环氧/酸酐体系的效果,结果证明了反应体系的自催化性,反应后期受到扩散控制,Kamal模型不能描述该阶段的反应,引入扩散因子后的修正方程理论值与试验数据吻合得较好。
(3) n级反应模型。Kamal反应模型着重体现反应过程的自催化性,而n级反应模型将浓度视为影响反应速率的主要因素,未反应部分通过反应级数n与反应速率建立联系,其动力学方程表达如下[54]
n级反应模型是固化动力学中拟合最为简单的一种模型,它基于峰值温度不受升温速率影响的假设,仅使用峰值温度来拟合反应的动力学参数。活化能Ea与频率因子A的拟合基于Kissinger方程,反应级数n的拟合基于Crane方程,表示如下
DGEBA/MHHPA/DMP30体系固化过程拟合结果显示,转化率在60%以前n级反应模型拟合效果较好,而之后反应进程出现一定程度的偏差,这是因为反应后段体系受扩散控制,浓度不再是影响反应进程的主要因素,相比而言,转化率在60%之后Kamal模型拟合效果较好[14]。
3.2 固化动力学指导工艺优化
通过DSC测试得到的热流曲线能够反映热流速率随时间的变化关系(dH/dt-t),进一步分析可以获得环氧树脂/酸酐体系的固化特征温度,包括峰始温度、峰值温度和峰终温度。一般认为,峰始温度对应体系开始发生反应的温度,峰值温度对应反应最为剧烈的温度。在实际固化工艺流程中,为了防止初始反应太快,反应放热太剧烈引起局部温度集中和明显的热应力,固化方案先采用较低温度固化一段时间,而后提高温度使反应加快以完成固化[61]。两段固化成为通用的环氧树脂固化方案,前固化温度一般在初始反应温度附近选择,后固化温度一般选择峰值温度。在实际的固化过程中,环氧树脂在特定的温度下进行固化,即升温速度为0 K/min。因此,对不同升温速率下反应的特征温度进行线性拟合,可以外推获得升温速率为0 K/min时的特征温度,即温度外推法。图4为根据DGEBA/MHHPA/ DMP30体系不同升温速率下DSC热流曲线特征温度的外推拟合结果,可以确定该体系前固化温度为100 ℃,后固化温度为140 ℃[14]。
图4
固化度通常定义为环氧树脂中已交联的环氧基与所有的环氧基之比,也可以定义为反应已经释放的热量与反应总的放热量之比,它是衡量环氧树脂反应进程的重要指标[45,62]。环氧树脂交联过程中体系形态的变化大致可划分为液态-凝胶-固态的不同阶段,如图5所示。在凝胶点之前,环氧树脂体系大致呈液体状态,流动性较强,体系各处的分子均可以发生有效碰撞引发交联反应,反应主要受体系浓度控制,在这一过程中要完成关键部件的浸渍、灌封等,因此要准确获取这个阶段所能够持续的时间;凝胶点之后,环氧树脂体系呈凝胶状态,流动性减弱,之前浓度较高的部分反应完全,浓度较低的部分需要高浓度处剩余的未反应物扩散到低浓度处才能发生反应,交联反应取决于未反应部分的流动能力,反应主要受体系扩散控制,这一过程是完成预定固化度的关键期,也是预防填料沉降、提高耐热、优化强度与韧性的关键期[14]。
图5
根据固化动力学方程获得等温条件下转化率α与时间tα的方程
由式(11)可计算不同促进剂含量下体系在不同温度达到预设固化度所需时间,也可以确定体系达到凝胶点所需时间。为验证该推测,配制了不同促进剂含量的DGEBA/MHHPA/DMP30体系,放入真空烘箱中100 ℃加热,观察环氧树脂的变化过程,结果表明计算与试验凝胶时间误差均在10%以内[14]。
4 固化制度调控绝缘性能
4.1 交联结构影响
环氧树脂的交联结构特性影响着固化产物的绝缘性能,其中自由体积、交联密度等指标常用来反映交联结构的变化。自由体积被认为与介电性能和击穿特性密切相关,ARTBAUER等[63]研究表明自由体积的增大使电子在聚合物中的自由行程增大,会导致绝缘性能尤其是击穿强度的下降。填料的加入会在环氧树脂的交联结构中引入界面,改变体系的交联结构。ALHABILL等[64]研究了环氧树脂/氮化硅体系的直交流击穿强度,发现自由体积并未构成影响击穿强度的主要因素,纳米界面带来的电荷输运状况的改变影响了体系的击穿强度。自由体积的增大通常会导致介电常数的提升和介电损耗的增大,尤其是在环境温度超过玻璃态转化温度以上的条件下。DO等[65]的研究证明,环氧纳米体系的自由体积相比纯环氧体系变化不大,不能很好地解释介电行为的变化。GUO等[66]通过引入联苯介晶的定向结构,增加了环氧树脂网络结构的交联密度,有效地降低了介电常数与介电损耗。付可欣[45]通过构建环氧-酸酐体系交联模型,模拟研究了交联度对环氧-酸酐体系结构参数和性能参数的影响,发现当交联度为89%时,在满足电气性能的情况下,可以在保持较高的Tg时,获得较高的模量。
