倾斜状态下受电弓滑板温度特性仿真研究*
Simulation on Temperature Characteristics of Pantograph Slide in Inclined State
通讯作者: 曾佳帅,男,1998年生,硕士研究生。主要研究方向为电器理论及应用。E-mail:2971140879@qq.com
收稿日期: 2022-10-6 修回日期: 2023-06-17
| 基金资助: |
|
Received: 2022-10-6 Revised: 2023-06-17
作者简介 About authors
刘桂芬,女,1975年生,博士。主要研究方向为电器理论及应用。E-mail:
王智勇,男,1982年生,博士。主要研究方向为电器理论及应用。E-mail:
王琦,男,1999年生,硕士研究生。主要研究方向为电器理论及应用。E-mail:
高速铁路弓网系统中,因不良因素影响,接触导线与滑板之间易产生轻微偏角,导致高温聚集,损伤滑板。为探寻异常倾角对滑板温度的影响,利用COMSOL Multiphysics建立倾角状态下的弓网系统温度场仿真模型,使用等效面积法模拟滑板倾斜状态,通过试验数据计算不同工况下的电弧能量,对大电流下电弧能量进行预测,利用滑动电接触温度特性试验验证了仿真模型的准确性,对不同倾角下的滑板表面温升及温度分布进行仿真。结果表明,相同工况下,倾角状态滑板温度相比正常状态有最高643 ℃提升;倾角状态下滑板温度上升曲线呈“山脊”状;最佳接触压力值随着倾角的增大而增大;倾角状态下温度大量聚集在滑板中部。
关键词:
In the pantograph-catenary system of high-speed railway, due to the influence of adverse factors, there is a slight inclination angle between the contact wire and the pantograph slide, resulting in high temperature accumulation and damage to the slide. In order to explore the influence of the inclination angle on the temperature of the slide, a temperature field simulation model of the pantograph-catenary system under the inclination angle condition is established by using COMSOL Multiphysics software. The equivalent area method is used to simulate the inclined operation state of the slide. The arc energy under different working conditions is calculated by using the measured experimental data, and that under strong current condition is predicted. The validity of the simulation model is verified by using experimental results. The temperature rise and temperature distribution characteristics of the slide under different inclination angle conditions are simulated. Under the same working conditions, the temperature of the slide in the inclined state is 643 ℃ higher than that of in the normal state. The temperature rise curve of the slide in the inclined state is ridge shape. The optimal contact pressure increases with the increase of the inclination angle. In the inclined state, the temperature is largely concentrated in the middle of the slide.
