1 引言
负荷预测是保持电力系统稳定运行的重要基础,特别是市场化改革后,电力供需将通过实时交易实现平衡,短期负荷预测的精度也越来越重要[1 ] 。短期负荷预测主要决定未来的发电计划,且精确的短期负荷预测对电力系统的经济调度、最优潮流与调度部门机组的最优组合都有着十分重要的作用。
影响短期负荷预测精度的因素很多,包括预测模型、天气情况、历史数据等[2 ] 。人工神经网络(Artificial neural network, ANN)因网络所需设置的参数相对简单,且收敛速度较快,得到了广泛的应 用[3 ] 。目前常用的人工神经网络有深度神经网络(Deep neural networks, DNN)、循环神经网络(Recurrent neural network, RNN)等。但DNN需要人工选择时序特征,破坏了负荷的时序性[4 ] ;RNN虽然可以保持时间序列数据中的依赖关系,但由于其迭代性,往往难以长期保存信息,存在梯度消失和梯度爆炸等问题[5 ] 。长短期记忆(Long-short time memory, LSTM)神经网络通过结构更为复杂的隐藏单元(遗忘门、输入门、输出门)有选择地对网络信息进行添加和减少,解决了长期依赖问题[6 ] 。LSTM在短期负荷预测方面已得到广泛应用,但LSTM也存在着训练速度较慢的问题。因此本文采用了一种全新的最小窥视孔长短期记忆模型,该模型仅保留一个门控单元(唯一门),能够大幅减少网络参数,提高训练速度[7 ] 。
而模糊系统能够有效解决气象因素这些神经网络难以处理的非线性、不确定性的问题[8 ] 。且所有影响用电负荷的气象因素中,温度起着最为关键的作用[9 ] 。因此本文将模糊系统与神经网络相结合,通过隶属函数对温度进行了模糊化处理,加强模型对非线性、不确定性因素的处理能力,进而提高预测精度。
在训练历史数据的过程中由于数据的复杂性,单一神经网络进行负荷预测时预测精度往往有限,而集成学习可以将多个基学习器进行组合,得到一个学习能力较强的学习器,将集成学习与神经网络结合可以有效提高模型的预测精度[10 ] 。Bagging算法虽然结构较为简单,但是其性能优越,可以通过抽取不同子集分别训练多个基学习器,最终通过组合策略得到强学习器来提高模型的学习能力[11 ] 。而使用传统Bagging算法随机抽样,当抽样到大量与预测日负荷数据气象特征值相差较大的负荷数据时,会降低模型的预测精度。
针对上述问题本文提出了一种由改进Bagging算法与模糊MP-LSTM融合的短期负荷预测模型。该模型使用灰色关联投影法对原始数据进行筛选,通过改进PSO算法优化多个输入端温度经模糊化处理的基学习器(MP-LSTM),最终按平均值法将多个基学习器预测结果进行组合获得最终的预测结果。对某地区实际负荷系统进行算例仿真,仿真结果表明本文提出的模型能够有效提高负荷预测精度。
2 基于改进PSO算法优化的模糊MP-LSTM模型
2.1 模糊MP-LSTM模型
模糊MP-LSTM模型如图1 所示,该模型包括模糊化层与MP-LSTM层。
图1
(1) 模糊化层。由于温度分布往往呈现较强的非线性关系,使得捕捉其对电力负荷数据的影响变得更加困难[12 ] 。为提高模型预测的精度与泛化性[13 ] ,本文对日最高温度、日最低温度采用三角隶属函数进行模糊化处理,将处理后的温度分成3个子空间,包括高温区(20~40 ℃)、中温区(5~25 ℃)和低温区(-10~10 ℃)3种,即用3个隶属度函数来代替原来的温度。
(1) $\begin{align} & {{f}_{1}}=\left\{ \begin{matrix} 0 & {} & T>10 \\ \frac{10-T}{20} & {} & -10\le T\le 10 \\ 1 & {} & T<-10 \\ \end{matrix} \right. \\ & {{f}_{2}}=\left\{ \begin{matrix} 0 & {} & T<5T>25 \\ \frac{T-5}{10} & {} & 5\le T\le 15 \\ \frac{25-T}{10} & {} & 15<T\le 25 \\ \end{matrix} \right. \\ & {{f}_{3}}=\left\{ \begin{matrix} 0 & {} & T<20 \\ \frac{T-20}{20} & {} & 20\le T\le 40 \\ 1 & {} & T>40 \\ \end{matrix} \right. \\ \end{align}$
式中,${{f}_{1}}$ 为低温隶属度函数;${{f}_{2}}$ 为中温隶属度函数;${{f}_{3}}$ 为高温隶属度函数;T 为温度。
(2) MP-LSTM层。LSTM神经网络是循环神经网络(RNN)的一种改进模型,它将RNN本来比较简单的细胞结构用三个特殊的门控单元:遗忘门、输入门、输出门进行替代。这种模型不仅可以解决RNN容易出现的梯度消失与梯度爆炸等问题,还能捕获跨越较长时间间隔的依存关系[14 ] 。
但是LSTM也存在着收敛速度较慢的问题,因此本文采用了一种能加快收敛速度的MP-LSTM模型。MP-LSTM模型是LSTM的一种变体。与LSTM模型不同,MP-LSTM在输入端加入了上一时刻的记忆细胞状态值,且只有2个网络层(1个sigmoid层、1个tanh层)以及1个门控单元(即唯一门)。MP-LSTM模型将遗忘门、输入门和输出门用唯一门来代替[15 ] 。
(2) ${{u}_{t}}=\sigma \left( {{W}_{u}}\left[ {{h}_{t-1}},{{C}_{t-1}},{{x}_{t}} \right]+{{b}_{u}} \right)$
式中,ut 为唯一门;W u 为唯一门权重矩阵;b u 为唯一门偏置矩阵;Ct- 1 为上一时刻记忆细胞状态值。
(3) ${{\tilde{C}}_{t}}=\tanh \left( {{W}_{c}}\left[ {{h}_{t-1}},{{x}_{t}} \right]+{{b}_{c}} \right)$
(4) ${{C}_{t}}={{u}_{t}}\odot {{C}_{t-1}}+(1-{{u}_{t}})\odot {{\tilde{C}}_{t}}$
(5) ${{h}_{t}}={{u}_{t}}\odot \tanh ({{C}_{t}})$
式中,${{\tilde{C}}_{t}}$ 为输入细胞状态值;Ct 为细胞状态值;⨀表示Hadmard积运算;W c 为输入细胞权重矩阵;b c 为输入细胞偏置矩阵。
