基于多物理场耦合的高压SF6断路器冷气流混沌特性研究
沈阳工业大学电器新技术与应用研究所 沈阳 110870
Investigation of Chaotic Characteristics for Cold Gas Flow in High Voltage SF6 Circuit Breaker Based on Multi-Physical Field Coupling
Shenyang University of Technology Shenyang 110870 China
收稿日期: 2017-09-24 网络出版日期: 2018-07-25
基金资助: |
|
Received: 2017-09-24 Online: 2018-07-25
作者简介 About authors

韩颖, 女 1979年生,研究生导师,研究方向为电气设备电磁场与应用、智能化电器、现代电器理论及装备。

冯厉鹏 男 1992年生,硕士,研究方向为电机与电器。
研究灭弧室压力、速度和湍流等气流参数,对于进一步优化断路器本体结构设计具有重要意义。本文以550kV单断口高压断路器为研究对象,研究灭弧室气流参数的时空特性,建立三维计算模型,采用有限体积法对断路器开断容性小电流情况下的气流场进行数值求解,提取有效特征点,得到压力、密度、速度及湍流等参数;采用C-C算法、G-P算法、FFT变换和“修正”的混沌理论对开断过程中各气流参数进行系统复杂混沌运动行为分析。结果表明:断路器开断过程中,气流运动存在混沌特征,并通过横向、纵向比较压力和密度、马赫数和速度等参数,得到各参数混沌特性之间的联系与区别,为进一步通过改变喷口型面调整气流流路以实现气流的有效气吹,提高断路器开断能力,同类以及替代产品的改进和开发提供了理论依据。
关键词:
Studying the parameters of pressure, velocity and turbulence in arc quenching chamber is of significance for the optimization design of SF6 circuit breaker. In this paper, 550 kV single break high-voltage SF6 circuit breaker is taken as the research object and a three-dimensional calculation model was established. Then we simulated the gas flow field of circuit breaker under small capacitive current interruption based on the finite volume method and extracted the valid feature points. Then we obtained the pressure, density, velocity, and temperature of gas flow. Moreover, we analyzed complex chaos motion behavior which was caused by various parameters using C-C algorithm, G-P algorithm,Fourier transform and the modified chaos theory. The results show that there are chaotic characteristics of gas flow during the circuit breaker breaking. And through horizontal and vertical comparison, we got the relation and difference between chaotic characteristic parameters. Besides, it provides a theoretical basis for improvement of similar and alternative products in the future by changing the nozzle and gas flow path to realize the effective gas blowing, improving the breaking capacity of the circuit breaker.
Keywords:
本文引用格式
韩颖, 冯厉鹏, 曹云东, 侯春光.
Han Ying.
1 引言
近些年,国内外专家在高压断路器灭弧室内气流场计算方面进行了大量研究工作,SF6断路器在开断过程中,由于喷口等结构的存在,使气流流路复杂,且气流在流经喷口区域时会产生湍流,使得气流运动不稳定,引起随机且局部剧烈变化,非线性特征明显等问题[5,6,7]。前期研究已证明,SF6断路器在开断过程中,喷口气流是有粘、可压缩、有源且跨音速的气流运动,且运动是电弧熄灭的直接原因,这一过程中产生的混沌效应对开断的影响极为重要[8]。因此,对于高压SF6断路器的开断过程这种涉及电、磁、热多物理场耦合和多物性参数变化的复杂过程,对气流运动中的各变化参数进行深入分析,分析气流变化对多物理场的影响,是研究喷口气流混沌性行为的基础与关键。
本文以高压SF6断路器为研究对象,建立550kV SF6断路器灭弧系统三维气流场物理数学模型。研究在开断容性小电流情况下,气流场参数特性。基于有限体积法进行气流场域数值仿真,研究灭弧室内的气流参数特性,求得不同开距下压力、速度、马赫数及温度分布特点。基于以上研究成果,从混沌角度出发,对各特征参数进行混沌分析,采用相空间重构的方法和C-C算法求取延迟时间,G-P算法用来求取嵌入维数,FFT变换用来得到平均周期,同时采用“修正”混沌算法对各参数进行分析,求取最大李雅普诺夫指数,以找寻优化开关结构,提高其开断能力的有效途径。