LI等[39]基于非模型固化动力学,计算了DGEBA/MHHPA/DMP30体系在100 ℃下环氧树脂达到70%、80%和90%固化度所需的固化时间,通过工艺制备的样品与通过仿真获得的交联结构其Tg误差小于4%,验证了特定固化度下确定相应固化工艺的有效性。同时发现在高交联度(>70%)下,产物体系中的酸酐反应完全,醚化反应的活性较弱,主要的交联反应表现为新酯基的形成,通过酯基与醚键作为交联点形成了广泛的三维网状结构。随着固化度的提升,环氧树脂的交流击穿强度提升,这与分子链的刚性增强相关,且玻璃态转化温度条件下击穿强度对温度的变化不甚敏感。可见交联结构调控对于提升环氧树脂绝缘性能具有重要意义。
4.2 固化制度调控
交联结构的性质既与环氧树脂基体、固化剂及助剂本身的性质有关,也与交联结构的形成条件联系密切。环氧树脂的固化制度可以总结为基体与固化剂的配比、助剂的含量和固化温度与时间组合等多个方面。
4.2.1 基体与固化剂的配比
环氧树脂与固化剂的最优配比研究已经较为充分,虽然直流电导率、介电性能与交/直流击穿的影响机理不尽相同,但依照理论的等摩尔反应比配制的固化产物大部分获得了最佳的性能。直流电导率取决于体系的化学成分,受网络结构的影响较小,在固化剂过量后,固化样品电导率出现了明显的增大,这可能与残余的基团含量有关;直流击穿强度在等摩尔配比处得到最大值,也可以用网络结构的差异来解释[67]。NGUYEN等[68]研究了双酚A环氧树脂与酸酐固化剂HY906配比对纯环氧与添加纳米SiO2填料体系热稳定性与直流击穿强度的影响。无论是否添加填料,环氧体系均在等摩尔配比处表现出最大的Tg,击穿强度的结果则略有不同,纯环氧体系在等摩尔配比处击穿场强最大,达到近173 kV/mm,而添加SiO2填料后,击穿场强的最大值出现在环氧基体稍稍过量的位置,这说明填料的加入需要对最佳反应比进行补偿计算。VRYONIS等[69]在存在环氧稀释剂八缩水甘油酯(OG)的条件下,依照等比例反应原则重新计算双酚A环氧树脂DGEBA与酸酐固化剂MTHPA的最佳配比,并研究了热稳定性与介电性能。补偿后的最佳配比表现出最佳的Tg,虽然固化剂过量的样品介电常数最低,但补偿后的最佳配比样品表现出更低的α与β弛豫峰强度。此外,何元菡的研究[35]表明固化剂MNA、Me-THPA、Me-HHPA分子结构中存在的—CH3和羧酸碳原子相距较近,具有一定的空间位阻,利用这几种固化剂制备出的环氧材料结构紧凑,有利于内部深陷阱的形成和绝缘性能提升。郭鹏翔等[36]发现甲基六氢邻苯二甲酸酐和六氢苯酐摩尔比为8∶2的混合酸酐固化产物玻璃化转变温度达到最高,在介质损耗基本不变的条件下,电气强度得到了提升,这与体系刚性的增强密切相关。总结来说,依照反应原理基于环氧基与酸酐基等摩尔比反应计算出的理论质量比即为环氧树脂与固化剂的最优配比,环氧或固化剂过量均会影响致密交联网络的形成,对固化产物性能产生不利的效果。
4.2.2 促进剂含量
促进剂比例对固化产物的影响相比前者尚未得到充分关注。AMIROVA等[70]研究了膦盐催化的环氧/酸酐体系的热性能,确定3wt%~4wt%为膦盐促进剂的最佳比例,有利于形成缺陷最少的三维交联网络。GOU等[71]开发了一种封装三苯基膦(TPP)的环氧/酸酐体系潜伏促进剂,该促进剂基于有机-无机杂化机理提高了环氧热固性树脂的玻璃态转化温度,同时具有增韧效果。杨威等[54]采用DSC对高压绝缘拉杆用环氧树脂体系进行固化动力学分析,验证了促进剂通过降低活化能可使固化温度显著下降,同时发现当促进剂用量为0.5%时,固化产物Tg达到最高值106.3 ℃。然而这些研究多集中关注环氧树脂的热学性能与机械性能,对绝缘性能的研究较少。LI等[43]在保证环氧树脂充分交联的经验固化工艺下,确定添加0.5% DMP-30时环氧树脂-酸酐体系绝缘性能达到最优,主要是对介电性能的影响较为明显,少量与过量的促进剂作用下其交联网络结构不佳,如图6所示,分析认为环氧树脂固化产物能带间隙的增大是电导率升高的重要原因。