MP-LSTM层首先将上一时刻的记忆细胞状态值Ct - 1 、上一时间步输出ht - 1 与当前时间步输入xt 输入sigmoid函数更新唯一门状态值ut ,然后令其与上一时间步输出ht - 1 和当前时间步输入xt 输入tanh函数得到的细胞单元状态候选值${{\tilde{C}}_{t}}$ ,通过式(4)得到当前t 时刻记忆细胞状态值Ct ,最后通过式(5)获得最终的输出值ht 。
2.2 改进PSO算法优化流程
由于粒子群算法具有需要调节参数少、结构简单等优点,已经广泛应用在各种优化问题中。
(6) ${{v}_{i,d}}=w{{v}_{i,d}}+{{c}_{1}}{{r}_{1}}\left( {{p}_{i,d}}-{{y}_{i,d}} \right)+{{c}_{2}}{{r}_{2}}\left( {{p}_{g,d}}-{{y}_{i,d}} \right)$
(7) ${{y}_{i,d+1}}={{y}_{i,d}}+\alpha {{v}_{i,d}}$
式中,yi , d 、vi , d 分别表示第i 个粒子第d 次迭代所在位置以及粒子速度;pi , d 、pg , d 分别为第d 次迭代,第i 个粒子经过的最优位置以及所有粒子经过的最优位置;w、c 1 、c 2 、α 分别表示惯性因子、两个加速常数以及控制速度权值的约束因子;r 1 、r 2 为[0, 1]区间变化的均匀随机数。
由于粒子群算法存在着早熟收敛,在迭代过程中容易陷入局部最优极值的问题。因此本文采用了一种改进的粒子群算法,即引入平均最好位置的PSO算法[16 ] 。该算法代入了平均最好位置,即所有粒子个体最好位置平均值
(8) ${{p}_{m,d}}=\frac{1}{m}\sum\limits_{i=1}^{m}{{{p}_{i,d}}=(\frac{1}{m}\sum\limits_{i=1}^{m}{{{p}_{i,1}},\ldots \frac{1}{m}\sum\limits_{i=1}^{m}{{{p}_{i,d}}}})}$
(9) ${{v}_{i,d}}=w{{v}_{i,d}}+{{c}_{1}}{{r}_{1}}\left( {{p}_{m,d}}-{{x}_{i,d}} \right)+{{c}_{2}}{{r}_{2}}\left( {{p}_{g,d}}-{{x}_{i,d}} \right)$
平均最好位置的粒子群算法可以让粒子从其他粒子以及自身最优位置获得更多信息来决策自己位置,从而提高算法寻优能力,降低陷入局部最优的概率。
(10) ${{L}_{loss}}=\frac{1}{n}\sum\limits_{i=1}^{n}{\left( {{y}_{i}}-{{{\hat{y}}}_{t}} \right)}$
式中,${{\hat{y}}_{t}}$ 为模型输出值;${{y}_{i}}$ 为实际值;n 为输出值个数。
优化流程如下:首先确定MP-LSTM模型与改进PSO算法各参数,其中需要优化的网络参数有更新门权值、偏置矩阵,W u 、b u ;输入细胞权值、偏置矩阵,W c 、b c ;然后对各粒子的速度、位置进行初始化,接下来利用改进PSO算法计算各个粒子的初始适应度,并通过迭代更新粒子的个体最好平均值以及全局最优位置。当满足终止条件或者到达最大迭代次数之后结束训练,并将此时所得到的粒子位置赋予MP-LSTM模型的网络参数W u 、b u 、W c 、b c ;然后用训练所得网络参数代入MP-LSTM模型进行预测,最终将预测数据进行反归一化即可得到最终预测结果。
3 基于改进Bagging算法优化的模糊LSTM神经网络预测模型
3.1 改进Bagging算法
Bagging算法会先采用Bootstrap抽样法从原始数据中获得n 个子集,然后使用这些随机获得的子集分别训练n 个基学习器,最终通过投票法或者平均法等组合策略将n 个基学习器进行组合。由于Bagging算法最终的预测结果是由多个基学习器通过组合策略获得,因此当个体学习器效果越好时,该集成算法的效果就会越好[17 -18 ] 。
由于Bagging算法使用随机有放回采样的方式获得新子集,因此有些数据可能被反复采集。而原始训练集中有些和预测日气象特征相差较大的样本一旦被多次采用则会造成基学习器预测精度降低,从而影响最终预测结果。因此本文使用了一种用灰色关联投影法改进的Bagging算法。算法的主要步骤如下。
(1) 使用灰色关联投影法获得原始数据集中样本特征值与预测日样本特征值的关联度矩阵,然后通过其在预测日样本上的投影获得关联度投影值,并将所有历史样本与预测日样本的关联度投影值进行排序,最后保留投影值较大的日期形成相似日训练集。
(2) 对相似日训练集使用Bootstrap法进行抽样,获得n 个子集;再将这n 个子集分别训练n 个基学习器。
(3) 通过组合策略将各个基学习器的预测结果进行整合并获得最终的预测结果。
3.2 改进Bagging算法与模糊MP-LSTM融合的短期负荷预测流程
图2 为本文预测流程图,共分为五层,分别是数据处理层、改进Bagging取样层、MP-LSTM层、Bagging集成层以及输出层。每层描述如下。
图2
(1) 数据处理层。负责将原始数据集L 进行归一化、模糊化处理(第4.1节),获得处理后的数据集M 。M 为a×b 维的矩阵,a 是训练集中的总天数,b 为每日96个点的电负荷以及每天的6维经模糊化处理的温度数据以及风速、风向、天气、日期类型共计106维数据。
(2) 改进Bagging取样层。首先从数据集M 中取预测日前k 天的数据作为数据集K 1 ,然后使用灰色投影法计算预测日特征值与数据集K 1 中所有天数特征值的投影值,进行排序后选取投影值较大的数据构成相似日训练集S 。
最后对相似日数据集S 采用Bootstrap抽样法获得S 1 ,S 2 ,…,Sn 这n 个子集。
(3) MP-LSTM层。用S 1 ,S 2 ,…,Sn 分别训练n 个MP-LSTM神经网络,并对预测日进行预测得到n 个预测结果。
(4) Bagging集成层。将这n 个预测结果进行加权组合得到最终的预测结果,并于输出层输出预测值。
(11) ${{y}_{i}}=(\sum\limits_{j=1}^{n}{{{y}_{i,j}})/n}$
式中,yi 为第i 天的最终预测值;yi,j 为第i 天第j 个基学习器的预测值;n 为基学习器个数。
4 算例仿真
4.1 数据处理
本文原始数据取自某地区电网数据,每日数据包括:采样间隔为15 min的96个电负荷数据,以及每天的最高温度、最低温度、风速、风向、天气和日期类型。因为原始数据中数据单位不同,而且大小相差过大不能直接作为预测模型输入,因此首先将每日的96个负荷数据进行归一化处理,为更符合温度对实际负荷的影响,将最高温度、最低温度进行模糊化处理。然后将晴、多云、阴、小雨、中雨、大雨和暴雨分别按照0、0.2、0.4、0.6、0.8、1、1处理;风速为每天的平均风速投影到区间[0, 1];因我国气候特性将东南风设定为1,西北风设定为0,相应的南风、东风设定为0.75,东北风、西南风为0.5,西风和北风设定为0.25;日期类型按照工作日0、休息日1进行处理。