Keywords:
本文引用格式
曾佳帅, 刘桂芬, 王智勇, 王琦.
ZENG Jiashuai, LIU Guifen, WANG Zhiyong, WANG Qi.
1 引言
在高速电气化铁路系统中,弓网系统是列车受流的重要部件,是保障列车系统正常运作的关键。在实际情况下,由于工人安装不当,大风大雪等恶劣天气,以及接触导线悬挂不良等因素的影响,接触线与滑板之间容易产生轻微偏角,铜导线难以和滑板保持完全平滑状态,以至于产生高温聚集的情况,对滑板造成损伤。因此,对倾斜运行状态下受电弓滑板的温度特性进行系统研究,对延长滑板使用寿命有着积极意义。
针对弓网系统摩擦副的温度特性,国内外学者进行了一系列研究。文献[1]利用COMSOL软件建立了弓网系统摩擦副温度场仿真模型,对高速、强电流条件下的电弧能量进行预测;文献[2⇓⇓⇓-6]对滑动电接触下的热模型进行了研究,对不同工况下的电接触进行了热分析;文献[7]建立了弓网系统的电触点热模型,构建了接触点之间的最大接触加热和加热分布表达式;文献[8⇓-10]从多方面考虑,提出和完善了弓网系统的建模方法;文献[11]在温度场仿真分析中提出一种变密度对称六面体网格划分方法;文献[12]设计了一套基于LabVIEW的弓网检测系统;文献[13]采用欧拉-伯努利柔性梁对柔性承力索和接触网进行建模,对弓网耦合系统进行了整体分析;文献[14]基于自制的弓网仿真系统,从温升方面研究了弓网系统电接触的演变过程。国内外大量学者对正常状态下弓网系统温度场进行研究,关于倾斜状态下弓网系统温度场的研究较少,只有文献[15]对不同倾角下滑板的磨损量、摩擦因数以及电弧能量进行分析,关于倾角状态下的滑板温升仿真还鲜见报道。
本文利用滑动电接触试验系统进行滑板倾斜条件下的温度特性试验,在COMSOL Multiphysics软件中运用等效面积法模拟滑板倾斜,建立了倾斜状态下弓网系统滑动电接触温度场仿真模型,仿真与试验相同工况下的温度结果,通过对比仿真与试验结果验证了仿真模型的准确性;对高速强电流状态下的滑板温度结果进行仿真计算,分析了倾角对滑板温度及其温度分布的影响。
2 试验装置与方案
2.1 试验装置及原理
图1
图2
2.2 试验方案
为了研究不同工况下,不同倾角对滑板温度的影响,试验方案如表1所示。试验共进行30组,分别研究纯摩擦情况下与70 A电流情况下滑板的稳态温升情况。
3 仿真模型
3.1 模型建立
在文献[16]建立的弓网系统滑动电接触的模型之上进一步考虑滑板倾斜角度因素对滑板温升的影响,利用COMSOL Multiphysics软件进行仿真计算。
图3
为使仿真便于计算,做出以下假设[16]:① 材料密度与导热系数为定值,不随温度变化而改变;② 考虑外界产生的对流散热,散热系数恒定;③ 忽略磨屑带走的很少热量;④ 接触点界面摩擦力作用转换的热量和接触电阻产生的热量能全部被摩擦耦合件吸收;⑤ 各层材料的参数都是各向同性的。
仿真设定初始温度为实际室温15 ℃,本模型中浸金属滑板以及铜导线的物理参数参考文献[1]中设置。
3.2 等效面积法模拟滑板倾斜
试验初始状态,由于设定了一定倾角,摩擦副滑板与铜导线接触面积极小;试验进行中,试验机模拟列车“之”字形运动,铜导线与浸金属滑板相互摩擦,滑板接触面不断磨损导致摩擦副接触面不断增大,从而使得铜线在滑板上滑动区域面积增加。COMSOL软件中难以模拟滑板的倾角以及试验过程中滑板磨损导致的滑动区域变化状态,于是采用等效面积法模拟铜线在滑板上滑动区域不断增大的过程。等效面积法即通过试验采样得到的滑动区域面积来设置COMSOL中滑板周期运动的函数幅值,使得相同时间内铜线在滑板上滑动的区域与试验相等。
图4
图5
图6
图7
3.3 弓网电弧能量计算预测
图8
利用试验过程中采集的电压电流数据对不同条件下电弧总能量进行计算。交流电弧能量为[19]
式中,