图6
4.2.3 固化温度与时间
固化温度与时间的研究难点在于组合极多,缺乏相应的理论依据与选择标准,同时化学原料的供应商一般会提供经验的固化方案,因而此方面的研究并不多。UZAY等[72]研究了后固化热处理对纤维增强复合材料(FRP)拉伸和冲击韧性的影响,分别在常规的固化方案下增加了25 ℃、62.5 ℃和100 ℃后固化1 h的处理,结果表明,后固化对FRP的能量吸收能力和拉伸性能的提升是有益的。GUERRERO等[73]研究了TGDDM/THPA环氧体系的动态力学行为与固化时间和化学计量比的关系,固化制度为120 ℃2 h+170 ℃ 2 h+200 ℃ 2 h。结果显示,后固化提升了环氧树脂的Tg与力学特性,这归因于后固化使未反应的环氧基团发生醚化,使交联结构更加均匀。SAEEDI等[74]研究了双酚A环氧DGEBA/D-230体系在80 ℃下不同固化时间(1~9 h)的直流电导、交流击穿强度和介电性能。结果显示,80 ℃下固化6 h的样品具有最高的Tg,电导率随着固化时间的增长先升高后降低,交流击穿场强的趋势则相反,而极值均出现在固化时间3 h的位置,介电常数与介电损耗在固化时间6 h处达到最大值,之后逐渐降低。
第3.2节提到两段固化已成为通用的环氧树脂固化方案。LI等[39]基于DEBGA/MHHPA/DMP30体系,设定了80%和90%的预固化处理(100 ℃下80 min或123 min),在此基础上分别进行140 ℃后固化1 h、2 h、4 h和8 h,以研究后固化对绝缘性能的影响。发现90%固化度基础上后固化的环氧树脂绝缘性能普遍优于80%固化度基础上的后固化产物,且后固化时间的影响存在饱和效应。综合绝缘性能进行评估,最终优选出最佳固化制度为0.5% DMP-30+100 ℃固化123 min+140 ℃后固化4 h[14]。综上,固化时间对环氧树脂结构的形成影响复杂,并不是固化时间越长性能越好,分段固化温度与时间的组合可根据试验结果确定最优的生产工艺条件。
5 结论与展望
本文介绍了酸酐固化双酚-A环氧树脂固化动力学模型的演变过程,基于不同的混合比以及固化时间和温度组合,重点论述了固化制度对双酚-A环氧树脂/酸酐体系绝缘性能的影响规律及调控机制,主要结论如下所述。
5.1 结论
(1) 掌握匹配体系和反应原理是高性能电工环氧树脂的开发的前提,分子动力学模拟可以通过构建精准交联脚本,实现酸酐固化双酚-A环氧树脂的交联过程,构建微观结构参数与宏观性能之间的联系,为相关配方选型和性能预测提供支撑。
(2) 试验结果表明,DEBGA/MHHPA体系在固化度为凝胶点之前和之后分别满足n级反应模型和Kamal模型,这表明浓度和催化效应对反应速率的影响正在增加。分段模型拟合是准确描述和理解系统固化动力学的解决方案,可以为二阶段固化温度选择和反应体系固化度的精准调控提供依据。
(3) 环氧树脂绝缘性能与交联结构的形成条件联系密切,主要表现为基体与固化剂的配比、助剂的含量和固化温度与时间组合通过影响固化物交联密度和自由体积进而调控其绝缘性能,因此固化制度的持续优化对于开发高性能环氧基绝缘材料具有科学和工程意义。
5.2 展望
(1) 通过动力学方程或热力学参量之间的数学变换获得特定温度下固化度与时间的对应关系。该方法准确性高、适用性强,但属于事前预测,无法确定固化后样品的固化度。如何准确便捷地实现环氧树脂固化度的量化,仍然是值得研究的重点问题。
(2) 电工材料在电力设备应用场景中需要承受各种应力的作用。力学性能同样是电工材料应用需要衡量的重要指标。当前固化制度下获得的最佳绝缘性能不一定具有最佳的力学承受能力。未来有必要同时考虑固化制度对环氧树脂力学性能的影响,以保证研究体系的完整性。