首先取预测日前60天的特征值(气象数据)并使用灰色投影法计算预测日特征值与预测日前60天特征值的投影值,按照投影值大小进行排序,选取投影值较大的30天的电力负荷数据作为训练样本。在训练样本中每15 min取一个负荷点,故训练集共有2 880个负荷点。t 时刻负荷点对应的输入为该负荷点前3天的t- 1时刻、t 时刻、t +1时刻的9维负荷数据,以及当天的6维模糊化处理后的温度数据,与风速、风向、天气、日期类型共计19维数据。因此总训练样本大小为2 880×19的矩阵。
然后采用Bootstrap抽样法获得S 1 、S 2 、…、S 5 这5个子集,每个子集为960×19的矩阵,并用S 1 、S 2 、…、S 5 分别训练5个MP-LSTM神经网络,最后将这5个预测结果通过式(10)进行加权组合得到最终的预测结果。
4.2 仿真结果
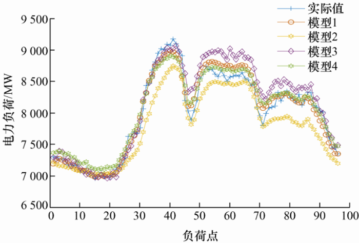
为验证本文提出的改进Bagging算法与模糊MP-LSTM神经网络融合的短期负荷预测模型(模型1)的预测精度,本文将其与普通LSTM神经网络模型(模型2)、MP-LSTM神经网络模型(模型3)[19 ] 和模糊MP-LSTM神经网络模型(模型4)进行了预测结果对比。为控制变量,本文四种模型的PSO算法都取相同值:粒子数50,最大迭代次数1 000,学习因子c 1 与c 2 都取1.496 2,粒子移动速度最大值v max 与粒子移动速度最小值v min 分别取0.4与-0.4,惯性权重的最大值w max 与惯性权重最小值w min 分别设为0.95与0.4;模型1和模型4温度的模糊化处理均采用式(1);模型1采用5个基学习器进行训练。
图3
由图3 和表1 可以看出本文采用的改进Bagging算法优化模糊MP-LSTM神经网络模型(模型1)的平均绝对误差E MAPE 、最大相对误差E MAX 与平均误差ME(表1 中所有误差均取绝对值)相对于普通LSTM神经网络模型(模型2)降低了1.50%、2.83%、172.12 MW,相对于MP-LSTM神经网络模型(模型3)降低了0.87%、2.47%、94.10 MW,相对于模糊MP-LSTM神经网络模型(模型4)降低了0.27%、0.78%、14.76 MW。且模型1的预测值在负荷的波峰和波谷处都能较好拟合实际负荷值,得到较为理想的预测结果。
因为在我国大多数地区,影响电力负荷的天气因子在不同的季节是不同的。因此,为验证模型稳定性,本文通过模型1分别对某地区春季、夏季连续一周的负荷进行预测,其预测结果如表2 、表3 所示。
由表2 可以看出使用模型1在春季进行连续一周预测时,虽然平均绝对百分误差E MAPE 最大值为1.57%,最大相对误差E MAX 最大值为5.52%,平均误差ME最大值为136.60 MW,但连续一周的E MAPE 平均值为1.24%,E MAX 平均值为4.18%,ME平均值为119.66 MW,与其他三种模型对比精度有明显提升。
由表3 可以看出夏季连续一周预测的平均绝对百分误差E MAPE 最大值为2.18%,最大相对误差E MAX 最大值为5.50%,平均误差ME最大值为232.53 MW,但是连续一周预测的E MAPE 平均值为1.44%,E MAX 平均值为4.59%,平均误差ME最大值为144.58 MW。因本文输入采用的负荷数据为前三天负荷数据,因此休息日误差有所增大,但模型1在夏季连续一周预测的最大相对误差E MAX 的平均值小于5%,表明模型1预测结果相对稳定。
5 结论
为提高短期负荷预测精度,本文首先采用隶属函数对原始数据中的温度进行模糊化处理,然后采用由灰色关联投影法改进的Bagging算法对原始数据进行抽样,随后输入各个由MP-LSTM神经网络组成的基学习器,并通过组合得到最终的预测结果。最后仿真结果表明,这种方法较之传统LSTM神经网络模型(模型2)、MP-LSTM神经网络模型(模型3)和模糊MP-LSTM神经网络模型(模型4)在精度上都有着一定提升。
参考文献
View Option
[1]
陆继翔 , 张琪培 , 杨志宏 , 等 . 基于CNN-LSTM混合神经网络模型的短期负荷预测方法
[J]. 电力系统自动化 , 2019 , 43 (8 ):131 -137 .
[本文引用: 1]
LU Jixiang , ZHANG Qipei , YANG Zhihong , et al. Short-term load forecasting method based on CNN-LSTM hybrid neural network model
[J]. Automation of Electric Power Systems , 2019 , 43 (8 ):131 -137 .
[本文引用: 1]
[2]
廖旎焕 , 胡智宏 , 马莹莹 , 等 . 电力系统短期负荷预测方法综述
[J]. 电力系统保护与控制 , 2011 , 39 (1 ):147 -152 .
[本文引用: 1]
LIAO Nihuan , HU Zhihong , MA Yingying , et al. Review of the short-term load forecasting methods of electric power system
[J]. Power System Protection and Control , 2011 , 39 (1 ):147 -152 .
[本文引用: 1]
[3]
庞传军 , 张波 , 余建明 . 基于LSTM循环神经网络的短期电力负荷预测
[J]. 电力工程技术 , 2021 , 40 (1 ):175 -180 ,194.
[本文引用: 1]
PANG Chuanjun , ZHANG Bo , YU Jianming . Short-term power load forecasting based on LSTM recurrent neural network
[J]. Electric Power Engineering Technology , 2021 , 40 (1 ):175 -180 ,194.
[本文引用: 1]
[4]
王增平 , 赵兵 , 纪维佳 , 等 . 基于GRU-NN模型的短期负荷预测方法
[J]. 电力系统自动化 , 2019 , 43 (5 ):53 -58 .