对各个倾角不同速度下的电弧能量进行计算,不同速度下电弧能量值相差最大2 502 J,相差占比3.2%,速度对电弧能量值影响较小。因此,仿真只考虑倾角与接触电流对电弧功率的影响。不同倾角下每100 s内的电弧能量计算结果如表2所示,前100 s内滑板与铜导线接触面积小导致大量电弧产生,随着滑板的磨损,接触面积不断增大,电弧逐渐减少,导致了如表2所示的电弧能量随时间迅速降低直到小范围波动的状况。由式(1)可知电弧能量与电流值成线性关系,在Matlab软件中采用一元线性回归模型对大电流条件下的电弧能量进行预测,求得倾角1°、2°、3°、4°在电流1 000 A时600 s内电弧总能量分别为9.45×105 J、1.62×106 J、1.29×106 J、1.78×106 J,按照表2中不同时间段内电弧能量的比例得出不同倾角下每100 s内电弧能量,从而得到每100 s内平均电弧功率,在滑板接触面设置相同功率的点热源以模拟电弧热对接触面温度的影响。
表2 电弧能量计算
| 倾角/(°) | 接触电流/A | 第100 s内电弧能量/J | 第200 s内电弧能量/J | 第300 s内电弧能量/J | 第400 s内电弧能量/J | 第500 s内电弧能量/J | 第600 s内电弧能量/J |
|---|---|---|---|---|---|---|---|
| 1 | 70 | 20 459 | 5 508 | 4 401 | 3 280 | 4 380 | 3 315 |
| 2 | 70 | 34 420 | 10 597 | 7 872 | 5 657 | 5 851 | 6 332 |
| 3 | 70 | 19 795 | 10 307 | 7 270 | 5 729 | 8 327 | 4 994 |
| 4 | 70 | 37 282 | 11 134 | 8 724 | 7 905 | 7 921 | 5 235 |
4 仿真模型验证
4.1 瞬态温升对比验证
使用热成像仪间隔100 s对滑板接触面最高温度进行采集,采样数据与仿真温升曲线对比验证仿真模型的准确性。在速度为70 km/h、接触压力为70 N条件下进行仿真计算。
图9
图10
4.2 稳态温升对比验证
改变试验的倾角与速度大小,分别对纯摩擦和有电流作用下两种情况试验仿真结果进行对比。
图11
图12
5 温度特性仿真
5.1 不同倾角状态下温度仿真
5.1.1 高速大电流温度仿真
对真实的列车运行条件进行不同倾角的温度仿真,取接触压力为70 N,对不同倾角下接触电流和滑动速度分别为1 000 A、380 km/h;1 000 A、160 km/h;500 A、160 km/h条件下进行温度仿真。如图13所示为各组稳态温度仿真结果。
图13
从图13可以看出在各组试验中,正常状态下各组条件下温度结果都远小于倾角状态下的温度,其中接触电流1 000 A、滑动速度160 km/h条件下,倾角2°相比正常状态高了643 ℃,温度相差巨大,可见倾角对滑板温度的影响显著。不同倾角温度差距主要体现在大电流情况下,在大电流条件下稳态温升对速度的敏感度较低,速度的变化对稳态温度影响较小,而在倾角为2°与4°时与其他情况不同,速度的增大引起温度的下降;且电流的增大引起稳态温度剧烈变化。
可见,在列车高速大电流条件下,倾角是受电弓滑板温度异常升高的最主要因素。
5.1.2 瞬态温升曲线仿真
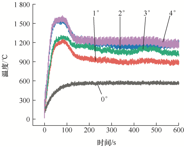
为了探寻不同倾角状态下滑板温度从初始到稳态变化规律,在电流为1 000 A,接触压力为70 N,速度为160 km/h条件下对比了不同倾角状态时滑板表面中点上升曲线,如图14所示。
图14
由图14可以看出温升曲线呈波动状,短时间内温度有较大范围内波动;无倾角状态上升曲线平缓,温升相比于倾角状态较小,在100 s后上升到稳态后一直保持稳定状态;而倾角状态下采样点温度在50 s内急剧上升至峰值,且在100 s后温度有较大幅度的下降,呈现一种“山脊”状分布,在200~600 s温度也保持较小范围的起伏,整体有轻微下降趋势;2°、4°倾角相比于其他倾角有着更明显的“山脊”分布,其“山峰”更高,凸起更明显,前50 s内温度上升更剧烈。