(3) 特定异形结构、辅助增强型环氧树脂绝缘件固化制度相关研究还需要考虑填料的加入对固化反应的影响,同时为了避免沉降、残余应力也需要优化局部固化工艺差异设计。
参考文献
环氧复合材料表面电位衰减与直流电导特性
[J].
Surface potential decay and DC conductivity characteristics of epoxy composites
[J].
电工环氧绝缘件缺陷无损检测方法研究进展
[J].
Research progress of nondestructive detection methods for defects of electrical epoxy insulators
[J].
特高压气体绝缘金属封闭开关设备用盆式绝缘子的质量控制
[J].
Quality control for basin insulator used in gas insulated metal enclosed switchgear of ultra high voltage
[J].
抛光方式对交流电压下盆式绝缘子表面电荷分布和沿面闪络特性的影响
[J].
Influence of polishing treatments on surface charge distribution and flashover characteristics of basin spacer under AC voltage
[J].
断路器绝缘拉杆动态性能模拟试验
[J].
Dynamic characteristics test of insulation pull rod for circuit breaker
[J].
基于声弹效应的芳纶增强环氧复合绝缘材料残余应力检测技术研究
[J].
Residual stress detection technology for aramid fiber reinforced epoxy composites based on acoustic-elastic effect
[J].
水分含量影响玻璃纤维增强环氧树脂电树枝生长特性研究
[J].
Effects of moisture contents on electrical treeing process in GFRP
[J].
特高压直流干式套管用环氧及环氧/皱纹纸复合材料介电特性研究
[J].
Dielectric properties of epoxy resin and epoxy/crepe paper composites used in the ultra high voltage direct current dry-type bushing
[J].
Temperature-dependent electric field distribution in ±800 kV valve-side bushing insulation for a converter transformer
[J].DOI:10.1049/hve2.v6.1 URL [本文引用: 1]
高压大容量电力电子变压器中高频变压器研究现状和发展趋势
[J].
Research status and development of high frequency transformer used in high voltage and large capacity power electronic transformer
[J].
特高压电气设备用高性能复合绝缘材料配方的研制
[J].
Development of high performance composite insulating material formula for UHV electrical equipment
[J].
复配固化剂对环氧树脂体系特性影响的分子动力学模拟
[J].
Molecular dynamics simulation on effect of compound curing agent on properties of epoxy resin system
[J].
