循环使用与储存条件对石墨/LiCoO2电池寿命的影响分析*
Effect Analysis of Recycling and Storage Conditions on Graphite/LiCoO2 Battery Life
通讯作者: 苟斌,男,1988年生,博士,副教授,硕士研究生导师。主要研究方向为电力牵引系统故障诊断与健康管理技术,储能系统能量与健康管理技术。E-mail:bingo57350@126.com
收稿日期: 2022-02-28 修回日期: 2022-05-20
| 基金资助: |
|
Received: 2022-02-28 Revised: 2022-05-20
作者简介 About authors
张博钊,男,1996年生,硕士研究生。主要研究方向为储能系统能量与健康管理技术。E-mail:
徐燕璋,男,1998年生,硕士研究生。主要研究方向为储能系统能量与健康管理技术。E-mail:
锂离子电池被广泛应用于能量储存,电池老化的影响在整个使用寿命中限制了其性能。一方面通过分析石墨/LiCoO2电池在不同荷电状态(State of charge, SOC)范围采取循环试验的数据,量化了平均SOC和SOC的变化(∆SOC)对锂离子电池可用容量衰减的影响,并建立循环老化模型;另一方面,通过分析石墨/LiCoO2电池不同SOC储存状态和不同储存温度寿命试验数据,揭示了储存条件变化对锂电池健康状态衰退过程的影响规律,并建立日历老化模型。分析结果可以应用于电池实际循环使用和静置储存优化设置。
关键词:
Lithium-ion batteries are used for energy storage in a wide array of applications, and the effects of battery ageing limit their performance and occur throughout their whole life. On the one hand, the influence of the average SOC and SOC changes(∆SOC) on the available capacity decay of lithium-ion batteries is quantified by analyzing the data of the graphite/LiCoO2 batteries in different state of charge(SOC) ranges, and a cycle aging model is established. On the other hand, by analyzing the test data of different SOC storage states and different storage temperature life of graphite/LiCoO2 batteries, the influence of storage condition changes on the decay process of lithium battery state of health is revealed, and a calendar aging model is established. The analysis results can be applied to the actual battery cycle use and static storage optimization settings.
Keywords:
本文引用格式
张博钊, 苟斌, 徐燕璋.
ZHANG Bozhao, GOU Bin, XU Yanzhang.
1 引言