短时间内温度变化较大原因在于热源的移动,铜导线与滑板接触区域通过大量电流且产生电弧,导致接触区域温度迅速上升,铜导线在滑板上往返滑动,热源经过测量点时温度短暂上升,离开时温度降低,导致波动状曲线;前百秒内铜导线与滑板接触面积小,运行过程产生剧烈电弧,在大量电弧热与焦耳热、摩擦热的共同作用下导致其温度剧烈上升,百秒后随着滑板磨损,接触线面积增加,抑制电弧的产生,电弧总能量迅速减少,使之前的温度短暂稳态状态被破坏,温度随着电弧能量减少迅速降低,从图5可以看出,滑板运动幅值在前百秒内增长最快,即滑动区域面积在前百秒增长最快,所以试验前期电弧能量下降更多,而随着不断磨损,接触面积增大得越来越慢,而使得电弧能量在小范围内下降,所以温升曲线后端会缓慢降低;而2°、4°的“山脊”状分布更明显,原因在于其前百秒内更大的电弧能量所导致。
可见,倾角不仅会大幅度提高滑板的稳态温度,在倾角刚产生的50 s内,滑板的温度会急剧突增,远大于最终的稳态温度;温度的剧增可能会使浸金属滑板中的金属成分熔化,从而影响滑板的材料性能,进而影响到弓网滑动摩擦副的载流摩擦磨损特性,严重时甚至会威胁列车的安全运行。
5.1.3 不同接触压力下的稳态温度仿真
在电流为1 000 A,速度为160 km/h的条件下,对不同倾角与接触压力下的稳态温度进行仿真,结果如图15所示。
图15
文献[20]发现在电流速度一定的条件下,接触面温度随压力的增大呈现一种先减小后增大的“U”形趋势,即存在一个使接触面温度最低的最佳接触压力。
从图15可以看出,在无倾角状态时,最佳压力值在70 N附近;随着倾角不断增大,线段的最低点不断右移,到倾角2°时最佳压力点已经增大到75 N,倾角3°则在80 N附近,倾角4°曲线一直向下倾斜说明最佳压力大于90 N;即最佳压力值随着倾角的增大往70 N右侧移动,使得接触面温度最低的最佳接触压力随着倾角的增大而增大。分析其原因,在接触压力较小时接触斑点少,接触斑点的接触面积小,接触电阻大导致焦耳热多,而摩擦热较小,随着压力增大,接触电阻减小,焦耳热降低而摩擦热增大导致U形分布;而倾角角度越大,接触面积相对于无倾角状态越小,导致接触电阻越大,即倾角状态要与正常状态保持相同的接触电阻需要更大的接触压力,因此导致了倾角状态的最佳接触压力右移。
在弓网系统运行期间,滑板倾斜会使滑动摩擦副的最佳接触压力发生变化,这不仅会影响滑板的稳态运行温度,还会引起滑板的异常磨损、影响列车的受流质量。
5.2 滑板温度分布
选取一组仿真试验观察滑板温度分布情况,在速度为160 km/h,压力为70 N,电流为1 000 A,倾角为4°的条件下,绘制稳态滑板温度分布,如图16所示。
图16
图17
图18
图19
分析上述滑板温度分布的原因是电弧热、摩擦热与焦耳热共同作用的结果。倾斜状态下产生剧烈电弧且都集中在小范围接触区域内,高温聚集区域是电流密度模最密集的区域,并且是最主要接受摩擦的区域。此外,模拟倾角状态导致滑板左右运动幅值较小,铜线与滑板一直在小范围内相对摩擦,这些因素是高温聚集在小范围内的主要原因。倾角越大,滑板运动幅值越小,且伴随着更高的电弧能量,温度分布越聚集。
从上述滑板温度分布情况来看,正常状态时滑板的温度分布会更加均匀,倾斜状态时滑板中部的温度比两侧的温度提升得更高,滑板的高温区主要聚集在接触表面中心附近的较小区域内,高温区的聚集会影响滑板的散热,改变滑板的热、力、机械性能,最终会缩短滑板的使用寿命。
6 结论
本文利用COMSOL软件建立倾斜状态下的弓网系统温度场仿真模型,对倾斜状态下受电弓滑板的热电特性进行仿真研究。
(1) 仿真考虑了电弧热的作用,采用等效面积法模拟倾斜状态,利用试验结果从瞬态和稳态两方面验证了仿真模型的准确性。
(2) 通过控制变量法对不同倾角时大电流高速状态下滑板的温度特性进行了仿真计算,发现倾角是滑板温度异常升高的最主要因素。
(3) 大电流条件下滑板的温度对滑动速度的敏感度较低;滑板温升曲线呈“山脊”状分布,倾角状态初期滑板温度急剧增大,容易达到滑板内金属成分的熔点,对滑板结构造成影响。
(4) 最佳接触压力随着倾角角度的增大而增大,导致滑板异常磨损,影响滑板使用寿命。倾角状态下滑板的高温区域聚集在滑板接触表面的中央,高温聚集会缩短滑板的使用寿命。
不足之处在于大电流下滑板表面的温度可高达上千摄氏度,温度变化范围较宽,可能会影响到滑板材料的物理特性。本文在仿真计算时,暂未考虑温度大范围变化对滑板物理特性参数的影响,这可能对结果有一定影响;其次使用电流线密度来刻画倾斜可能使得仿真结果更加精确,受限于试验器材等难以实现。滑板倾斜状态下不管是温升或是温度分布情况都不利于弓网系统的正常运行,避免滑板倾斜对列车的安全稳定运行以及延长滑板的使用寿命有着积极意义。
参考文献
电弧对弓网系统接触线温度的影响
[J].