低黏度双酚A型环氧树脂的制备
[J].
Preparation of bisphenol A epoxy resin with low viscosity
[J].
气体绝缘直流设备气固界面电场分布特性与调控方法研究进展
[J].
Progress in electrical field distribution along gas-solid interface in compact gas insulated system and its regulation methods
[J].
Solidification dynamics of silicone oil and electric field distribution within outdoor cable terminations subjected to cold environments
[J].DOI:10.1109/TPWRD.2022.3144851 URL [本文引用: 1]
Study on non-uniformity and dynamic fracture characteristics of GIL tri-post insulators considering Al2O3 sedimentation
[J].DOI:10.1049/hve2.v8.4 URL [本文引用: 1]
Temperature distribution in resin impregnated paper insulation for transformer bushings
[J].DOI:10.1109/TDEI.2010.5492269 URL [本文引用: 1]
Regulation of temperature resistivity characteristics of insulating epoxy composite by incorporating positive temperature coefficient material
[J].DOI:10.1109/TDEI.94 URL [本文引用: 1]
Temperature effects on the dielectric properties and breakdown performance of h-BN/epoxy composites
[J].
DOI:10.3390/ma12244112
URL
[本文引用: 1]
Epoxy–boron nitride composites are promising insulating materials, and it is highly important to understand their insulating performances at different temperatures with different nano-doping amounts. In this study, we investigated the effects of different mass fractions of epoxy–micron hexagonal boron nitride composites on their thermal conductivity, as well as the effects of temperature and mass fraction on their insulating performances. The results demonstrated that the thermal conductivity of epoxy–micron hexagonal boron nitride composites was superior to that of neat epoxy. The thermal conductivity of epoxy–micron hexagonal boron nitride composites increased with the mass fraction of hexagonal boron nitride, and their dielectric constant and dielectric loss increased with temperature. The dielectric constant of epoxy–micron hexagonal boron nitride composites decreased as the mass fraction of hexagonal boron nitride increased, while their dielectric losses decreased and then increased as the mass fraction of hexagonal boron nitride increased. Due to internal heat accumulation, the alternating current breakdown strength of epoxy–micron hexagonal boron nitride composites increased and then decreased as the mass fraction of hexagonal boron nitride increased. Additionally, as the temperature increased, the composites transitioned from the glassy state to the rubbery or viscous state, and the breakdown strength significantly degraded.
Influence of temperature on mechanical and insulation properties of epoxy-layered silicate nanocomposite
[J].DOI:10.1109/TDEI.2006.1624291 URL [本文引用: 1]
Repetitive fast voltage stresses-causes and effects
[J].DOI:10.1109/MEI.2009.5191414 URL [本文引用: 1]
环氧树脂绝缘高频电热联合老化中局部放电特性分析
[J].
Analysis on partial discharge characteristics of epoxy resin insulation during high-frequency electrical-thermal aging
[J].
环氧树脂绝缘电树枝劣化研究进展
[J].
Research progress on electrical tree in epoxy resin insulation
[J].
Curing regime-modulating insulation performance of anhydride-cured epoxy resin:A review
[J].
DOI:10.3390/molecules28020547
URL
[本文引用: 1]
Anhydride-cured bisphenol-A epoxy resin is widely used in the support, insulation and sealing key components of electrical and electronic equipment due to their excellent comprehensive performance. However, overheating and breakdown faults of epoxy resin-based insulation occur frequently under conditions of large current carrying and multiple voltage waveforms, which seriously threaten the safe and stable operation of the system. The curing regime, including mixture ratio and combination of curing time and temperature, is an important factor to determine the microstructure of epoxy resin, and also directly affects its macro performances. In this paper, the evolution of curing kinetic models of anhydride-cured epoxy resin was introduced to determine the primary curing regime. The influences of curing regime on the insulation performance were reviewed considering various mixture ratios and combinations of curing time and temperature. The curing regime-dependent microstructure was discussed and attributed to the mechanisms of insulation performance.
Dielectric changes during the curing of epoxy resin based on the diglycidyl ether of bisphenol A (DGEBA) with diamine
[J].
