基于温度变化率曲线的锂离子电池健康状态评估算法*
Lithium-ion Battery State of Health Assessment Algorithm Based on DT Curve
通讯作者: 江全元,男,1975年生,教授。主要研究方向为新能源并网及储能技术。E-mail:jqy@zju.edu.cn
收稿日期: 2022-06-28 修回日期: 2022-08-15
| 基金资助: |
|
Received: 2022-06-28 Revised: 2022-08-15
作者简介 About authors
党月懋,女,2000年生。主要研究方向为锂离子电池健康状态评估。E-mail:
锂离子电池技术的日益成熟为新能源发电和电动汽车等产业发展提供了重要支撑作用。锂离子电池采用有机电解液,发生故障后极易触发电池材料的放热副反应,导致电池热失控,最终可能演化成燃烧爆炸等重大事故。电池健康状态(State of health,SOH)是锂离子电池储能系统故障诊断和安全预警的重要参数,精确估计SOH是提升电池系统安全性的有效方法。提出一种基于温度变化率(DT)曲线的锂离子电池健康状态评估算法,充分提取反映电池健康状态的锂离子电池表面温度信息,以电池充电过程中的DT曲线的极大值点和两极值间的电压差作为电池SOH估计的特征量,进而搭建了基于反向传播(Back propagation,BP)神经网络的SOH估计模型。结合试验数据和仿真,测试结果最终表明,所提出的方法可有效提升锂离子电池SOH的估计精度。
关键词:
The increasing maturity of lithium-ion battery technology provides important support for the development of new energy power generation and electric vehicles. Lithium-ion battery adopts organic electrolyte, which is easy to trigger exothermic side reaction of battery material after failure, leading to thermal runaway of battery. And then it is likely to evolve into serious accidents such as combustion and explosion. State of health(SOH) is an important parameter for fault diagnosis and safety warning of lithium battery energy storage system. Accurate estimation of SOH is an effective way to improve system safety. Therefore, a temperature differential curve(DT curve) based lithium-ion battery health status assessment algorithm is proposed to fully extract the temperature information that is highly correlated with the battery health status on the surface of lithium-ion battery. The maximum point of DT curve and the voltage difference between the two extreme values in the battery charging process are taken as the characteristic quantity of SOH estimation. The SOH estimation model based on back propagation(BP) neural network is built. The test results of experiments and simulations finally show that the proposed method can effectively improve the SOH estimation accuracy of lithium-ion batteries.
Keywords:
本文引用格式
党月懋, 张雪纯, 徐楚奕, 江全元.
DANG Yuemao, ZHANG Xuechun, XU Chuyi, JIANG Quanyuan.
1 引言