The influence of electric arc on the temperature of the contact line of the pantograph system
[J].
受电弓双滑板下的弓网电接触稳态热流分析与验证
[J].
Thermal steady-state analysis and validation with double slide electric contacts in pantograph-catenary system
[J].
Thermal analysis of sliding electrical contacts with mechanical friction in steady state conditions
[J].DOI:10.1016/j.ijthermalsci.2014.05.009 URL [本文引用: 1]
大载流高速滑动电接触表面瞬态温度分析
[J].
Transient temperature analysis of high-current-carrying high-speed sliding electrical contact surface
[J].
In situ thermal measurements of sliding contacts
[J].DOI:10.1016/j.triboint.2013.02.028 URL [本文引用: 1]
Thermal analysis of electrical contacts from pantograph-catenary system for power supply of electric vehicles
[J].DOI:10.1016/j.epsr.2012.11.009 URL [本文引用: 1]
高速弓网系统动态振动性能的仿真研究
[J].
Simulation of dynamic behavior of high-speed pantograph-catenary system
[J].
一种新的考虑接触角的弓网接触模型
[J].
New pantograph/catenary contact model considering the influence of contact angle
[J].
Research on dynamic performance and parameter optimization of the high-speed pantograph and catenary system
[C]//
电机温度场分析中三维有限元模型网格划分方法
[J].
Three-dimensional finite element model meshing method in motor temperature field analysis
[J].
基于LabVIEW的弓网接触压力在线检测研究
[J].
Research on on-line detection of pantograph-net contact pressure based on LabVIEW
[J].
基于有限元的高速弓网系统动态性能仿真研究
[J].
Simulation of high-speed pantograph-catenary system dynamic performance based on finite element model
[J].
Evolution of the electrical contact of dynamic pantograph-catenary system
[J].DOI:10.1007/s40534-016-0099-1 URL [本文引用: 1]
滑板倾斜对碳滑板/纯铜接触线高速滑动摩擦磨损性能的影响
[J].
The effect of skateboard tilt on high-speed sliding friction and wear properties of carbon skateboard/pure copper contact wire
[J].
高性能滑动电接触试验机的设计与研制
[J].
Design and development of a high-performance sliding electrical contact experimental machine
[J].
考虑温度作用的浸金属碳滑板磨损量预测方法研究
[J].
Research on the prediction method of the wear of metal-impregnated carbon sliding plate considering the effect of temperature
[J].
浸金属碳滑板/铜银合金接触线载流摩擦磨损性能的试验研究
[J].
DOI:10.3969/j.issn.0254-0150.2021.11.006
[本文引用: 1]
选取地铁刚性接触网中现役的浸金属碳滑板与铜银合金接触线为接触副,模拟地铁弓网的实际运行状况,在环-块式试验机上研究直流电流为200~400 A、法向载荷为15~40 N、滑动速度为40~120 km/h工况下浸金属碳滑板载流摩擦磨损性能。结果表明:摩擦因数随电流和滑动速度的增大而减小,随法向载荷的增大而增大;磨损量随电流和滑动速度的增大而增大,当电流较小时(如200 A),磨损量和法向载荷之间存在一个阈值,当电流较大时(如400 A),磨损量随法向载荷的增大而减小;滑板温度随电流的增大而增大,随法向载荷增大而减小,当电流较小时(如200 A),滑板温度随速度的增大而增大,当电流较大时(如400 A),滑板温度随速度的增大而减小;当电流为200~300 A时,其磨损机制主要为机械磨损,当电流为300~400 A时,其磨损机制主要为氧化磨损和电弧烧蚀。
Experimental study on current-carrying friction and wear performance of metal-impregnated carbon sliding plate/copper-silver alloy contact wire
[J].
漏电断路器电弧能量影响因素分析
[J].
Analysis of factors affecting arc energy of leakage circuit breakers
[J].
/
| 〈 |
|
〉 |
