低风压导线与常规导线对比分析
中国电力工程顾问集团东北电力设计院有限公司 长春 130021
Comparative Analysis of Low Wind Pressure Conductor and Conventional Conductor
Northeast Electric Power Design Institute Co., Ltd., China Power Engineering Consulting Group,Changchun 130021 China
收稿日期: 2019-09-26 网络出版日期: 2019-12-25
Received: 2019-09-26 Online: 2019-12-25
作者简介 About authors
段旭东,男,1984年生,高级工程师。主要研究方向为高压输电线路设计。E-mail:duanxudong@nepdi.net
韩宇,男,1984年生,工程师。主要研究方向为高压输电线路设计。E-mail:hanyu@nepdi.net
陆春阳,男,1983年生,高级工程师。主要研究方向为高压输电线路设计。E-mail:luchunyang@nepdi.net
姜然凇,男,1991年生,硕士研究生,工程师。主要研究方向为高压输电线路设计。E-mail:jiangransong@nepdi.net
架空输电线路是电力系统的重要组成部分,而导线则是输电线路设计的一个重要课题。导线受到的风压约占整个输电线路的50%~70%,合理选择导线,降低导线风压对于降低线路造价及提高线路运行安全具有重要意义。以500 kV输电线路为基础,对低风压导线与常规导线在输送容量、电磁环境、电气性能和力学性能等方面进行对比分析,并对两种导线的本体投资进行比较,确定低风压导线不仅能够大幅度降低导线风压,而且在电气性能、力学性能及导线本体投资方面均优于常规导线。因此,在输电线路中应用低风压导线具有明显优势。
关键词:
Overhead transmission line is an important part of power system, and the selection of conductor is an important topic of transmission line design. The wind pressure of conductor accounts for about 50% - 70% of the whole transmission line. Therefore, reasonable selection of conductor and reduction of wind pressure are of great significance to reduce the cost of the line and improve the safety of line operation. Based on 500 kV transmission line, comparative analysis on transmission capacity, electromagnetic environment, electrical performance and mechanical performance of low wind pressure conductor and conventional conductor is made, and comparison on investment is also made. It is sure that low wind pressure conductor could make wind pressure lower, and it has better performance in electrical performance, mechanical performance and investment on conductor itself than conventional conductor. Therefore, it has obvious advantage to use low wind pressure conductor in transmission lines.
Keywords:
本文引用格式
段旭东, 韩宇, 陆春阳, 姜然凇.
DUAN Xudong.
1 引言
架空输电线路是电力系统的重要组成部分,但因其自身的结构和运行特点,容易受到气象环境因素的影响而发生故障。大风出现概率较高,其影响范围较广、危害较大,且各地区电网都可能遭受大风灾害侵袭,是造成架空线路故障的自然灾害中最为严重的一种。