作为一个复杂的系统,正常工作状态下,LIB主要依靠锂离子在正极和负极之间移动来工作,即Li+在两个电极之间往返嵌入和脱嵌。充电时,Li+从正极脱嵌,经过电解质嵌入负极,负极处于富锂状态;放电时则相反[3]。然而,电池在经历不断循环充放电使用过程后,一方面电池的电极上会不断发生副反应,例如碳阳极表面存在固体电解质界面(Surface electrolyte interface,SEI)的形成,从而造成电池内部可循环锂损失,另一方面电池内部的活性材料也会不断损失[4⇓⇓-7];同时,在电池静置储存时,低温情况下电荷传递速率和锂离子扩散速率会下降;高温环境下,电池内部副反应速率会增加并伴随着电解液的分解[8-9]。上述一系列的化学反应,使得LIB逐渐失去了储能能力,其寿命产生不可逆的恶性后果,性能随之恶化,导致电池出现可靠性和安全性问题。因此,对于LIB寿命衰减规律的研究显得尤为重要。
电池寿命衰减主要分为两种,一种是由于电池在使用过程中连续充放电循环引起的循环老化,另一种是电池在静置储存时,即使未经使用也存在的日历老化[10-11],通过对这两种老化模式机理的研究,能更好地对LIB的健康状态进行估计和预测。近年来,针对循环老化、荷电状态(State of charge,SOC)对LIB寿命的影响得到了大量研究。文献[12]在对LiAl0.10Ni0.76Co0.14O2(NCA)阴极/石墨模型圆柱形电池的研究中发现,剩余容量与SOC的变化(∆SOC)有关,将电压范围从2.5~4.2 V(0%~100% SOC)降至3.48~4.05 V(30%~90% SOC)进行循环试验,电池容量损耗率也会显著降低。文献[13]针对Li(NiMnCo)O2电池,分析了循环深度、平均SOC(Mean SOC,MSOC)对循环老化失效过程的影响。随着循环放电深度(∆SOC)的增加,电池老化速率几乎呈线性增加。对于给定的周期深度,在周期约50%的MSOC里老化情况具有最优值。若要将这种相关性推广到其他电池,需要进一步的研究。文献[14]研究了∆SOC、温度和放电速率对石墨/ LiNi1/3Co1/3Mn1/3+ LiMn2O4电池循环寿命的影响。研究发现,尽管在较高的∆SOC下容量损失会增加,但温度对容量衰减有更显著的影响。而对于日历老化而言,诸多研究表明高SOC存储状态和高温是导致日历老化的主要原因[7]。文献[15]研究了石墨/ LiFePO4电池分别在25 ℃和45 ℃温度下循环充放电和储存一年情况下的老化过程。研究结果发现,在相同的循环条件下,45 ℃下储存的电池,其老化情况(即容量损失)是25 ℃下储存的电池容量损失的4倍。文献[16]研究了石墨/LiFePO4电池在不同温度(30 ℃、45 ℃和60 ℃)和标称荷电状态(SOC=30%、65%和100%)下的老化规律。研究结果表明容量损失的程度与储存温度具有直接关系,储存温度更大的电池,其容量衰减也更大。同时发现储存SOC增加也会造成容量损失加快,然而与储存温度相比,储存SOC为次要因素。并且发现在T=60 ℃,SOC=100%条件下,这种电池老化效应最为显著。
从以上研究中可以看出,有关SOC和温度对锂离子电池老化的影响存在一定的结论。对于循环老化,电池老化会随着∆SOC 增加而相应地加快,其容量损失率也会显著增加;对于日历老化,较高温度下储存的电池,其容量损失也会更大。
然而,现有研究极少分析MSOC和∆SOC在循环老化过程中各自的影响效果大小,以及SOC储存状态和储存温度在日历老化中的共同影响效果。本文分析了针对石墨/LiCoO2电池在循环充放电和静置储存两种情况下的健康状态衰退规律,同时根据老化规律分析结果建立了多控制量的容量衰减模型,为锂电池的优化运行与管理应用提供更多理论依据和数据支撑。一方面,通过分析循环充放电试验数据,给出了在不同SOC范围(0%~100%、20%~80%、40%~60%、40%~100%、0%~60%)下,石墨/LiCoO2电池进行试验后的容量损失结果,分别分析了MSOC和∆SOC各自对石墨/LiCoO2电池容量损失的影响,得到了电池容量衰减相对较慢的SOC范围,确定了SOC范围变化在石墨/LiCoO2电池循环老化中的影响。同时,通过对不同MSOC和∆SOC下容量衰减曲线对比分析,得到了不同循环次数内,两者所产生影响大小不同。基于上述分析结果,建立等效全循环次数、MSOC和∆SOC共同影响的循环老化模型;另一方面,通过对储存试验数据分析,分别分析了电池在同一温度下以不同SOC值(0%、50%、100%)储存的试验数据,以及以同一SOC值在不同温度(-40 ℃、-5 ℃、25 ℃、50 ℃)下储存的试验数据,得到了不同储存条件对电池寿命的影响结果,确定了SOC储存状态和环境温度变化对石墨/LiCoO2电池日历老化的影响。此外,根据储存试验样本数据,建立储存时间、储存SOC值和储存温度共同影响的日历老化模型。文章分析结果可以应用于该类型电池的实际使用当中,达到延长电池日常的使用和储存寿命的目的。
