循环使用与储存条件对石墨/LiCoO
2
电池寿命的影响分析
*
张博钊, 苟斌, 徐燕璋
Effect Analysis of Recycling and Storage Conditions on Graphite/LiCoO
2
Battery Life
ZHANG Bozhao, GOU Bin, XU Yanzhang
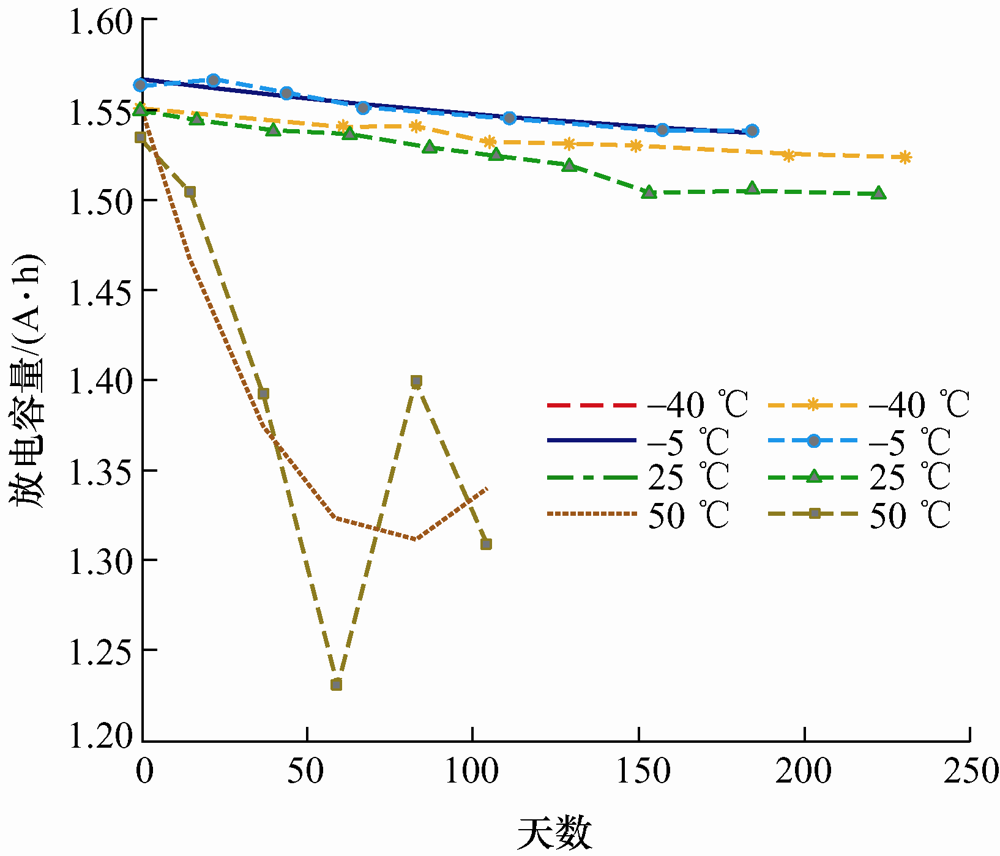
图10
储存SOC值=100%,不同温度储存的电池容量衰减结果