20世纪70年代,日本住友电气与关西电力公司、京都大学等单位的研究人员利用京都大学防灾研究所的大型风洞,对多种不同表面形状或“粗糙度”的导线模型进行了大量的试验研究[3]。研究结果表明,导线的风阻力系数CD与导线表面的形状或“粗糙度”有较大的关系。为了最大限度地降低导线的阻力系数,必须合理选择导线的最佳表面形状或“粗糙度”。在综合考虑导线的电晕和无线电干扰特性、制造工艺及架线施工等方面的因素后,开发出了外层线股为扇形截面的低风压导线。
日本的关西电力公司和住友电气公司开发了410 mm2和810 mm2两种截面的低风压ACSR导线,并对其导线性能进行了测试。测试结果表明,低风压导线的强度与相同截面传统绞线的强度相当,且通用设计的配套金具的力学性能和电气性能可以满足低风压导线的设计要求,在架线施工过程中并无特殊要求,能直接运用常规方法和器具,因此该类低风压导线在应用和推广中较为方便。
20世纪90年代,日本关西电力公司和住友电气公司等单位的研究人员对低风压导线的机理进行了深入研究。分别利用古河电工日光研究所、东京大学先端科学技术研究中心和加拿大NRC的3个各具特色的风洞,进行了大量的导线空气动力特性的试验研究[4]。
在日本电力中央研究院利用水流装置进行了流体的可视化试验。试验表明在低风压导线的场合的回流区要小于普通导线的场合的回流区,因此阻力系数也相应较小。
目前,国内导线制造企业已掌握了低风压高强度铝包钢芯高导电率铝型线绞线的制造及绞制技术。但在工程应用中,低风压导线仍处于局部试用阶段,低风压导线的应用经验尚显不足。本文对低风压导线与常规导线在工程应用中进行对比分析,并论述其在节能及经济方面的优越性,为低风压导线的推广和应用积累宝贵经验。
2 低风压导线与常规导线参数对比分析
本文以500 kV输电线路为基础,对低风阻JL3X/GLB27(DFY)-400/35高强度铝包钢芯高导电率铝型线绞线(导线1)和JL/G1A-400/35钢芯铝绞线(导线2)从电气性能、力学性能和经济性等方面进行全面对比分析。
2.1 基本条件
系统参数如下:系统标称电压500 kV;最高运行电压550 kV;经济输送容量1 000 MW;极限输送容量2 000 MW;功率因数0.95;年最大负荷利用小时数5 000 h。
导地线布置如下:直线塔导线悬垂串采用“IVI”形绝缘子串的组合形式,地线保护角不大于10°。
计算采用的杆塔呼高为39 m,杆塔塔头尺寸见图1。
图1
2.2 导线主要参数
导线主要技术参数见表1。
表1 导线主要技术参数
| 导线型号 | 导线2 | 导线1 | |
|---|---|---|---|
| 相导线分裂根数 | 4 | 4 | |
| 结构根数 | 铝 | 48 | – |
| 铝包钢 | – | 7 | |
| 钢 | 7 | – | |
| 直径/mm | 铝 | 3.22 | – |
| 铝包钢 | – | 2.50 | |
| 钢 | 2.50 | – | |
| 计算截面/mm2 | 铝 | 390.88 | 390.88 |
| 铝包钢 | – | 34.36 | |
| 钢 | 34.36 | – | |
| 总计 | 425.24 | 425.24 | |
| 外径/mm | 26.8 | 24.44 | |
| 计算质量/(kg/km) | 1 347.5 | 1 281.63 | |
| 导线拉断力/N | 98 486 | 96 625 | |
| 线膨胀系数/(× 10-6℃-1) | 20.5 | 21.24 | |
| 弹性模量/(N/mm2) | 65 000 | 61 870 | |
| 20℃直流电阻/(Ω/km) | 0.073 9 | 0.069 3 | |
| 最大使用张力/N | 39 394.0 | 38 649.8 | |
| 平均运行张力/破坏拉断力 | 0.25 | 0.25 | |
| 相分裂间距/cm | 45 | 45 | |
| 相分裂间距与单导线直径比 | 16.8 | 18.4 | |
2.3 导线电气性能比较
2.3.1 导线输送容量比较
导线的温度升高不超过允许值时,导线的输送容量应满足系统极限输送容量(N–1)的要求。根据此原则计算导线的允许载流量及其极限输送容量见表2。
表2 导线输送容量(极限输送容量)计算
| 导线型号与分裂型式 | 相导线载流量/A | 极限输送容量/MW | ||
|---|---|---|---|---|
| +70℃ | +80℃ | +70℃ | +80℃ | |