2 试验数据分析
2.1 试验样本
本文中所使用的数据集来自马里兰大学的先进生命周期工程中心(Center for Advanced Life Cycle Engineering,CALCE)[17]。其中的各项数据是通过对额定容量为1.5 A·h和额定电压为3.7 V的石墨/ LiCoO2袋状电池分别进行循环充放电试验和静置储存试验所得到的。同时,根据制造商的规定,该电池的充电截止电压为4.2 V,放电截止电压为2.75 V。因此,在分析过程中,将该数据集里电池容量1.5 A·h视为100%SOC,电池容量0 A·h视为0%SOC。不同的电池容量对应不同的SOC值,例如:电池在0.3~1.2 A·h之间循环时即可视循环范围为20%SOC~80%SOC。
2.1.1 循环充放电试验样本
数据集主要由10个石墨/LiCoO2电池的试验数据组成。通过在0%~100%之间选取不同的SOC范围,获得不同的MSOC和∆SOC值,分别进行不同SOC范围循环充放电试验。通过对这些数据分析可以了解电池在全SOC范围内不同区域的退化行为。表1为该数据集中所包含的每种MSOC和∆SOC下的电池数量分布情况。
表1 循环数据样本分布
| SOC范围(%) | MSOC(%) | ∆SOC(%) | 电池数量 |
|---|---|---|---|
| 0~100 | 50 | 100 | 2 |
| 20~80 | 50 | 60 | 2 |
| 40~60 | 50 | 20 | 2 |
| 40~100 | 70 | 60 | 2 |
| 0~60 | 30 | 60 | 2 |
2.1.2 储存试验样本
数据集由48个具有三种不同SOC值(0%SOC、50%SOC和100%SOC)的石墨/LiCoO2电池分别处在四种不同温度(-40 ℃、-5 ℃、25 ℃以及50 ℃)下的测试数据组成。每次的寿命测试试验之间相隔时间约为3周。48个电池开始前已分别编号,在四种温度下分别储存12个电池,而在每种温度下储存的12个电池,其中4个电池储存在0%SOC下,4个电池储存在50%SOC下,4个电池储存在100%SOC下。通过分析不同条件下储存电池的试验数据,可以了解SOC和温度的变化对电池寿命的影响。表2为该数据集中所包含的每种温度和SOC下的电池数量分布情况。
2.2 试验流程
对于数据集中的每个电池,为确定电池的初始放电容量,对每个电池均进行同样的初始特性测试,测试内容包括恒流恒压(Constant current constant voltage,CCCV)充电和恒流全放电(4.2~2.75 V),且速率均为C/2(0.75 A)。
2.2.1 循环试验流程
每个电池均已经过初始特性测试,在之后的循环测试数据中,电池最初通过CCCV曲线以C/2速率充电至100%SOC。在达到100%SOC后,电池使用恒定的C/2电流放电,直到它们达到分配的SOC范围的下限(比如40%~60%范围的40%),之后开始部分SOC范围内的循环。循环充放电过程中,始终保持恒流充电(C/2)和恒流放电(C/2)施加于电池上,以保证电池在所需的SOC上限和下限之间循环(即40%~60%)。同时,在每次充电和放电之后,电池经历30 min的静置时间,消除电池浓差极化,恢复平衡电位,延长电池的使用寿命[18]。
由于在部分SOC范围内进行充放电的电池未经历完整的循环周期,因此无法正确定义它们的周期数。本文采用等效全循环(Equivalent full cycle, EFC)评估电池的周期寿命性能,即对于部分充放电循环的电池周期数,以完整SOC范围(0%~100%)为标准,将部分∆SOC累加,之后计为一次等效全周期,以此达到周期数折算的目的。例如,连续5个∆SOC为20%(40%~60%)的电池充放电循环周期累加,即可等效为电池经历一个完整SOC范围(0%~100%)的充放电全循环周期。同时每隔50或100次EFC后,用累积的实际放电容量(A·h)除以电池的初始放电容量,将商值以百分制形式表示,得到的最终结果值用来表示电池此时的健康状态(State of health,SOH),将其定义为标准放电容量(Normalized discharge capacity,NDC)。值得注意的是,数据集所提供的0%~60% SOC范围内的试验数据存在部分缺失,因此,对数据集的研究过程中,对该缺失部分并没有删除,而是进行一定的保留和处理,以确保分析结果更加真实可靠。