[本文引用: 1]
WANG Zengping , ZHAO Bing , JI Weijia , et al. Short-term load forecasting method based on GRU-NN model
[J]. Automation of Electric Power Systems , 2019 , 43 (5 ):53 -58 .
[本文引用: 1]
[5]
杨丽 , 吴雨茜 , 王俊丽 , 等 . 循环神经网络研究综述
[J]. 计算机应用 , 2018 , 38 (S2 ):1 -6 ,26.
[本文引用: 1]
YANG Li , WU Yuxi , WANG Junli , et al. Research on recurrent neural network
[J]. Journal of Computer Applications , 2018 , 38 (S2 ):1 -6 ,26.
[本文引用: 1]
[6]
CAPRIO U D , GENESIO R , POZZI S , et al. Short term load forecasting in electric power systems:A comparison of ARMA models and extended wiener filtering
[J]. Journal of Forecasting , 2010 , 2 (1 ):59 -76 .
DOI:10.1002/for.3980020107
URL
[本文引用: 1]
[7]
包志强 , 赵研 , 胡啸天 , 等 . 最小窥视孔长短时记忆模型
[J]. 计算机工程与设计 , 2020 , 41 (1 ):134 -138 .
[本文引用: 1]
BAO Zhiqiang , ZHAO Yan , HU Xiaotian , et al. Minimal peephole long short-term memory
[J]. Computer Engineering and Design , 2020 , 41 (1 ):134 -138 .
[本文引用: 1]
[8]
蔡舒平 , 张保会 , 汤大海 , 等 . 短期负荷预测中气象因素处理的费歇信息方法
[J]. 电力自动化设备 , 2020 , 40 (3 ):141 -146 .
[本文引用: 1]
CAI Shuping , ZHANG Baohui , TANG Dahai , et al. Fisher information method for processing weather factors in short-term load forecasting
[J]. Electric Power Automation Equipment , 2020 , 40 (3 ):141 -146 .
[本文引用: 1]
[9]
金士琛 , 薛会 , 林霞 , 等 . 基于FDNN的电力系统短期负荷预测模型研究
[J]. 青岛大学学报 , 2017 , 32 (4 ):12 -16 .
[本文引用: 1]
JIN Shichen , XUE Hui , LIN Xia , et al. Study of short-term load forecasting of power system based on fuzzy deep neural network
[J]. Journal of Qingdao University , 2017 , 32 (4 ):12 -16 .
[本文引用: 1]
[10]
张春霞 , 张讲社 . 选择性集成学习算法综述
[J]. 计算机学报 , 2011 , 34 (8 ):1399 -1410 .
[本文引用: 1]
ZHANG Chunxia , ZHANG Jiangshe . A survey of selective ensemble learning algorithms
[J]. Chinese Journal of Computers , 2011 , 34 (8 ):1399 -1410 .
DOI:10.3724/SP.J.1016.2011.01399
URL
[本文引用: 1]
[11]
蒋芸 , 陈娜 , 明利特 , 等 . 基于Bagging的概率神经网络集成分类算法
[J]. 计算机科学 , 2013 , 40 (5 ):242 -246 .
[本文引用: 1]
JIANG Yun , CHEN Na , MING Lite , et al. Bagging-based probabilistic neural network ensemble classification algorithm
[J]. Computer Science , 2013 , 40 (5 ):242 -246 .
[本文引用: 1]
[12]
毕云帆 , 撖奥洋 , 张智晟 , 等 . 基于模糊Bagging-GBDT的短期负荷预测模型研究
[J]. 电力系统及其自动化学报 , 2019 , 31 (7 ):51 -56 .
[本文引用: 1]
BI Yunfan , HAN Aoyang , ZHANG Zhisheng , et al. Study on short-term load forecasting model based on fuzzy Bagging-GBDT
[J]. Proceedings of the CSU-EPSA , 2019 , 31 (7 ):51 -56 .
[本文引用: 1]
[13]
郑瑞骁 , 张姝 , 肖先勇 , 等 . 考虑温度模糊化的多层长短时记忆神经网络短期负荷预测
[J]. 电力自动化设备 , 2020 , 40 (10 ):181 -186 .
[本文引用: 1]
ZHENG Ruixiao , ZHANG Shu , XIAO Xianyong , et al. Short-term load forecasting of multi-layer long short-term memory neural network considering temperature fuzziness
[J]. Electric Power Automation Equipment , 2020 , 40 (10 ):181 -186 .
[本文引用: 1]
[14]
张凌瑞 . 基于窥视孔连接的BILSTM及CRF算法对复杂文本序列标注处理 [D]. 北京 : 北京交通大学 , 2018 .
[本文引用: 1]
ZHANG Lingrui . Complex text sequence labeling with BILSTM and CRF algorithm based on peephole [D]. Beijing : Beijing Jiaotong University , 2018 .
[本文引用: 1]
[15]
GREFF K , SRIVASTAVA R K , KOUTNÍK J , et al. LSTM:A search space Odyssey
[J]. IEEE Transactions on Neural Networks and Learning Systems , 2017 , 28 (10 ):2222 -2232 .
DOI:10.1109/TNNLS.2016.2582924
URL
[本文引用: 1]
[16]
傅小利 , 顾红兵 , 陈国呈 , 等 . 基于柯西变异粒子群算法的永磁同步电机参数辨识
[J]. 电工技术学报 , 2014 , 29 (5 ):127 -131 .
[本文引用: 1]
FU Xiaoli , GU Hongbing , CHEN Guocheng , et al. Permanent magnet synchronous motors parameters ldentification based on cauchy mutation particle swarm optimization
[J]. Transactions of China Electrotechnical Society , 2014 , 29 (5 ):127 -131 .
[本文引用: 1]
[17]
徐继伟 , 杨云 . 集成学习方法:研究综述
[J]. 云南大学学报 , 2018 , 40 (6 ):1082 -1092 .
[本文引用: 1]
XU Jiwei , YANG Yun . A survey of ensemble learning approaches
[J]. Journal of Yunnan University , 2018 , 40 (6 ):1082 -1092 .
[本文引用: 1]
[18]
丁华福 , 柴琳 . 基于Bagging算法和遗传BP神经网络的负荷预测
[J]. 计算机技术与发展 , 2011 , 21 (5 ):107 -110 .
[本文引用: 1]
DING Huafu , CHAI Lin . Load forecasting based on Bagging method and GABP neural network
[J]. Computer Technology and Development , 2011 , 21 (5 ):107 -110 .
[本文引用: 1]
[19]
蔡鑫祥 , 撖奥洋 , 周生奇 . 基于最小窥视孔长短期记忆神经网络的电力系统短期负荷预测模型
[J]. 广东电力 , 2021 , 34 (3 ):92 -97 .