Polymer chain dynamics in epoxy based composites as investigated by broadband dielectric spectroscopy
[J].DOI:10.1016/j.arabjc.2015.07.016 URL [本文引用: 1]
Optimizing nanostructure to achieve high dielectric response with low loss in strongly dipolar polymers
[J].
聚酰亚胺复合电介质材料绝缘击穿特性研究进展
[J].
Research progress in insulation breakdown characteristics of polyimide composite dielectrics
[J].
高压电工装备用环氧树脂绝缘材料改性研究进展
[J].
Modification research progress of epoxy resin insulation materials for high voltage electrical apparatus
[J].
EHTPB液体橡胶改性环氧树脂研究
[J].
Modification of epoxy resin with epoxidized hydroxyl terminated polybutadiene liquid rubber
[J].
Enhancement of thermal conductivity of BN/epoxy composite through surface modification with silane coupling agents
[J].
Dielectric properties of silica hollow spheres/epoxy nanocomposites
[C]//
混合酸酐固化双酚A环氧树脂介电性能研究
[J].
Study on dielectric properties of bisphenol-A epoxy resin cured with mixed anhydride
[J].
Role of accelerator in curing of epoxy-anhydride pressure impregnant
[J].DOI:10.1109/TDEI.2012.6215101 URL [本文引用: 1]
Kinetics and mechanism of curing epoxy/anhydride systems
[J].
Curing degree dependence of dielectric properties of bisphenol-A based epoxy resin cured with methyl hexahydrophthalic anhydride
[J].DOI:10.1109/TDEI.2022.3212970 URL [本文引用: 4]
Über den härtungsmechanismus der äthoxylinharze
[J].DOI:10.1002/pol.12.v12:1 URL [本文引用: 1]
The influence of the molecular architecture on the thermal and the dielectric properties of epoxy resin networks
[C]//
Recyclable high-performance epoxy-anhydride resins with DMP-30 as the catalyst of transesterification reactions
[J].
DOI:10.3390/polym13020296
URL
[本文引用: 1]
Epoxy-anhydride resins are widely used in engineering fields due to their excellent performance. However, the insolubility and infusibility make the recycling of epoxy resins challenging. The development of degradable epoxy resins with stable covalent networks provides an efficient solution to the recycling of thermosets. In this paper, 2,4,6-tris(dimethylaminomethyl)phenol (DMP-30) is incorporated into the epoxy-glutaric anhydride (GA) system to prepare high-performance epoxy resins that can be recycled below 200 °C at ordinary pressure via ethylene glycol (EG) participated transesterification. The tertiary amine groups in DMP-30 can catalyze the curing reaction of epoxy and anhydride, as well as the transesterification between ester bonds and alcoholic hydroxyl groups. Compared with early recyclable anhydride-cured epoxy resins, the preparation and recycling of diglycidyl ether of bisphenol A (DGEBA)/GA/DMP-30 systems do not need any special catalysts such as TBD, Zn(Ac)2, etc., which are usually expensive, toxic, and have poor compatibility with other compounds. The resulting resins have glass transition temperatures and strengths similar to those of conventional epoxy resins. The influences of GA content, DMP-30 content, and temperature on the dissolution rate were studied. The decomposed epoxy oligomer (DEO) is further used as a reaction ingredient to prepare new resins. It is found that the DEO can improve the toughness of epoxy resins significantly. This work provides a simple method to prepare readily recyclable epoxy resins, which is of low-cost and easy to implement.
Curing kinetics and dielectric properties of anhydride cured epoxy resin with different accelerator contents
[J].DOI:10.1109/TDEI.2022.3224894 URL [本文引用: 4]
Effects of different parameters on thermal and mechanical properties of aminated graphene/epoxy nanocomposites connected by covalent:A molecular dynamics study
[J].DOI:10.1016/j.cap.2020.01.011 URL [本文引用: 1]
Molecular dynamics simulation and experimental studies on the thermomechanical properties of epoxy resin with different anhydride curing agents
[J].