2.2.2 储存试验流程
每个电池均已经过初始特性测试。之后每3周对这48个电池进行一次容量测试得到相应的电池数据集,该容量测试均采用相同的标准充放电协议,并且经历相同的充电曲线。其中,标准充电协议主要包括两个充电步骤:恒流充电和恒压充电[19]。其中恒流充电速率为C/2,即在每个周期里,电池首先以恒流形式充电,直到电压达到截止电压(4.2 V)为止之后,使电池的端电压尽可能维持在截止电压左右,直到充电电流逐渐降至为截止电流(0.015 A)以下。同样经过一定的休息时间之后,再以C/2的恒流速率放电,直到电池电压降至放电截止电压(2.75 V)左右。最后,通过使用相同的CCCV曲线对电池完全充电后,再计算最大容量一半的累积容量,将电池放电至所需的SOC(如50%SOC),记录整个试验过程中电池相关的试验数据。整个试验流程结束后,将电池储存在相应的温度室中保存。大约3周之后,将电池取出,再次进行与上述相同的容量测试,并记录相关数据。
3 结果讨论和分析
3.1 循环老化结果
图1
图2
图3
图4
3.1.1 不同放电深度(∆SOC)
通过分析∆SOC对电池容量衰减过程的影响规律,可以得到在循环使用过程中对电池损害较小的最佳SOC工作范围。
从图1可以明显看出,在前350次EFC内,40%~60%范围内循环的电池比在其他两个范围内循环的电池具有更慢的衰减速率。20%~80%范围内循环电池的性能低于40%~60%范围约1%,同时在大约500次的EFC内,与0%~100%范围循环电池相重叠。考虑到可能是由于数据集中每种条件下的样本数量限制为两个电池,因此会造成这两个范围之间的差异较小。然而,通过分析发现,大约800次EFC之后,20%~80%的电池在容量保持方面,比0%~100%的电池高约8%。在超过500次EFC之后,0%~100%范围的容量损失曲线比20%~80%范围的容量损失曲线具有更快的下降速度,这表明0%~100%范围的容量退化速度更快。在500次EFC之后,在0%~100%范围内循环的电池的容量损失率突然大幅度增加,这表明电池内部一种新的降解机制可能被激活。
因此,从上述的结果分析可以得出,∆SOC 对电池容量退化具有一定的影响:随着∆SOC 逐渐降低,电池容量衰减速率也随之降低,电池将拥有更好的容量保持功能。
3.1.2 不同MSOC
MSOC对电池容量衰减同样会产生一定影响,在电池循环使用过程中,不仅需要考虑∆SOC,同时也要考虑MSOC所产生的影响。
图2是在C/2放电速率下,0%~60%、20%~80%和40%~100%三个周期范围内的电池容量衰减曲线,通过固定∆SOC值为60%,使MSOC不断变化,分别为30%、50%和70%。从图2中可以很明显看出,在0%~60%时循环的电池在容量保持方面比其他循环范围的电池性能更加良好。即使在500次EFC后,0%~60%范围内的容量保持率也在96%之上,其次为20%~80%,而40%~100%最差。从图像中分析,在0%~60%范围内没有其他SOC范围内存在的降解机制,可能由于本身存在一种不同的降解机制,使其降解速率非常缓慢。20%~80%范围内循环电池与40%~100%范围内循环电池,在大约前200次EFC中两者图像相重叠。同样推测可能是由于数据集中同等条件下样本数量较少,不同范围内结果差异不明显。然而,从之后的衰减趋势看,在约600次EFC时,20%~80%范围内循环电池的性能依然高于40%~100%范围约2%,说明20%~80%范围内循环电池相比较40%~100%范围内循环电池性能更优。
从上述的结果分析可知,随着MSOC降低,电池容量衰减速率也随之降低,MSOC对电池容量劣化也有一定的影响。
3.1.3 对比分析