[本文引用: 1]
CAI Xinxiang , HAN Aoyang , ZHOU Shengqi . Power load forecasting based on minimal peephole long short-term memory
[J]. Guangdong Electric Power , 2021 , 34 (3 ):92 -97 .
[本文引用: 1]
基于CNN-LSTM混合神经网络模型的短期负荷预测方法
1
2019
... 负荷预测是保持电力系统稳定运行的重要基础,特别是市场化改革后,电力供需将通过实时交易实现平衡,短期负荷预测的精度也越来越重要[1 ] .短期负荷预测主要决定未来的发电计划,且精确的短期负荷预测对电力系统的经济调度、最优潮流与调度部门机组的最优组合都有着十分重要的作用. ...
Short-term load forecasting method based on CNN-LSTM hybrid neural network model
1
2019
... 负荷预测是保持电力系统稳定运行的重要基础,特别是市场化改革后,电力供需将通过实时交易实现平衡,短期负荷预测的精度也越来越重要[1 ] .短期负荷预测主要决定未来的发电计划,且精确的短期负荷预测对电力系统的经济调度、最优潮流与调度部门机组的最优组合都有着十分重要的作用. ...
电力系统短期负荷预测方法综述
1
2011
... 影响短期负荷预测精度的因素很多,包括预测模型、天气情况、历史数据等[2 ] .人工神经网络(Artificial neural network, ANN)因网络所需设置的参数相对简单,且收敛速度较快,得到了广泛的应 用[3 ] .目前常用的人工神经网络有深度神经网络(Deep neural networks, DNN)、循环神经网络(Recurrent neural network, RNN)等.但DNN需要人工选择时序特征,破坏了负荷的时序性[4 ] ;RNN虽然可以保持时间序列数据中的依赖关系,但由于其迭代性,往往难以长期保存信息,存在梯度消失和梯度爆炸等问题[5 ] .长短期记忆(Long-short time memory, LSTM)神经网络通过结构更为复杂的隐藏单元(遗忘门、输入门、输出门)有选择地对网络信息进行添加和减少,解决了长期依赖问题[6 ] .LSTM在短期负荷预测方面已得到广泛应用,但LSTM也存在着训练速度较慢的问题.因此本文采用了一种全新的最小窥视孔长短期记忆模型,该模型仅保留一个门控单元(唯一门),能够大幅减少网络参数,提高训练速度[7 ] . ...
Review of the short-term load forecasting methods of electric power system
1
2011
... 影响短期负荷预测精度的因素很多,包括预测模型、天气情况、历史数据等[2 ] .人工神经网络(Artificial neural network, ANN)因网络所需设置的参数相对简单,且收敛速度较快,得到了广泛的应 用[3 ] .目前常用的人工神经网络有深度神经网络(Deep neural networks, DNN)、循环神经网络(Recurrent neural network, RNN)等.但DNN需要人工选择时序特征,破坏了负荷的时序性[4 ] ;RNN虽然可以保持时间序列数据中的依赖关系,但由于其迭代性,往往难以长期保存信息,存在梯度消失和梯度爆炸等问题[5 ] .长短期记忆(Long-short time memory, LSTM)神经网络通过结构更为复杂的隐藏单元(遗忘门、输入门、输出门)有选择地对网络信息进行添加和减少,解决了长期依赖问题[6 ] .LSTM在短期负荷预测方面已得到广泛应用,但LSTM也存在着训练速度较慢的问题.因此本文采用了一种全新的最小窥视孔长短期记忆模型,该模型仅保留一个门控单元(唯一门),能够大幅减少网络参数,提高训练速度[7 ] . ...
基于LSTM循环神经网络的短期电力负荷预测
1
2021
... 影响短期负荷预测精度的因素很多,包括预测模型、天气情况、历史数据等[2 ] .人工神经网络(Artificial neural network, ANN)因网络所需设置的参数相对简单,且收敛速度较快,得到了广泛的应 用[3 ] .目前常用的人工神经网络有深度神经网络(Deep neural networks, DNN)、循环神经网络(Recurrent neural network, RNN)等.但DNN需要人工选择时序特征,破坏了负荷的时序性[4 ] ;RNN虽然可以保持时间序列数据中的依赖关系,但由于其迭代性,往往难以长期保存信息,存在梯度消失和梯度爆炸等问题[5 ] .长短期记忆(Long-short time memory, LSTM)神经网络通过结构更为复杂的隐藏单元(遗忘门、输入门、输出门)有选择地对网络信息进行添加和减少,解决了长期依赖问题[6 ] .LSTM在短期负荷预测方面已得到广泛应用,但LSTM也存在着训练速度较慢的问题.因此本文采用了一种全新的最小窥视孔长短期记忆模型,该模型仅保留一个门控单元(唯一门),能够大幅减少网络参数,提高训练速度[7 ] . ...
Short-term power load forecasting based on LSTM recurrent neural network
1
2021
... 影响短期负荷预测精度的因素很多,包括预测模型、天气情况、历史数据等[2 ] .人工神经网络(Artificial neural network, ANN)因网络所需设置的参数相对简单,且收敛速度较快,得到了广泛的应 用[3 ] .目前常用的人工神经网络有深度神经网络(Deep neural networks, DNN)、循环神经网络(Recurrent neural network, RNN)等.但DNN需要人工选择时序特征,破坏了负荷的时序性[4 ] ;RNN虽然可以保持时间序列数据中的依赖关系,但由于其迭代性,往往难以长期保存信息,存在梯度消失和梯度爆炸等问题[5 ] .长短期记忆(Long-short time memory, LSTM)神经网络通过结构更为复杂的隐藏单元(遗忘门、输入门、输出门)有选择地对网络信息进行添加和减少,解决了长期依赖问题[6 ] .LSTM在短期负荷预测方面已得到广泛应用,但LSTM也存在着训练速度较慢的问题.因此本文采用了一种全新的最小窥视孔长短期记忆模型,该模型仅保留一个门控单元(唯一门),能够大幅减少网络参数,提高训练速度[7 ] . ...
基于GRU-NN模型的短期负荷预测方法
1
2019
... 影响短期负荷预测精度的因素很多,包括预测模型、天气情况、历史数据等[2 ] .人工神经网络(Artificial neural network, ANN)因网络所需设置的参数相对简单,且收敛速度较快,得到了广泛的应 用[3 ] .目前常用的人工神经网络有深度神经网络(Deep neural networks, DNN)、循环神经网络(Recurrent neural network, RNN)等.但DNN需要人工选择时序特征,破坏了负荷的时序性[4 ] ;RNN虽然可以保持时间序列数据中的依赖关系,但由于其迭代性,往往难以长期保存信息,存在梯度消失和梯度爆炸等问题[5 ] .长短期记忆(Long-short time memory, LSTM)神经网络通过结构更为复杂的隐藏单元(遗忘门、输入门、输出门)有选择地对网络信息进行添加和减少,解决了长期依赖问题[6 ] .LSTM在短期负荷预测方面已得到广泛应用,但LSTM也存在着训练速度较慢的问题.因此本文采用了一种全新的最小窥视孔长短期记忆模型,该模型仅保留一个门控单元(唯一门),能够大幅减少网络参数,提高训练速度[7 ] . ...