随着新能源技术的高速发展,我国对绿色新能源和环境保护愈发关注,锂离子电池也在这股浪潮中迎来了发展的春天,尤其是在新能源汽车领域,以锂离子电池为动力来源的电动车正在逐步取代传统的燃油车。其中最核心的一个环节就是电池管理系统(Battery management system,BMS),而SOH的精确估计是BMS功能的重要依据之一。SOH作为衡量电池性能的重要因素,科研人员在锂离子电池技术的发展与应用中对其十分重视[1]。随着电池使用次数的增加、电池过充过放、电池不当使用等均可能会导致电池寿命的缩短与老化[2]。因此,对于SOH的精准监测使得技术人员可以及时对电池组的充放电策略进行调整,对老化电池单体进行维修或更换,避免锂离子电池应用过程中出现不可控的危机事件,这是电动车安全可靠使用的重要保障[3]。
SOH反映了电池当前可用最大容量,但不能直接测量,通常利用电池的电压、电流、内阻等参数之间建立映射关系来进行估算。当前锂离子电池SOH值测量方法主要分为特征法、模型法、数据驱动类方法和统计规律法。国内外许多学者开展了关于测量SOH的研究,取得了一些进展。文献[4]系统地阐述了对传统的平方根无迹卡尔曼滤波进行改进后得到一种自适应SRUKF算法,该算法通过对状态方差阵和噪声方差阵平方根的递推估算,能够得到精度更高的电池荷电状态SOC估计值,并在此基础上得到精度更高的SOH估计值。文献[5]系统地阐述了基于分数阶模型的扩展卡尔曼滤波法对SOC进行估计,并应用自适应无迹卡尔曼滤波法估计电池内阻,提出了一种锂离子电池SOC和SOH协同估计策略。
本文提出一种基于特征法和数据驱动法融合的改进估算模型,仅采用了充电过程中的电池电压和电池表面温度这两种在实际电池充电中都比较容易获取的参数,从温升-电压曲线中提取相关性高的特征值[10],以估算SOH。研究过程中采用神经网络训练得到了精确的计算模型,可以很好地估算出电池的健康状态SOH。最终生成两种改进估算模型,适用于电池在充电过程中的不同时段,以提高SOH的估算精度。通过本文所述方法可以便捷、准确地获取测试锂离子电池的健康状态,为SOH的估计提供了新思路。
2 SOH
在SOH的精准监测过程中,通常以电池容量、电池内阻以及表面温度作为衡量电池老化程度的常用指标,SOH常常表示为当前电池容量与初始电池容量的比值。SOH描述的是当前电池状态相对于电池出厂状态的老化程度。随着电池的老化,电池性能逐渐恶化,主要表现为电池容量的衰减和电池内阻的增大。因此,常用电池容量和电池内阻作为电池SOH的计算指标。根据IEEE 1188-1996标准,当SOH下降到0.8时,即当前电池最大容量下降至初始电池最大容量的80%时,应当更换电池[11]。
分别从容量和内阻的角度来定义SOH[12]
式中,Ct和C0分别表示电池满电状态最大容量和电池的标称容量;Rt、Rend和R0分别表示电池的当前满电状态的内阻、达到使用寿命时满电状态内阻和出厂时的标称电阻。本文基于式(1),从容量的角度进行锂离子电池SOH的计算。在式(1)的定义下,由于C0保持不变,SOH与锂离子电池满电状态最大容量Ct的变化关系一致。
本文利用牛津大学电池退化数据集[13]进行估算模型的搭建。该数据集中包含8个小型锂离子电池的电池老化数据,包含电流、电压、时间和温度信息。这些电池都在40 ℃的热室中进行了测试。采用恒流恒压充电模式,每100个充放电周期进行一次特征量测量。本文采用电流和时间信息以及式(1)得到SOH,并以此作为BP神经网络估算模型的输出量。
3 特征提取
3.1 DT曲线
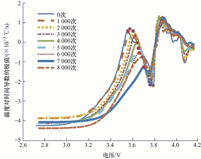
DT曲线以电压为横坐标,两次采样间温度变化率为纵坐标,可以有效反映电池的健康状态,同一个电池在不同健康状态下的DT曲线如图1所示。曲线分别为该电池在已经循环充放电0次、1 000次、2 000次等至8 000次后,再进行单次充电时的DT曲线。
图1
其中,温度变化率DT通过有限差分的方法求取,即[14]
3.2 健康状态特征量提取
由图1可知,随电压升高,电池的温度变化率DT首先呈单调增趋势,到达某一极大值后开始下降,直到降到某一极小值后开始回升,之后保持在较高水平。
因此,本文分别以极大值Tmax、极小值Tmin和两极值之间的电压差dV为特征量,分析其与SOH之间的相关性,如图2所示,横坐标为充放电次数(单位:百次),纵坐标分别为三个特征量。
图2
可以看出,三个特征量与SOH均有一定的相关性,为进一步定量判断相关性强弱,采用corrcoef函数进行相关性的分析。该函数基于Pearson相关系数的定义,用于计算两个随机变量的相关系数,从而度量其线性相关性。如果每个变量具有N个标量观测值,则Pearson相关系数定义为
式中,
由此得到三个特征量与SOH的相关系数如表1所示。可以看出,温度变化极大值Tmax以及两极值之间的电压差dV与SOH均呈现了较强的相关性,可以作为特征量用于SOH的估算。因此本文采用温度变化极大值Tmax以及两极值之间的电压差dV作为BP神经网络估算模型的输入量。
4 BP神经网络
4.1 算法原理
在拟合问题中,往往需要在一组数值输入和一组数值目标之间建立可靠的映射关系。神经网络拟合算法就是一种用于建立这种映射关系的算法。神经网络算法具有通过样本进行学习的能力,是一种受生物神经元启发的数据处理模型。神经网络非常适合具有大量输入的非线性数据集,可以使用任意数量的输入和层数,并行执行工作。
由于SOH在实际应用中难以直接测量,采用神经网络的方法则无需考虑锂离子电池内部电化学反映的老化机理带来的复杂影响,只需通过电池多次充放电的老化过程中所获得的相关数据,通过机器学习的方法建立输入量与输出量的非线性映射关系,具有估算精度高、泛化能力强的优势。