| 4×导线2 | 2 631.5 | 3 171.1 | 2 164.9 | 2 608.9 |
| 4×导线1 | 2 662.1 | 3 226.4 | 2 190.1 | 2 654.3 |
2.3.2 电磁环境比较
(1) 导线表面电场强度。
导线表面电场强度是导线选择计算中的最基本条件,导线表面电场强度过高将会引起导线全面电晕,不但电晕损耗急剧增加,而且会带来电磁环境恶化,所以必须选择合理的导线表面电场强度。
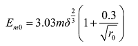
导线电晕临界电场强度计算:试验证明,导线的临界电场强度与极性的关系很小,因此本文采用根据试验数据确定的皮克(Peek)公式计算[13]。导线的临界电场强度,计算公式如下


式中,m是导线表面系数,对绞线一般可取0.82;δ是相对空气密度;r0是导线半径;α是空气温度梯度,约为0.006 5 ℃/m;H是海拔高度。
导线表面最大电场强度计算:导线表面最大工作场强取决于最高运行电压、子导线直径、相导线分裂型式及相间距离等,其计算方法较多,本文采用计算精度较高的逐次镜像法进行计算。
(2) 无线电干扰。
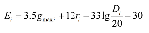
无线电干扰计算采用我国行业标准DL/T691-2019《高压架空输电线路无线电干扰计算方法》中推荐的多分裂导线无线电干扰计算方法进行计算[14]。

式中,Ei是距第i相导线直接距离Di处的无线电干扰强度;gmaxi是第i相导线最大表面电位梯度;Di是第i相导线到参考点的直接距离;ri是第i相子导线的半径。
(3) 可听噪声。
对于交流线路的可听噪声雨天(95%)AN值,采用美国邦纳维尔电力公司(Bonneville power admini- stration,BPA)的经验预测公式进行计算[15]。



式中,AN是可听噪声水平;v是相数;Di是测量点至被测i相导线的距离;PWL(i)是i相导线的声功率级;Emax是导线的表面最大电场强度;deq是导线等效直径;d是子导线直径;n是导线分裂数。
经计算,电磁环境计算结果见表3。
表3 电磁环境计算
| 导线 方案 | 临界 电场 强度 /(kV/cm) | 导线表面场强/(kV/cm) | 无线电干扰/dB | 可听噪声/dB | |||
|---|---|---|---|---|---|---|---|
| 边相 | 中相 | ||||||
| Em | Em/ Emo | Em | Em/ Emo | ||||
| 导线2 | 20.76 | 14.94 | 0.72 | 15.96 | 0.77 | 43.5 | 50.6 |
| 导线1 | 20.96 | 15.41 | 0.74 | 16.39 | 0.78 | 43.8 | 50.9 |
2.3.3 电能损耗计算
表4 电能损耗计算
| 导线 型号 | 输送容量/MW | 导线输送电流/A | 运行温度/℃ | 交流 电阻 /(Ω/km) | 电阻 功率/(kW/km) | 电阻损耗 /(MW·h/km) | ||
|---|---|---|---|---|---|---|---|---|
| 3 000 h | 4 000 h | 5 000 h | ||||||
| 导线2 | 1 000 | 303.9 | 53.5 | 0.086 14 | 95.4 | 286.3 | 381.8 | 477.2 |
| 导线1 | 1 000 | 303.9 | 52.9 | 0.079 16 | 87.7 | 263.1 | 350.9 | 438.6 |
2.4 导线力学性能及相荷载比较
导线力学性能和相荷载比较见表5。
表5 导线力学性能及相荷载比较
| 导线型号 | 导线2 | 导线1 | ||
|---|---|---|---|---|
| 最大应力安全系数 | 2.5 | 2.5 | ||
| 最大应力年均安全系数 | 4 | 4 | ||
| 过载能力/mm | Lo=400 m | 25.38 | 25.83 | |
| Lo=500 m | 23.28 | 23.49 | ||
| Lo=600 m | 22.49 | 22.50 | ||
| 高温弧垂/m | Lo=400 m | 13.17 | 12.96 | |
| Lo=500 m | 19.56 | 19.05 | ||
| Lo=600 m | 27.92 | 26.97 | ||
| 相导线最大张力/(kN/相) | 157.6 | 154.6 | ||
| 平均运行张力/(kN/相) | 98.5 | 96.6 | ||