Short-term load forecasting method based on GRU-NN model
1
2019
... 影响短期负荷预测精度的因素很多,包括预测模型、天气情况、历史数据等[2 ] .人工神经网络(Artificial neural network, ANN)因网络所需设置的参数相对简单,且收敛速度较快,得到了广泛的应 用[3 ] .目前常用的人工神经网络有深度神经网络(Deep neural networks, DNN)、循环神经网络(Recurrent neural network, RNN)等.但DNN需要人工选择时序特征,破坏了负荷的时序性[4 ] ;RNN虽然可以保持时间序列数据中的依赖关系,但由于其迭代性,往往难以长期保存信息,存在梯度消失和梯度爆炸等问题[5 ] .长短期记忆(Long-short time memory, LSTM)神经网络通过结构更为复杂的隐藏单元(遗忘门、输入门、输出门)有选择地对网络信息进行添加和减少,解决了长期依赖问题[6 ] .LSTM在短期负荷预测方面已得到广泛应用,但LSTM也存在着训练速度较慢的问题.因此本文采用了一种全新的最小窥视孔长短期记忆模型,该模型仅保留一个门控单元(唯一门),能够大幅减少网络参数,提高训练速度[7 ] . ...
循环神经网络研究综述
1
2018
... 影响短期负荷预测精度的因素很多,包括预测模型、天气情况、历史数据等[2 ] .人工神经网络(Artificial neural network, ANN)因网络所需设置的参数相对简单,且收敛速度较快,得到了广泛的应 用[3 ] .目前常用的人工神经网络有深度神经网络(Deep neural networks, DNN)、循环神经网络(Recurrent neural network, RNN)等.但DNN需要人工选择时序特征,破坏了负荷的时序性[4 ] ;RNN虽然可以保持时间序列数据中的依赖关系,但由于其迭代性,往往难以长期保存信息,存在梯度消失和梯度爆炸等问题[5 ] .长短期记忆(Long-short time memory, LSTM)神经网络通过结构更为复杂的隐藏单元(遗忘门、输入门、输出门)有选择地对网络信息进行添加和减少,解决了长期依赖问题[6 ] .LSTM在短期负荷预测方面已得到广泛应用,但LSTM也存在着训练速度较慢的问题.因此本文采用了一种全新的最小窥视孔长短期记忆模型,该模型仅保留一个门控单元(唯一门),能够大幅减少网络参数,提高训练速度[7 ] . ...
Research on recurrent neural network
1
2018
... 影响短期负荷预测精度的因素很多,包括预测模型、天气情况、历史数据等[2 ] .人工神经网络(Artificial neural network, ANN)因网络所需设置的参数相对简单,且收敛速度较快,得到了广泛的应 用[3 ] .目前常用的人工神经网络有深度神经网络(Deep neural networks, DNN)、循环神经网络(Recurrent neural network, RNN)等.但DNN需要人工选择时序特征,破坏了负荷的时序性[4 ] ;RNN虽然可以保持时间序列数据中的依赖关系,但由于其迭代性,往往难以长期保存信息,存在梯度消失和梯度爆炸等问题[5 ] .长短期记忆(Long-short time memory, LSTM)神经网络通过结构更为复杂的隐藏单元(遗忘门、输入门、输出门)有选择地对网络信息进行添加和减少,解决了长期依赖问题[6 ] .LSTM在短期负荷预测方面已得到广泛应用,但LSTM也存在着训练速度较慢的问题.因此本文采用了一种全新的最小窥视孔长短期记忆模型,该模型仅保留一个门控单元(唯一门),能够大幅减少网络参数,提高训练速度[7 ] . ...
Short term load forecasting in electric power systems:A comparison of ARMA models and extended wiener filtering
1
2010
... 影响短期负荷预测精度的因素很多,包括预测模型、天气情况、历史数据等[2 ] .人工神经网络(Artificial neural network, ANN)因网络所需设置的参数相对简单,且收敛速度较快,得到了广泛的应 用[3 ] .目前常用的人工神经网络有深度神经网络(Deep neural networks, DNN)、循环神经网络(Recurrent neural network, RNN)等.但DNN需要人工选择时序特征,破坏了负荷的时序性[4 ] ;RNN虽然可以保持时间序列数据中的依赖关系,但由于其迭代性,往往难以长期保存信息,存在梯度消失和梯度爆炸等问题[5 ] .长短期记忆(Long-short time memory, LSTM)神经网络通过结构更为复杂的隐藏单元(遗忘门、输入门、输出门)有选择地对网络信息进行添加和减少,解决了长期依赖问题[6 ] .LSTM在短期负荷预测方面已得到广泛应用,但LSTM也存在着训练速度较慢的问题.因此本文采用了一种全新的最小窥视孔长短期记忆模型,该模型仅保留一个门控单元(唯一门),能够大幅减少网络参数,提高训练速度[7 ] . ...
最小窥视孔长短时记忆模型
1
2020
... 影响短期负荷预测精度的因素很多,包括预测模型、天气情况、历史数据等[2 ] .人工神经网络(Artificial neural network, ANN)因网络所需设置的参数相对简单,且收敛速度较快,得到了广泛的应 用[3 ] .目前常用的人工神经网络有深度神经网络(Deep neural networks, DNN)、循环神经网络(Recurrent neural network, RNN)等.但DNN需要人工选择时序特征,破坏了负荷的时序性[4 ] ;RNN虽然可以保持时间序列数据中的依赖关系,但由于其迭代性,往往难以长期保存信息,存在梯度消失和梯度爆炸等问题[5 ] .长短期记忆(Long-short time memory, LSTM)神经网络通过结构更为复杂的隐藏单元(遗忘门、输入门、输出门)有选择地对网络信息进行添加和减少,解决了长期依赖问题[6 ] .LSTM在短期负荷预测方面已得到广泛应用,但LSTM也存在着训练速度较慢的问题.因此本文采用了一种全新的最小窥视孔长短期记忆模型,该模型仅保留一个门控单元(唯一门),能够大幅减少网络参数,提高训练速度[7 ] . ...