DOI:10.3390/polym11060975
URL
[本文引用: 1]
An investigation of the relationship between the microstructure parameters and thermomechanical properties of epoxy resin can provide a scientific basis for the optimization of epoxy systems. In this paper, the thermomechanical properties of diglycidyl ether of bisphenol A (DGEBA)/methyl tetrahydrophthalic anhydride (MTHPA) and DGEBA/nadic anhydride (NA) were calculated and tested by the method of molecular dynamics (MD) simulation combined with experimental verification. The effects of anhydride curing agents on the thermomechanical properties of epoxy resin were investigated. The results of the simulation and experiment showed that the thermomechanical parameters (glass transition temperature (Tg) and Young’s modulus) of the DGEBA/NA system were higher than those of the DGEBA/MTHPA system. The simulation results had a good agreement with the experimental data, which verified the accuracy of the crosslinking model of epoxy resin cured with anhydride curing agents. The microstructure parameters of the anhydride-epoxy system were analyzed by MD simulation, including bond-length distribution, synergy rotational energy barrier, cohesive energy density (CED) and fraction free volume (FFV). The results indicated that the bond-length distribution of the MTHPA and NA was the same except for C–C bonds. Compared with the DGEBA/MTHPA system, the DGEBA/NA system had a higher synergy rotational energy barrier and CED, and lower FFV. It can be seen that the slight change of curing agent structure has a significant effect on the synergy rotational energy barrier, CED and FFV, thus affecting the Tg and modulus of the system.
环氧树脂/酸酐体系热力学特性的分子动力学模拟
[J].
Molecular dynamics simulation on thermomechanical properties of epoxy resin/anhydride system
[J].
Structure,microparameters and properties of crosslinked DGEBA/MTHPA:A molecular dynamics simulation
[J].
DOI:10.1063/1.5041283
URL
[本文引用: 1]
Investigating the relationship between microstructure and macroscopic properties of epoxy resin (EP) materials for high-voltage insulation at the molecular level can provide theoretical guidance for the synthetic design of EP. Here, using diglycidyl ether (DGEBA) as the resin matrix and methyl tetrahydrophthalic anhydride (MTHPA) as the curing agent, a set of crosslinked EP molecular models at different curing stages were constructed based on the proposed crosslinking method. We studied the influences of crosslinking density on micro-parameters and macro-properties employing molecular dynamics (MD) simulations. The results indicate that crosslinking of DGEBA/MTHPA is a contraction and exothermic process. The structural parameters and macroscopic properties are closely related to the degree of crosslinking. With the increase of crosslinking density, the mean square displacement (MSD) of the system decreases, and the segment motion in the models is weakened gradually, while, the fractional free volume (FFV) first decreases and then increases. In addition, the thermal and mechanical properties of DGEBA/MTHPA have a significant dependence on the crosslinking density. Increasing crosslinking density can improve the glass transition temperature (Tg), reduce the coefficient of thermal expansion (CTE), and enhances the static mechanical properties of DGEBA/MTHPA system. Furthermore, the relationship between microparameters and properties has been fully investigated. Free volume is an important factor that causes thermal expansion of DGEBA/MTHPA. Moreover, there is a negative correlation between MSD and mechanical moduli. By elevating temperature, the decline in mechanical moduli may be due to the exacerbated thermal motion of the molecules and the increasing MSD values.
绝缘拉杆用环氧树脂固化动力学研究
[J].
Study on curing kinetics of epoxy resin for insulated tension pole
[J].
Kissinger method in kinetics of materials:Things to beware and be aware of
[J].
DOI:10.3390/molecules25122813
URL
[本文引用: 2]
The Kissinger method is an overwhelmingly popular way of estimating the activation energy of thermally stimulated processes studied by differential scanning calorimetry (DSC), differential thermal analysis (DTA), and derivative thermogravimetry (DTG). The simplicity of its use is offset considerably by the number of problems that result from underlying assumptions. The assumption of a first-order reaction introduces a certain evaluation error that may become very large when applying temperature programs other than linear heating. The assumption of heating is embedded in the final equation that makes the method inapplicable to any data obtained on cooling. The method yields a single activation energy in agreement with the assumption of single-step kinetics that creates a problem with the majority of applications. This is illustrated by applying the Kissinger method to some chemical reactions, crystallization, glass transition, and melting. In the cases when the isoconversional activation energy varies significantly, the Kissinger plots tend to be almost perfectly linear that means the method fails to detect the inherent complexity of the processes. It is stressed that the Kissinger method is never the best choice when one is looking for insights into the processes kinetics. Comparably simple isoconversional methods offer an insightful alternative.