图3
神经网络中每个连接都具有与之关联的权重。在学习阶段,网络通过调整权重进行学习。神经网络分为前馈和反馈神经网络。前馈神经网络是非递归网络,该层中的神经元仅与下一层中的神经元相连,并且它们不形成循环。在前馈中,信号仅在一个方向上流向输出层,误差正向传播。反馈神经网络包含循环,在网络中引入环路,误差反向传播。反馈周期会导致网络行为根据其输入发生变化,信号可以双向传播。
神经网络训练利用大量数据确定相连神经元之间的权重。对于一次训练结果,得到该结果与期望值之间的误差,将其反向传递,以修正初始神经元之间的权重。
4.2 SOH估算模型搭建和训练
本文使用的是一个包含一层隐藏层神经元和一层线性输出神经元的双层前馈网络。隐藏层与非线性有关。若输入与输出之间是线性的关系,则不需要隐藏层。输入层中神经元的个数与输入变量数一致,同理,输出层中神经元个数也和输出变量数一致。BP神经网络比较关键的部分就是确定好合适的隐藏层层数和其每层神经元数目。
由于隐藏层层数为1时,就可以拟合任何包含从一个有限空间到另一个有限空间的连续映射函数,因此本文使用一层隐藏层的神经网络足以较为精确地搭建模型,无需使用过多层数,否则会增加训练难度,使模型难以收敛。确定隐藏层中神经元个数是本试验的重点。
在隐藏层中使用太少的神经元将导致欠拟合,相反,使用过多的神经元会导致过拟合。两者都难以达到合适的训练效果,如图4所示。
图4
通常用经验公式来确定初步的隐藏层神经元数Nh
式中,Ns是训练集的样本数(样本数的70%);α 任意取值,通常取值2~10。再通过不断试验,根据试验结果确定最理想的隐藏层神经元数Nh。
使用Matlab神经网络拟合应用程序可以创建可视化的两层前馈网络进行训练,该程序可以将用户所提供的数据集进行划分,分为训练集、验证集和测试集。文本采用训练集70%,验证集15%和测试集15%。如上文所述,采用温度变化极大值Tmax以及两极值之间的电压差dV作为输入量,以SOH作为输出量,进行BP神经网络估算模型的训练。定义网络体系结构之后,进行网络训练[16]。
训练完成后,使用均方误差和回归分析进行评估。利用可视化工具(如回归拟合或误差直方图等)进一步分析结果。若测试结果不佳,使用修改的设置或更大的数据集重新训练网络。最终,将最优结果的函数导出进行应用。SOH训练模型如图5所示。
图5
5 结果分析
5.1 训练结果
图6
表2 模型误差分析数据
| 误差分析 | 相关系数 | 均方误差/×10-4 |
|---|---|---|
| 训练集 | 0.951 | 5.284 4 |
| 验证集 | 0.958 24 | 4.367 57 |
| 测试集 | 0.949 87 | 6.642 55 |
| 全部 | 0.950 99 | — |
5.2 模型效果分析
图7
5.3 模型的仿真数据验证
前文中使用牛津大学电池退化数据集搭建了估算模型,在电池的恒流充电过程中,将DT曲线的极大值Tmax以及极大值和极小值之间的电压差dV作为输入量,以电池的SOH作为输出量,进行了BP神经网络估算模型的训练,用BP神经网络获得的算法对试验数据进行计算,结果表明该算法可以较好地通过输入量Tmax和dV来进行对SOH的估算。
为了验证与牛津大学电池退化数据集所用电池相同体系的电池在同样的倍率充电时,DT曲线是否也存在和使用数据集中数据绘制的DT曲线类似的特征,本文使用COMSOL Multiphysics软件对电池充放电过程中的温度变化进行了仿真。
COMSOL Multiphysics是一款用途广泛且功能强大的多物理场仿真软件,主要包括电磁学、结构力学&声学、流体传动&传热和化工等模块。流体传动&传热模块包含固体传热的物理场,化工模块包含锂离子电池的物理场,使用这两个物理场可以对锂离子电池的发热进行仿真。
仿真模型的建立过程如下:首先在物理场树中选择锂离子电池和固体传热,在研究树中选中带初始化的瞬态。然后建立一个宽65 mm,高21.3 mm,长140 mm的锂离子电池几何模型,选择正极材料为钴酸锂,负极材料为石墨,设置锂离子电池物理场参数,同时指定锂离子电池物理场中的电极、隔膜等对应的材料和尺寸参数。再设置固体传热物理场的参数,包括电化学热、热传导和热辐射等。建立的电池模型如图8所示。在仿真过程中,锂离子电池的充放电电流均被设置为13 A(电池容量为13 A·h),充电截止电压设置为3.9 V,放电截止电压设置为2.6 V,一共进行了5 000轮充放电,第1 000、2 000、3 000、4 000、5 000轮充电时的DT仿真曲线如图9a所示。
图8
图9
在电池的恒流充电过程中,随着电压升高,电池的温度变化率DT首先呈单调增趋势,到达极大值后开始下降,直到降到极小值后开始回升,之后保持在较高水平,此趋势与试验数据中的趋势相同。
表3 模型误差分析数据
| 误差分析 | 相关系数 | 均方误差/×10-4 |
|---|---|---|
| 训练集 | 0.958 3 | 5.257 77 |
| 验证集 | 0.962 1 | 4.300 87 |
| 测试集 | 0.949 8 | 5.966 16 |
| 全部 | 0.956 5 | — |
6 结论