图3a和图3b分别表示在保持SOC上限在60%和100%不变的情况下,改变SOC下限之后产生的效果。如图3a所示,在固定的SOC上限为60%时,将下限从0%增加到40%会导致电池的容量损失速率增加,电池在同样EFC内最终的容量保持效果也随之变差。同样,在图3b中,固定的SOC上限为100%的大约500次EFC内,也具有此种类似的结果。这些观察结果与第3.1.1节中所讨论的结果正好相反,因为将SOC下限从0%增加到40%,会导致∆SOC的降低。因此,根据第3.1.1节的分析结果,对于SOC下限为40%的电池,相较于SOC下限为0%的电池,其容量衰减应该更低。然而,通过进一步研究数据发现,固定的SOC上限为60%和100%时,将其下限从0%增加到40%,此时的MSOC值也分别从30%增加到50%以及从50%增加到70%。通过上述分析,结果表明,与∆SOC相比,MSOC在循环过程中对电池容量退化有着更加重大的影响。同时从图3b中发现,在大约500次EFC之后,此时的∆SOC似乎发挥着主要作用,因此,在40%~100%循环范围内的电池与在0%~100%循环范围内的电池相比,前者容量损失减少了。
考虑到该数据集中的试验数据需要通过一定的测试设备完成电池相应的循环过程,而每天的测试设备之间也会存在一定的休息时间,在设备休息的过程中,电池会发生一定的日历老化现象,这同样可能是影响电池容量测量变化的一个因素。然而,试验数据集是在室温条件下得到的,此时电池隔天的静置时间较短,这并不是影响电池长期降解的主要因素,因此分析过程中并没有对其讨论。
通过上述分析,在石墨/LiCoO2电池循环使用过程中,MSOC有着更高的影响效力,但在使用次数达到一定值时,∆SOC影响力可能更大。
3.1.4 循环老化模型
基于锂离子电池在不同MSOC和∆SOC条件下的循环使用分析结果,文章建立了石墨/LiCoO2电池的循环老化模型,以下简称为模型。在保证温度和放电速率恒定的情况下,模型考虑了三个影响参数:EFC、MSOC和∆SOC,以此模拟电池在循环使用期间产生的衰减容量Cd (%),如式(1)所示。通过从满容量(100%)中减去所得Cd,即可得到NDC(%),如式(2)所示。
对于所有SOC范围,由于40%~60% SOC范围内的数据个数仅存有400次EFC以下,若在其他SOC范围内选取过多的EFC数据,将会使最终模型参数偏向于其他SOC范围。其次,在约400次EFC时,0%~100%SOC范围内的容量损失率突然大幅增加,此时所具有的不同降解机制也会形成不同的衰减模型。因此,本文所建立的模型仅使用了前400次EFC的容量损失数据。
本文采用幂律方程来描述EFC和NDC之间的关系。
表3 不同∆SOC、MSOC的k、a参数分布
| SOC范围(%) | ∆SOC(%) | MSOC(%) | k | a | R2 |
|---|---|---|---|---|---|
| 0~100 | 100 | 50 | 3.098 | 0.539 3 | 0.969 3 |
| 20~80 | 60 | 50 | 4.125 | 0.365 1 | 0.969 5 |
| 40~100 | 60 | 70 | 5.156 | 0.458 3 | 0.993 5 |
| 0~60 | 60 | 30 | 0.065 03 | 2.45 | 0.839 3 |
| 40~60 | 20 | 50 | 2.7 | 0.498 5 | 0.938 9 |
式中,yi为实际值;fi为估算的yi值;
对于得到的所有SOC范围的k值,通过式(5)、(6)对除0%~60%SOC范围外的k值拟合,其拟合结果如图5所示,即可得到式(5)、(6)中各项参数值,从而可以推导得出循环老化模型式(7)。
图5
图6
由于0%~60%SOC范围特别的衰减趋势使得其容量损失最小,造成该模型对于低MSOC范围也无法准确拟合,在之后的研究中,需要对此范围进行更多探索,将该模型扩展到所有SOC范围。同时,该模型仅适用于静态SOC范围循环条件,即电池在几乎恒定的SOC范围内循环,而在实际使用中,锂离子电池并不总是工作于固定SOC范围,更多处于动态SOC范围循环中,因此,未来将进一步研究可应用于动态SOC范围循环的模型,使该模型更接近实际应用情况。
