基于温度变化率曲线的锂离子电池健康状态评估算法*
党月懋, 张雪纯, 徐楚奕, 江全元

Lithium-ion Battery State of Health Assessment Algorithm Based on DT Curve
DANG Yuemao, ZHANG Xuechun, XU Chuyi, JIANG Quanyuan
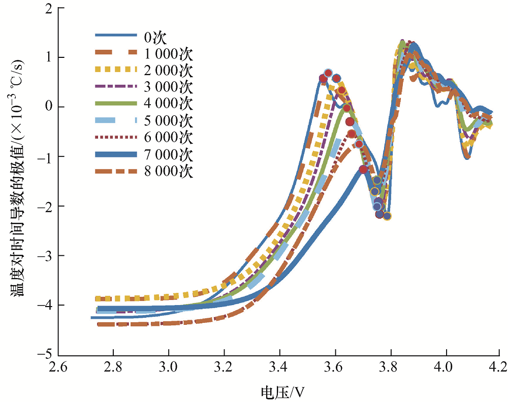
图1 不同健康状态下同一电池的DT曲线