| 相导线垂直荷重/(kN/相) | 37.0 | 35.19 | ||
| 相导线风荷重/(kN/相) | 35.07 | 24.71 | ||
| 风偏角/(°) Kv=0.8 | 大风 | 59.79 | 51.80 | |
| 操作 | 32.52 | 25.40 | ||
| 外过 | 21.85 | 16.60 | ||
| 直线塔中相V串夹角/(°) | 100 | 90 | ||
| 耐张串 安全系数 | 绝缘子型式/kN | 2×300 | 2×300 | |
| 最大荷载 | 3.46 | 3.53 | ||
| 常年荷载 | 5.54 | 5.65 | ||
| 悬垂串 安全系数 | 绝缘子型式/kN | 210 | 210 | |
| 最大荷载 | 4.41 | 4.67 | ||
2.5 经济性比较
两种导线的投资情况见表6。
表6 导线投资表
| 导线 序号 | 导线自重/(kg/km) | 导线总重/(t/km) | 导线单价/ (万元/t) | 导线投资/(万元/km) | 投资差 /(万元/km) |
|---|---|---|---|---|---|
| 2 | 1 347.50 | 16.49 | 1.68 | 27.71 | 0 |
| 1 | 1 281.63 | 15.69 | 1.95 | 30.59 | 2.88 |
图2
经上述比较计算,采用两种导线情况下,工程本体投资比较见表8。
表8 本体投资比较表
| 导线序号 | 2 | 1 | |
|---|---|---|---|
| 导线投资 | 导线自重/(kg/km) | 1 347.5 | 1 281.63 |
| 导线总重/(t/km) | 16.49 | 15.69 | |
| 导线单价/(元/t) | 16 800 | 19 500 | |
| 导线费用/(万元/km) | 27.71 | 30.59 | |
| 导线费用比例(%) | 100.00 | 110.40 | |
| 杆塔和基础投资 | 杆塔重量/(t/km) | 41.14 | 37.53 |
| 塔材费用/(万元/km) | 55.54 | 50.67 | |
| 塔材费用比例(%) | 100.00 | 91.24 | |
| 混凝土价格/(万元) | 22.21 | 20.27 | |
| 混凝土费用比例(%) | 100.00 | 91.24 | |
| 本体投资/(万元/km) | 130.7 | 126.8 | |
| 本体投资差额/(万元/km) | 0.00 | –3.93 | |
注:表中计算以4×导线2为基准。
2.6 导线性能对比分析
通过对JL/G1A-400/35钢芯铝绞线(导线2)和JL3X/GLB27(DFY)-400/35导线(导线1)进行的综合比较分析,得到如下结论。
(1) 在最高允许温度为70℃时,两种导线均满足极限输送容量为2 000 MW的要求。导线1的输送容量大于导线2。
(2) 两种导线的电磁环境均满足相关规程规范要求。
(3) 导线1的电阻损耗小于导线2。
(4) 机械安全性比较。
① 导线1的风荷载仅为导线2的70.5%。
② 两种导线的垂直荷载基本相当。
③ 导线1最大张力是导线2的98.1%。
④ 导线1的弧垂比导线2小0.21~0.95 m。
⑤ 导线1的直径小,且由于其特殊的导线结构,使其导线风阻系数可由规范要求的1.1降低为0.85,从而使导线的风荷载降低约30%,其导线大风摇摆角可比导线2低约1.79°,从而使塔头尺寸有所减小,使其直线塔重量相应降低。
(5) 导线1的费用略高于导线2。
(6) 由于导线1的型线结构以及表面降低导线阻力系数的特殊设计,使其水平荷载较导线2降低约30%,摇摆角同比降低约1.79°,使导线1的直线塔塔头尺寸缩短约0.8 m,直线塔单基塔重降低约9%,从而大大减少工程杆塔重量,与导线2相比,单公里钢材量降低约3.6 t/km。
(7) 导线1的本体投资较导线2方案低约3.93万元/km。
对于风速较大的输电线路而言,推广采用JL3X/GLB27(DFY)-400/35高强度铝包钢芯高导电率铝型线绞线(导线1)可有效降低工程杆塔重量,降低工程投资。
3 结论
导线作为输电线路的一个重要组成部分,其受大风影响尤其明显。在实际使用中,导线所受到的风压占整个输电线路受到风压的50%~70%,导线承受的风压对铁塔基础和塔身本体强度设计有着重大的影响。本文以500 kV输电线路为基础,对JL3X/GLB27(DFY)-400/35导线(导线1)和JL/G1A-400/35