本文中提出了一种基于电池表面温度的SOH估算方法,可总结如下。
(1) 首先通过对电压与电池温度变化率的关联曲线进行SOH特征值提取,选取了极大值、极小值和两极值之间的电压差为特征量,作为分析其与SOH之间相关性的依据。
(2) 以特征值作为BP神经网络的输入,建立SOH估算模型。根据牛津数据集的多组电池数据及对神经网络进行训练、验证,可以看到所提方法具有一定的稳定性与鲁棒性。
(3) 最后,使用相同体系的电池模型,在仿真平台中进行了重复试验,并使用本文方法对曲线中相同的特征值和SOH进行训练和验证,证明了本文方法的普遍性。
参考文献
Battery management system:An overview of its application in the smart grid and electric vehicles
[J].
State-of-health monitoring of lithium-ion batteries in electric vehicles by on-board internal resistance estimation
[J].DOI:10.1016/j.jpowsour.2010.08.035 URL [本文引用: 1]
Modified strong tracking filter for the SOC estimation of lithium battery in electric vehicle
[J].
基于自适应平方根无迹卡尔曼滤波算法的锂离子电池SOC和SOH估计
[J].
State of charge and state of health estimation of Li-ion batteries based on adaptive square-root unscented Kalman filters
[J].
基于分数阶模型的锂离子电池SOC与SOH协同估计
[J].
Collaborative estimation of SOC and SOH of Li-ion battery based on fractional order model
[J].
基于联合算法的锂电池SOC与SOH协同在线预测
[J].
On-line prediction of lithium battery SOC and SOH based on joint algorithms
[J].
基于AEKPF算法对锂离子电池SOC与SOH的联合估计
[J].
Joint estimation of SOC and SOH for Li-ion battery based on AEKPF algorithm
[J].
基于IMDEKF的SoC-SoH联合估计
[J].
SoC-SoH joint estimation based on IMDEKF
[J].
老化对不同能量密度锂电池产热的影响
[J].
Effect of ageing on heat generation of lithium-ion batteries with different energy density
[J].
基于DTV-IGPR模型的锂离子电池SOH估计方法
[J].
SOH estimation method for lithium-ion batteries based on DTV-IGPR model
[J].
Remaining useful life prediction and state of health diagnosis for lithium-ion batteries using particle filter and support vector regression
[J].DOI:10.1109/TIE.2017.2782224 URL [本文引用: 1]
基于卷积神经网络的锂离子电池SOH估算
[J].
An approach to lithium-ion battery SOH estimation based on convolutional neural network
[J].
State-of-health estimation based on differential temperature for lithium ion batteries
[J].DOI:10.1109/TPEL.2020.2978493 URL [本文引用: 1]
不同环境温度下的锂离子电池SOC估计
[J].
Estimation of SOC of Li-ion battery under different ambient temperature
[J].
基于LSTM的锂电池储能装置SOC与SOH联合预测
[J].
Joint prediction of state of charge and state of health based on LSTM for lithium-ion batteries
[J].
基于锂离子电池热特性的SOH在线诊断模型研究
[J].
On-line diagnosis model of SOH based on thermal characteristics of lithium-ion battery
[J].
/
| 〈 |
|
〉 |