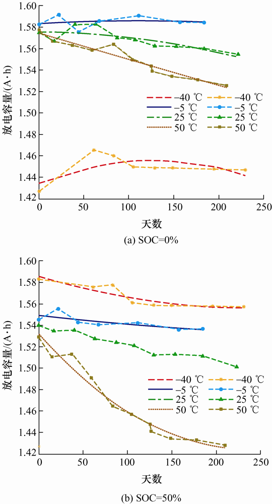
3.2 日历老化结果
48个电池经过不同储存条件储存后进行容量测试得到数据集,将得到的电池数据集中的电池放电容量提取,通过最小二乘法二项式拟合即可得到电池放电容量随时间变化的衰减曲线,如图5~8所示。所提取的电池放电容量数据点在图中以虚线连接表示,衰减拟合曲线以其他不同线型表示,以便在电池容量衰减趋势相近时更好判别电池在不同条件下容量衰减趋势大小。图中所呈现的每个电池衰减结果,均是通过计算机在同一储存条件下的4个电池当中,随机选取一个所产生的,由于在同一储存条件下的4个电池具有相似的衰减趋势,因此分析结果具有一定的泛化性。其中,以100%SOC值储存在50 ℃温度下的电池所进行的试验次数有限,大约仅为其他所处条件下电池试验次数的一半,但是其总体衰减趋势明显,因此对后续的结果分析影响较小。
3.2.1 不同SOC储存
一些领域的电池其寿命大部分时间是在静置中度过的,比如一辆私人汽车95%的寿命都是在停车模式下度过[21],分析锂离子电池以不同SOC值储存的容量衰减规律,能够确定在静置过程中,SOC对电池老化的影响情况。图7和图8为电池容量衰减曲线,在储存温度分别为-40 ℃、-5 ℃、25 ℃以及50 ℃条件下,通过固定储存温度,使SOC值变化,分别为0%、50%、100%。图中给出的每个结果,是数据集中处于同一温度同一SOC值储存条件下的4个电池,进行随机选取所得到的。从图7中可以明显看出,当储存温度固定时,随着储存SOC值的变化,电池容量衰减速率也随之发生了明显变化。在同一温度下,以100%SOC值储存的电池容量衰减速率最大,以50%SOC值储存的电池次之,最后是以0%SOC值储存的电池。其中,在低温(-40 ℃、-5 ℃)环境下以0%SOC值储存的电池,容量保持效果良好,经过约200天的静置时间后,其容量并没有发生大幅度变化,而分别以50%和100%SOC值储存的电池,其容量都有一定的损失;在常温(25 ℃)环境下的容量保持方面,0%SOC值储存的电池性能约高于50%SOC值储存的电池1%,同时,50%SOC值储存的电池性能约高于100%SOC值储存的电池1%;在高温(50 ℃)环境下以100%SOC值储存的电池,其容量在经过约100天的时间后已经下降了约20%,在图中所呈现的容量损失曲线,与其他两条相比而言,其斜率也更大,损失速度也更快。
图7
图8
从上述的结果分析可以知道,电池在储存时的SOC值情况对电池容量衰减具有一定的影响,储存时的SOC值越大,其电池容量衰减速率也会越大;反之,储存时的SOC值越小,电池将拥有更好的容量保持功能。
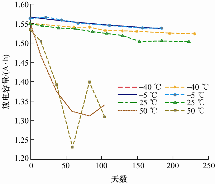
3.2.2 不同温度储存
在锂离子电池未经使用的时间里,不仅是储存的SOC值对电池的日历老化具有一定的影响,同时,锂离子电池储存时所处的环境温度也会对电池性能产生影响,通过分析电池在不同温度下储存的容量衰减规律,能够更好避免电池容量过快损失。
图9和图10为电池容量衰减曲线,在电池的储存SOC值分别位于0%、50%和100%时,通过固定储存SOC值,使储存温度变化,分别为-40 ℃、-5 ℃、25 ℃和50 ℃。图中给出的每个结果同样是数据集里同一条件下电池随机选取所得到的。从图中可以明显看出,固定储存SOC值时,降低储存温度,电池容量衰减速率也会降低。当不考虑-40 ℃环境下储存的电池容量衰减曲线时,在同一SOC值下,-5 ℃温度下储存的电池容量衰减速率最小,25 ℃下储存的电池容量衰减速率相对较大,50 ℃储存的电池容量衰减速率最大。其中,固定SOC值时,电池在-5 ℃下储存,容量保持效果最佳,即使经过约200天的静置时间后,其容量也没有发生大幅度的变化;而在50 ℃温度下储存的电池,其容量都会发生剧烈的衰减,尤其在固定SOC值为100%时,在50 ℃温度下储存的电池衰减速率最快,与第3.2.1节所讨论结果相同。对于-40 ℃,在图9和图10中,即同一SOC值结果图中,并不能准确说明位于-40 ℃温度下储存的电池容量衰减速率大于或小于其他任一温度,推测可能由于低温环境破坏了电池内部化学结构,导致其衰减规律并不能正常观测,有待后续进一步的研究和发现。