Isoconversional kinetic analysis of thermally stimulated processes in polymers
[J].DOI:10.1002/marc.v27:18 URL [本文引用: 2]
Assessment of Avrami,Ozawa and Avrami-Ozawa equations for determination of EVA crosslinking kinetics from DSC measurements
[J].DOI:10.1016/j.polymertesting.2008.05.003 URL [本文引用: 2]
The curing kinetics analysis of four epoxy resins using a diamine terminated polyether as curing agent
[J].
环氧树脂固化动力学及促进剂用量对体系的影响
[J].
Kinetics of epoxy resin curing and the effects of varying the amount of accelerator
[J].
Curing kinetics of DGEBA epoxy resin modified by poly (phthalazinone ether ketone) (PPEK)
[J].DOI:10.1080/03602559.2011.578294 URL [本文引用: 1]
The kinetic analysis of non-isothermal data
[J].
Fourty years of the esták-Berggren equation
[J].DOI:10.1016/j.tca.2011.03.030 URL [本文引用: 1]
Study of the kinetics of the mechanism of solid-state reactions at increasing temperatures
[J].DOI:10.1016/0040-6031(71)85051-7 URL [本文引用: 1]
盆式绝缘子用环氧/氧化铝复合体系固化动力学
[J].
Curing kinetics of epoxy/alumina composite system for basin insulator
[J].
Curing kinetics of o-cresol formaldehyde epoxy resin and succinic anhydride system catalyzed by tertiary amine
[J].DOI:10.1021/jp060243z URL [本文引用: 1]
Cure kinetics characterization and monitoring of an epoxy resin using DSC,Raman Spectroscopy,and DEA
[J].DOI:10.1016/j.compositesa.2013.01.021 URL [本文引用: 1]
Electric strength of polymers
[J].DOI:10.1088/0022-3727/29/2/024 URL [本文引用: 1]
Effect of stoichiometry on AC and DC breakdown of silicon nitride/epoxy nanocomposites
[J].DOI:10.1109/TDEI.2021.009561 URL [本文引用: 1]
Breakdown,free-volume and dielectric behavior of the nanodielectric coatings based on epoxy/metal oxides
[J].DOI:10.1007/s10854-016-4962-y URL [本文引用: 1]
Relationship between crosslinking structure and low dielectric constant of hydrophobic epoxies based on substituted biphenyl mesogenic units
[J].DOI:10.1039/C5RA16540G URL [本文引用: 1]
Effect of resin/hardener stoichiometry on electrical behavior of epoxy networks
[J].DOI:10.1109/TDEI.94 URL [本文引用: 1]
The effect of resin stoichiometry and nanoparticle addition on epoxy/silica nanodielectrics
[J].DOI:10.1109/TDEI.2015.7076790 URL [本文引用: 1]
Stoichiometry and molecular dynamics of anhydride-cured epoxy resin incorporating octa-glycidyl POSS co-monomer
[J].
Thermal properties of epoxy-anhydride formulations cured using phosphonium accelerators
[J].DOI:10.1007/s00289-018-2330-1 [本文引用: 1]
Triphenylphosphine-containing microcapsules fabricated from pickering emulsions as a thermal latent curing accelerator for an epoxy/anhydride system
[J].DOI:10.1002/pi.v70.12 URL [本文引用: 1]
Effect of post-curing heat treatment on mechanical properties of fiber reinforced polymer (FRP) composites
[J].DOI:10.3139/120.111001 URL [本文引用: 1]
Influence of cure schedule and stoichiometry on the dynamic mechanical behaviour of tetrafunctional epoxy resins cured with anhydrides
[J].DOI:10.1016/0032-3861(96)85865-4 URL [本文引用: 1]
The effect of curing conditions on the electrical properties of an epoxy resin
[C]//
/
| 〈 |
|
〉 |