Minimal peephole long short-term memory
1
2020
... 影响短期负荷预测精度的因素很多,包括预测模型、天气情况、历史数据等[2 ] .人工神经网络(Artificial neural network, ANN)因网络所需设置的参数相对简单,且收敛速度较快,得到了广泛的应 用[3 ] .目前常用的人工神经网络有深度神经网络(Deep neural networks, DNN)、循环神经网络(Recurrent neural network, RNN)等.但DNN需要人工选择时序特征,破坏了负荷的时序性[4 ] ;RNN虽然可以保持时间序列数据中的依赖关系,但由于其迭代性,往往难以长期保存信息,存在梯度消失和梯度爆炸等问题[5 ] .长短期记忆(Long-short time memory, LSTM)神经网络通过结构更为复杂的隐藏单元(遗忘门、输入门、输出门)有选择地对网络信息进行添加和减少,解决了长期依赖问题[6 ] .LSTM在短期负荷预测方面已得到广泛应用,但LSTM也存在着训练速度较慢的问题.因此本文采用了一种全新的最小窥视孔长短期记忆模型,该模型仅保留一个门控单元(唯一门),能够大幅减少网络参数,提高训练速度[7 ] . ...
短期负荷预测中气象因素处理的费歇信息方法
1
2020
... 而模糊系统能够有效解决气象因素这些神经网络难以处理的非线性、不确定性的问题[8 ] .且所有影响用电负荷的气象因素中,温度起着最为关键的作用[9 ] .因此本文将模糊系统与神经网络相结合,通过隶属函数对温度进行了模糊化处理,加强模型对非线性、不确定性因素的处理能力,进而提高预测精度. ...
Fisher information method for processing weather factors in short-term load forecasting
1
2020
... 而模糊系统能够有效解决气象因素这些神经网络难以处理的非线性、不确定性的问题[8 ] .且所有影响用电负荷的气象因素中,温度起着最为关键的作用[9 ] .因此本文将模糊系统与神经网络相结合,通过隶属函数对温度进行了模糊化处理,加强模型对非线性、不确定性因素的处理能力,进而提高预测精度. ...
基于FDNN的电力系统短期负荷预测模型研究
1
2017
... 而模糊系统能够有效解决气象因素这些神经网络难以处理的非线性、不确定性的问题[8 ] .且所有影响用电负荷的气象因素中,温度起着最为关键的作用[9 ] .因此本文将模糊系统与神经网络相结合,通过隶属函数对温度进行了模糊化处理,加强模型对非线性、不确定性因素的处理能力,进而提高预测精度. ...
Study of short-term load forecasting of power system based on fuzzy deep neural network
1
2017
... 而模糊系统能够有效解决气象因素这些神经网络难以处理的非线性、不确定性的问题[8 ] .且所有影响用电负荷的气象因素中,温度起着最为关键的作用[9 ] .因此本文将模糊系统与神经网络相结合,通过隶属函数对温度进行了模糊化处理,加强模型对非线性、不确定性因素的处理能力,进而提高预测精度. ...
选择性集成学习算法综述
1
2011
... 在训练历史数据的过程中由于数据的复杂性,单一神经网络进行负荷预测时预测精度往往有限,而集成学习可以将多个基学习器进行组合,得到一个学习能力较强的学习器,将集成学习与神经网络结合可以有效提高模型的预测精度[10 ] .Bagging算法虽然结构较为简单,但是其性能优越,可以通过抽取不同子集分别训练多个基学习器,最终通过组合策略得到强学习器来提高模型的学习能力[11 ] .而使用传统Bagging算法随机抽样,当抽样到大量与预测日负荷数据气象特征值相差较大的负荷数据时,会降低模型的预测精度. ...
A survey of selective ensemble learning algorithms
1
2011
... 在训练历史数据的过程中由于数据的复杂性,单一神经网络进行负荷预测时预测精度往往有限,而集成学习可以将多个基学习器进行组合,得到一个学习能力较强的学习器,将集成学习与神经网络结合可以有效提高模型的预测精度[10 ] .Bagging算法虽然结构较为简单,但是其性能优越,可以通过抽取不同子集分别训练多个基学习器,最终通过组合策略得到强学习器来提高模型的学习能力[11 ] .而使用传统Bagging算法随机抽样,当抽样到大量与预测日负荷数据气象特征值相差较大的负荷数据时,会降低模型的预测精度. ...
基于Bagging的概率神经网络集成分类算法
1
2013
... 在训练历史数据的过程中由于数据的复杂性,单一神经网络进行负荷预测时预测精度往往有限,而集成学习可以将多个基学习器进行组合,得到一个学习能力较强的学习器,将集成学习与神经网络结合可以有效提高模型的预测精度[10 ] .Bagging算法虽然结构较为简单,但是其性能优越,可以通过抽取不同子集分别训练多个基学习器,最终通过组合策略得到强学习器来提高模型的学习能力[11 ] .而使用传统Bagging算法随机抽样,当抽样到大量与预测日负荷数据气象特征值相差较大的负荷数据时,会降低模型的预测精度. ...
Bagging-based probabilistic neural network ensemble classification algorithm
1
2013
... 在训练历史数据的过程中由于数据的复杂性,单一神经网络进行负荷预测时预测精度往往有限,而集成学习可以将多个基学习器进行组合,得到一个学习能力较强的学习器,将集成学习与神经网络结合可以有效提高模型的预测精度[10 ] .Bagging算法虽然结构较为简单,但是其性能优越,可以通过抽取不同子集分别训练多个基学习器,最终通过组合策略得到强学习器来提高模型的学习能力[11 ] .而使用传统Bagging算法随机抽样,当抽样到大量与预测日负荷数据气象特征值相差较大的负荷数据时,会降低模型的预测精度. ...
基于模糊Bagging-GBDT的短期负荷预测模型研究
1
2019
... (1) 模糊化层.由于温度分布往往呈现较强的非线性关系,使得捕捉其对电力负荷数据的影响变得更加困难[12 ] .为提高模型预测的精度与泛化性[13 ] ,本文对日最高温度、日最低温度采用三角隶属函数进行模糊化处理,将处理后的温度分成3个子空间,包括高温区(20~40 ℃)、中温区(5~25 ℃)和低温区(-10~10 ℃)3种,即用3个隶属度函数来代替原来的温度. ...
Study on short-term load forecasting model based on fuzzy Bagging-GBDT
1
2019
... (1) 模糊化层.由于温度分布往往呈现较强的非线性关系,使得捕捉其对电力负荷数据的影响变得更加困难[12 ] .为提高模型预测的精度与泛化性[13 ] ,本文对日最高温度、日最低温度采用三角隶属函数进行模糊化处理,将处理后的温度分成3个子空间,包括高温区(20~40 ℃)、中温区(5~25 ℃)和低温区(-10~10 ℃)3种,即用3个隶属度函数来代替原来的温度. ...