图9
图10
通过上述分析,电池所处的储存温度对电池容量衰减同样有影响。总体而言,随着储存温度下降,其电池容量衰减速率也会下降。
3.2.3 日历老化模型
通过上述两节的分析,锂离子电池在不同储存条件下,其容量衰减会有不同的效果。因此,基于不同储存SOC值和不同储存温度所产生的容量衰减结果,文章建立了石墨/LiCoO2电池的日历老化模型,以下简称为模型。在保证放电速率恒定的条件下,该模型主要由三个参数控制:储存时间t(h)、储存SOC值和储存温度T(℃)。通过该模型可以较好地模拟电池在静置储存过程中由于日历老化所产生的衰减容量Cd,如式(8)所示。将数据集中各电池初始容量减去Cd,即可得到电池此时的放电容量Ch,如式(9)所示
式中,A为频率因子;Ea为活化能(J/mol);R为摩尔气体常量(J/mol·K),取8.314 4;Tk为热力学温度(K),Tk与T的关系
B为幂律指数。本文选择Ea由储存SOC值和储存温度T决定,因此取A和B分别为固定值0.000 3和0.6。由第3.2.2节分析可知,-40 ℃温度下储存的电池拥有与其他条件下不同的衰减机制,因此,在对Ea拟合时,并未考虑-40 ℃储存条件下的容量变化数据。
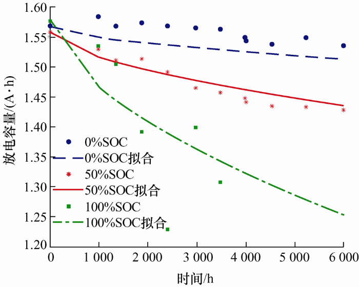
通过Matlab R2020a中曲线拟合工具箱,根据式(10)可得到不同储存SOC值和储存温度T组合下的Ea值。对于所获得的Ea值,通过式(12)、(13)对其拟合,拟合效果如图11所示。如此即可获得式(12)、(13)中变化参数值。由此,可得到日历老化模型式(14)。
图11
根据推导的模型可对不同储存状态下的电池容量衰减数据拟合。图12是50 ℃温度下储存的电池容量衰减数据以及日历老化模型拟合曲线结果图。从图中所呈现效果可知,本文所得到的模型能较好地表示电池由于日历老化而产生的容量衰减趋势。
图12
4 结论
本文对来自马里兰大学CALCE的石墨/LiCoO2电池试验数据集分析和讨论,分别分析在循环老化过程和日历老化过程当中,对电池寿命造成一定影响的部分因素,即确定了SOC范围变化在石墨/ LiCoO2电池循环老化中的影响;以及确定了电池SOC储存状态和环境温度变化对石墨/LiCoO2电池日历老化的影响。文章根据上述分析结果,最终建立了不同使用状态下的容量衰减模型。
(1) 循环老化分析结果表明,石墨/LiCoO2电池在循环运行过程中的降解受MSOC和∆SOC变化的影响。对于前500次EFC周期,MSOC相对于∆SOC而言,对电池的容量衰减拥有更加主要的影响能力。而在电池使用接近一定次数(600~800次EFC)时,∆SOC成为影响电池容量损失率的主要因素。因此,在电池的日常循环使用过程中,其MSOC和∆SOC均应被最小化,即使电池工作在低MSOC和低∆SOC内,以降低电池长期使用的容量衰减率,通过这种方式,可以在电池的使用寿命中获得更多的EFC次数或更多的累积放电容量。
(2) 日历老化分析结果表明,石墨/LiCoO2电池在静置储存过程中,电池所处的SOC和环境温度均会对电池老化产生影响。在储存过程中,应尽可能避免电池处于一种高SOC或高温的环境下,在此种环境下,很容易会使电池快速地产生不可逆的容量损失。因此,在电池未经使用时,应尽可能使电池能够保存至低温、低SOC环境下,让电池在静置条件下的老化速率减小,但同时也要避免储存温度过低,对电池内部造成永久性化学损伤。
(3) 本文所研究的试验数据集存在一定缺失,并且试验数据个数有限,只能得到对电池寿命造成影响的部分因素,有关更多对电池储能能力具有影响的因素还有待进一步的研究。文章上述分析结果可以应用于石墨/LiCoO2类型电池的实际使用与保存当中,能够达到延长电池寿命的目的,使电池在有限寿命内被充分利用。分析结果还有助于进一步确定降解速率较慢的SOC范围,帮助寻找电池运行和储存的最佳SOC和温度。同时,所建立的电池容量衰减模型适用于电池在恒定的状态下运行和储存的情况,未来也将着手于将本文的模型推广至锂离子电池动态运行和储存状态的情况,使模型更加贴近于现实情况。
参考文献
基于数据驱动的锂离子电池健康状态评估综述
[J].