钢芯铝绞线(导线2)的电气性能、力学性能和经济性进行全面对比分析,得到如下结论。
(1) 电气性能方面:导线1在极限输送容量、导线电阻损耗均优于导线2,两种导线电磁环境均满足相关规程规范要求。
(2) 力学性能方面:由于导线1的特殊结构形式,使导线的风荷载降低约30%,导线最大张力及弧垂均小于导线2。
(3) 经济性方面:导线1的导线费用略高于导线2,但由于导线1的型线结构以及表面降低导线阻力系数的特殊设计,可大幅优化杆塔结构及尺寸,从而使其导线的本体投资较导线2方案低约3.93万元/km。
相对于传统的导线,低风压导线是架空输电线路用的一种特种导线,具有更小的风阻力系数,可以大幅降低输电线路导线风压,同时在电气性能和力学性能方面均优于常规钢芯铝绞线。在输电线路设计中,JL3X/GLB27(DFY)-400/35导线不仅可以减小输电线路杆塔塔头尺寸,节省杆塔钢材量,还能够节约导线本体投资。因此,在输电线路中推广使用JL3X/GLB27(DFY)-400/35导线,对于降低线路造价、提高线路运行的安全性;对于电网的可持续、绿色发展等具有重要意义。
参考文献
Development of low-wind-pressure conductors for compact overhead transmission line
[J].
基于小波包与神经网络的海缆故障诊断
[J].
A fault diagnosis method forwavelet packet and neural network-based submarine cables
[J].
低風压電線について
[J].
Low wind pressure conductors
[J].
输电线路低噪声导线的开发研究
[J].
Research and development of low noise conductors for power transmission
[J].
Development of low wind-pressure insulated wires
[J].
一种低风压导线:中国,CN201310467783.X
[P].2015-04-29.
A new type of low wind pressure conductor:China,CN201310467783.X
[P].2015-04-29.
节能型低风压导线:中国,CN201220625450.6
[P].2013-06-05.
Energy-saving low wind pressure conductor:China,CN201220625450.6
[P].2013-06-05.
节能型低风压导线:中国,CN201420179179.7
[P].2014-09-03.
Energy-saving low wind pressure conductor:China,CN201420179179.7
[P].2014-09-03.
一种低风压导线:中国,CN201320165307.8
[P].2013-10-30.
A new type of low wind pressure conductor:China,CN201320165307.8
[P].2013-10-30.
低风压低噪音导线:中国,CN201420205803.6[P]
.2014-08-27.
Low wind pressure and low noise conductor:China,CN201420205803.6
[P].2014-08-27.
多分裂导线整体阻力系数风洞试验研究
[J].
Wind tunnel test on global drag coefficients of multi-bundled conductors
[J].
新型同心绞导线风阻力系数风洞试验
[J].
Wind tunnel test on drag coefficient of new type concentric-lay-stranded conductors
[J].
DL/T 691-2019,高压架空输电线路无线电干扰计算方法
[S].
Methods of calculation of radio interference from high voltage overhead power transmission lines:DL/T 691-2019
[S].
Radio noise due to corona on a multi-conductor power line above a dissipative earth
[J].
/
| 〈 |
|
〉 |