倾斜状态下受电弓滑板温度特性仿真研究*
曾佳帅, 刘桂芬, 王智勇, 王琦

Simulation on Temperature Characteristics of Pantograph Slide in Inclined State
ZENG Jiashuai, LIU Guifen, WANG Zhiyong, WANG Qi
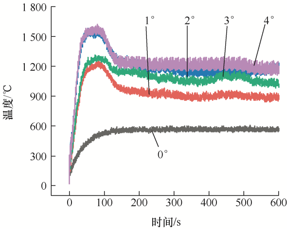
图14 不同倾角时接触面中点温升曲线图