Review of data-driven state of health estimation for lithium-ion battery
[J].
Special issue:Battery community celebration of 2019 Nobel Prize in Chemistry for the development of lithium-ion batteries
[J].DOI:10.1016/j.jpowsour.2020.228548 URL [本文引用: 1]
锂电池电解液行业标准2018年10月1日起实施
[J].
Lithium battery electrolyte industry standard has been implemented since October 1,2018
[J].
The effects of cycling on ionic and electronic conductivities of li-ion battery electrodes
[J].DOI:10.1016/j.jpowsour.2021.229636 URL [本文引用: 1]
A review on lithium-ion battery ageing mechanisms and estimations for automotive applications
[J].DOI:10.1016/j.jpowsour.2013.05.040 URL [本文引用: 1]
Effect of current on cycle aging of lithium ion batteries
[J].DOI:10.1016/j.est.2020.101310 URL [本文引用: 1]
Data-driven health estimation and lifetime prediction of lithium-ion batteries:A review
[J].DOI:10.1016/j.rser.2019.109254 URL [本文引用: 2]
A dynamic lithium-ion battery model considering the effects of temperature and capacity fading
[C/CD]//
Modeling the effects of state of charge and temperature on calendar capacity loss of nickel-manganese-cobalt lithium-ion batteries
[J].DOI:10.1016/j.est.2022.104105 URL [本文引用: 1]
Modeling the effects of state of charge and temperature on calendar capacity loss of nickel-manganese-cobalt lithium-ion batteries
[J].DOI:10.1016/j.est.2022.104105 URL [本文引用: 1]
Modelling lithium-ion battery ageing in electric vehicle applications—Calendar and cycling ageing combination effects
[J].DOI:10.3390/batteries6010014 URL [本文引用: 1]
Capacity fade of LiAlyNi1-x-yCoxO2 cathode for lithium-ion batteries during accelerated calendar and cycle life tests (surface analysis of LiAlyNi1-x-yCoxO2 cathode after cycle tests in restricted depth of discharge ranges)
[J].DOI:10.1016/j.jpowsour.2014.02.018 URL [本文引用: 1]
Calendar and cycle life study of Li(NiMnCo)O2-based 18650 lithium-ion batteries
[J].DOI:10.1016/j.jpowsour.2013.09.143 URL [本文引用: 1]
Degradation of lithium ion batteries employing graphite negatives and nickel-cobalt-manganese oxide+spinel manganese oxide positives:Part 1,aging mechanisms and life estimation
[J].DOI:10.1016/j.jpowsour.2014.07.030 URL [本文引用: 1]
Aging of a commercial graphite/LiFePO4 cell
[J].DOI:10.1149/1.3614529 URL [本文引用: 1]
Calendar aging of a graphite/LiFePO4 cell
[J].DOI:10.1016/j.jpowsour.2012.02.068 URL [本文引用: 1]
Remaining useful life prediction for lithium-ion battery using ensemble learning method
[C/CD]//
Influence of relaxation time on the lifetime of commercial lithium-ion cells
[J].DOI:10.1016/j.jpowsour.2013.03.053 URL [本文引用: 1]
An ensemble learning-based data-driven method for online state-of-health estimation of lithium-ion batteries
[J].DOI:10.1109/TTE.2020.3029295 URL [本文引用: 1]
基于BP神经网络的油松人工林树高模型研究
[J].
Establishment of tree height model of pinus tabuli formis plantation based on BP neural network
[J].
Calendar aging of commercial graphite/LiFePO4 cell—Predicting capacity fade under time dependent storage conditions
[J].DOI:10.1016/j.jpowsour.2013.11.098 URL [本文引用: 1]
Path dependence of lithium ion cells aging under storage conditions
[J].DOI:10.1016/j.jpowsour.2016.03.043 URL [本文引用: 1]
Quantitative validation of calendar aging models for lithium-ion batteries
[J].DOI:10.1016/j.jpowsour.2018.08.019 URL [本文引用: 1]
Calendar aging model for lithium-ion batteries considering the influence of cell characterization
[J].DOI:10.1016/j.est.2021.103506 URL [本文引用: 1]
/
| 〈 |
|
〉 |
