基于改进Bagging算法与模糊MP-LSTM融合的短期负荷预测模型* |
蔡鑫祥, 撖奥洋, 周生奇, 菅学辉, 张智晟 |
Short-term Load Forecasting Model Based on Improved Bagging Algorithm and Fuzzy MP-LSTM Fusion |
CAI Xinxiang, HAN Aoyang, ZHOU Shengqi, JIAN Xuehui, ZHANG Zhisheng |
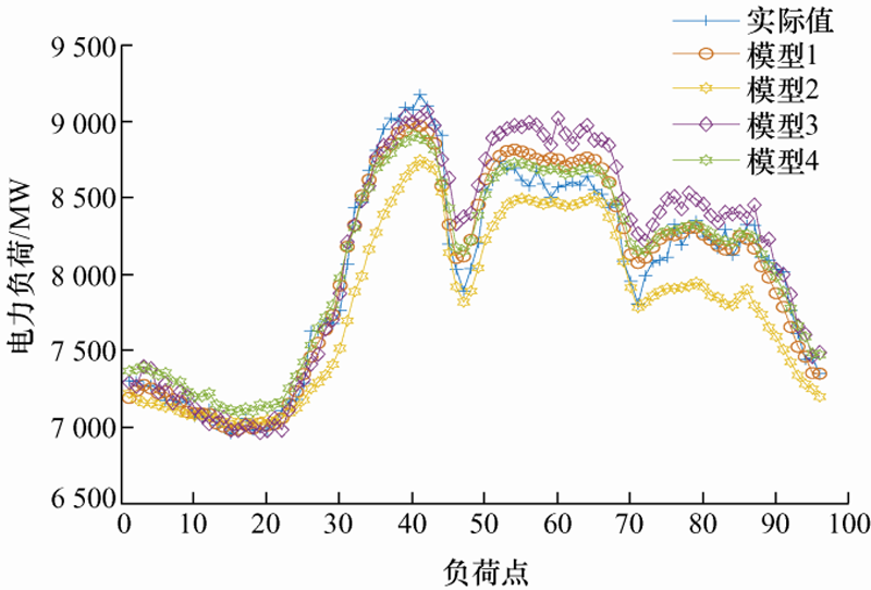
图3 模型1~4预测的负荷曲线 |
![]() |