考虑温度模糊化的多层长短时记忆神经网络短期负荷预测
1
2020
... (1) 模糊化层.由于温度分布往往呈现较强的非线性关系,使得捕捉其对电力负荷数据的影响变得更加困难[12 ] .为提高模型预测的精度与泛化性[13 ] ,本文对日最高温度、日最低温度采用三角隶属函数进行模糊化处理,将处理后的温度分成3个子空间,包括高温区(20~40 ℃)、中温区(5~25 ℃)和低温区(-10~10 ℃)3种,即用3个隶属度函数来代替原来的温度. ...
Short-term load forecasting of multi-layer long short-term memory neural network considering temperature fuzziness
1
2020
... (1) 模糊化层.由于温度分布往往呈现较强的非线性关系,使得捕捉其对电力负荷数据的影响变得更加困难[12 ] .为提高模型预测的精度与泛化性[13 ] ,本文对日最高温度、日最低温度采用三角隶属函数进行模糊化处理,将处理后的温度分成3个子空间,包括高温区(20~40 ℃)、中温区(5~25 ℃)和低温区(-10~10 ℃)3种,即用3个隶属度函数来代替原来的温度. ...
1
2018
... (2) MP-LSTM层.LSTM神经网络是循环神经网络(RNN)的一种改进模型,它将RNN本来比较简单的细胞结构用三个特殊的门控单元:遗忘门、输入门、输出门进行替代.这种模型不仅可以解决RNN容易出现的梯度消失与梯度爆炸等问题,还能捕获跨越较长时间间隔的依存关系[14 ] . ...
1
2018
... (2) MP-LSTM层.LSTM神经网络是循环神经网络(RNN)的一种改进模型,它将RNN本来比较简单的细胞结构用三个特殊的门控单元:遗忘门、输入门、输出门进行替代.这种模型不仅可以解决RNN容易出现的梯度消失与梯度爆炸等问题,还能捕获跨越较长时间间隔的依存关系[14 ] . ...
LSTM:A search space Odyssey
1
2017
... 但是LSTM也存在着收敛速度较慢的问题,因此本文采用了一种能加快收敛速度的MP-LSTM模型.MP-LSTM模型是LSTM的一种变体.与LSTM模型不同,MP-LSTM在输入端加入了上一时刻的记忆细胞状态值,且只有2个网络层(1个sigmoid层、1个tanh层)以及1个门控单元(即唯一门).MP-LSTM模型将遗忘门、输入门和输出门用唯一门来代替[15 ] . ...
基于柯西变异粒子群算法的永磁同步电机参数辨识
1
2014
... 由于粒子群算法存在着早熟收敛,在迭代过程中容易陷入局部最优极值的问题.因此本文采用了一种改进的粒子群算法,即引入平均最好位置的PSO算法[16 ] .该算法代入了平均最好位置,即所有粒子个体最好位置平均值 ...
Permanent magnet synchronous motors parameters ldentification based on cauchy mutation particle swarm optimization
1
2014
... 由于粒子群算法存在着早熟收敛,在迭代过程中容易陷入局部最优极值的问题.因此本文采用了一种改进的粒子群算法,即引入平均最好位置的PSO算法[16 ] .该算法代入了平均最好位置,即所有粒子个体最好位置平均值 ...
集成学习方法:研究综述
1
2018
... Bagging算法会先采用Bootstrap抽样法从原始数据中获得n 个子集,然后使用这些随机获得的子集分别训练n 个基学习器,最终通过投票法或者平均法等组合策略将n 个基学习器进行组合.由于Bagging算法最终的预测结果是由多个基学习器通过组合策略获得,因此当个体学习器效果越好时,该集成算法的效果就会越好[17 -18 ] . ...
A survey of ensemble learning approaches
1
2018
... Bagging算法会先采用Bootstrap抽样法从原始数据中获得n 个子集,然后使用这些随机获得的子集分别训练n 个基学习器,最终通过投票法或者平均法等组合策略将n 个基学习器进行组合.由于Bagging算法最终的预测结果是由多个基学习器通过组合策略获得,因此当个体学习器效果越好时,该集成算法的效果就会越好[17 -18 ] . ...
基于Bagging算法和遗传BP神经网络的负荷预测
1
2011
... Bagging算法会先采用Bootstrap抽样法从原始数据中获得n 个子集,然后使用这些随机获得的子集分别训练n 个基学习器,最终通过投票法或者平均法等组合策略将n 个基学习器进行组合.由于Bagging算法最终的预测结果是由多个基学习器通过组合策略获得,因此当个体学习器效果越好时,该集成算法的效果就会越好[17 -18 ] . ...
Load forecasting based on Bagging method and GABP neural network
1
2011
... Bagging算法会先采用Bootstrap抽样法从原始数据中获得n 个子集,然后使用这些随机获得的子集分别训练n 个基学习器,最终通过投票法或者平均法等组合策略将n 个基学习器进行组合.由于Bagging算法最终的预测结果是由多个基学习器通过组合策略获得,因此当个体学习器效果越好时,该集成算法的效果就会越好[17 -18 ] . ...
基于最小窥视孔长短期记忆神经网络的电力系统短期负荷预测模型
1
2021
... 为验证本文提出的改进Bagging算法与模糊MP-LSTM神经网络融合的短期负荷预测模型(模型1)的预测精度,本文将其与普通LSTM神经网络模型(模型2)、MP-LSTM神经网络模型(模型3)[19 ] 和模糊MP-LSTM神经网络模型(模型4)进行了预测结果对比.为控制变量,本文四种模型的PSO算法都取相同值:粒子数50,最大迭代次数1 000,学习因子c 1 与c 2 都取1.496 2,粒子移动速度最大值v max 与粒子移动速度最小值v min 分别取0.4与-0.4,惯性权重的最大值w max 与惯性权重最小值w min 分别设为0.95与0.4;模型1和模型4温度的模糊化处理均采用式(1);模型1采用5个基学习器进行训练. ...
Power load forecasting based on minimal peephole long short-term memory
1
2021
... 为验证本文提出的改进Bagging算法与模糊MP-LSTM神经网络融合的短期负荷预测模型(模型1)的预测精度,本文将其与普通LSTM神经网络模型(模型2)、MP-LSTM神经网络模型(模型3)[19 ] 和模糊MP-LSTM神经网络模型(模型4)进行了预测结果对比.为控制变量,本文四种模型的PSO算法都取相同值:粒子数50,最大迭代次数1 000,学习因子c 1 与c 2 都取1.496 2,粒子移动速度最大值v max 与粒子移动速度最小值v min 分别取0.4与-0.4,惯性权重的最大值w max 与惯性权重最小值w min 分别设为0.95与0.4;模型1和模型4温度的模糊化处理均采用式(1);模型1采用5个基学习器进行训练. ...