2 开断容性小电流下气流场数学模型
容性小电流开断时燃弧时间短,电弧产生的能量低,可将其视为冷气流开断[9]。断路器流场是跨音速、变边界的复杂气流路,在整个开断过程中还伴随着激波、湍流等一系列复杂的物理现象,本文采用在流体运动和传热研究中最有效的有限体积方法,以三维N-S方程和湍流模型为基础,进行灭弧室内三维气流场仿真,其数学模型可采用三维可压缩Navier-Stokes方程组来描述:
任何流动问题首先都必须满足质量守恒定律,根据此定律可以得连续方程
式中,ρ为密度;t为时间;u、v和w为速度矢量u在x、y和z方向的分量。
动量守恒定律也是任何流动必须满足的基本定律,按照这个定律,可推导出x、y和z三个方向上的动量守恒方程为
能量守恒方程为
式中
气体状态方程
式中,u = ui + vj + wk,ρ、T和p分别为气体密度、压力和温度;u、v、w分别为气体三个速度分量;k为导热系数;R气体常数;i为气体单位质量总内能;λ为第二黏性系数;SMx、SMy、SMz为气体源;ST为热源。
本文为反映断路器中湍流的影响,选用k-ε两方程模型。湍动能k和湍流耗散率ε满足以下微分方程组:
紊动能方程为
紊动耗散率方程为
式中,
式中,Cμ、σκ、σε、C1、C2为常数(本文选择适用面较广的一组为0.09、1.00、1.30、1.44、1.92)。
3 气流场数值计算结果与分析
图1
图1
灭弧室结构及采样点位置
Fig.1
Arc quenching chamber structure and the sampling point location
计算条件设置:灭弧室整个行程为260mm,超程为68mm。气体的初始压力为0.6MPa。
边界条件设置:
(1)入口。将压气缸活塞设为压力入口,其值根据断路器的压力行程曲线变化。
(2)出口。将灭弧室下游边界设为压力出口,其值与基础压力0.6MPa相同。
(3)固壁。设定固体壁面速度为0,气体与固体壁面之间热交换按绝热边界处理[10]。
图2
图2
灭弧室内各采样点处压力分布
Fig.2
The pressure distribution of each sampling point in the arc quenching chamber
由于容性小电流开断下压力和密度的变化趋势基本一致,本文以压力参数为例进行分析,图2是分闸过程中P1~P4位置压力的变化过程。可以看出,导流道内气体压力的变化范围较大,由于压气缸的压气增压作用,最大值能达到初始压力和密度的2~3倍,在短燃弧到长燃弧区间内保持在较高的水平,喷口全部打开后虽然有一定下降,但仍能达到初始压力的1.5倍。喉部和喷口下游等主要位置的压力整体趋于稳定,尤其在短燃弧到长燃弧区间内基本可保持在较稳定的水平,到后期,特别是在长燃弧时间点附近,压力值下降较快,且已明显低于初期的压力值。
图3
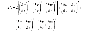
图3 灭弧室内各采样点处马赫数分布
Fig.3
Mach number distribution at each sampling point in arc quenching chamber
通过对计算结果的比较,得到气流马赫数与速度分布一致,图3为灭弧室内P1~P4采样点处马赫数随开距变化曲线。分析可知:90mm开距前,由于喷口堵塞,气流量较少,少量气流经喷口喉部间隙进入下游,大部分气体在上游积聚,灭弧室内P1、P2、P4点气流马赫数较小,P3点位于喷口喉部间隙处,只有有限气流向喷口下游扩散且速度较大,但气流从压气缸流出并流入断口间马赫数均较低,而由于拉伐尔喷口“收–放”作用,使流过喉部的气流速度增大,马赫数随之增大,此时大部分气流由于喷口的堵塞由辅助喷管侧流出,因为辅助喷管通道顺畅,所以流过气体速度逐步增大,马赫数也较大。
图4
图4
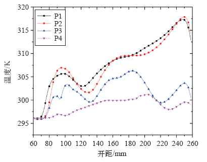
灭弧室内各采样点处温度分布
Fig.4
The temperature distribution of each sampling point in the arc quenching chamber
随着开距加大,喷口逐渐打开,上游积聚的气流得以释放,大量气体经喉部向喷口方向产生强烈的吹弧气流,使P3点马赫数在经历短暂降低后,随行程增加而迅速增大,最终达到最大值。此处马赫数的降低是由于喷口还未完全打开,喉部及喷口结构使流路不畅通导致。但对P1、P2、P4点,喷口打开前后,气流流路基本不变,所以马赫数和速度略微有所增加,仍然保持较低状态。
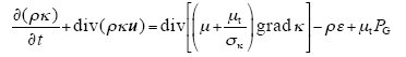
在流体力学中,流体在复杂流路中运动的情况会产生湍流,而湍流动能随时间的变化体现湍流动能的净收支,是衡量湍流发展或衰退的重要指标[11]。
图5
图5
灭弧室内各采样点处湍流动能分布
Fig.5
The turbulent kinetic energy distribution of each sampling point in the arc quenching chamber
4 气流参数混沌行为研究
基于有限体积法数值模拟结果,针对4个采样点的各气流参数进行提取,得到气流参数时间序列,采用C-C方法(关联积分方法)和LE指数方法(最大Lyapunov指数计算方法)计算气流参数时间序列。C-C方法用来求取延迟时间,通过相空间重构将一维时间序列中蕴藏的规律在高维重构后显现出来[14],G-P算法用来得到嵌入维数,FFT变换用来得到平均周期,通过“修正”的最大李雅普诺夫算法计算后,得到各气流参数混沌特征量分布。此处“修正”主要体现为:
(1)由于提取样本点数量有限(从触头分离到完全打开共200组样本),根据经验,进行相空间重构后计算Lyapunov指数有一定误差,本文对数据进行3次样条插值,在不破坏样本点的情况下对数据进行扩充。
(2)对于嵌入维数,以往的选取具有很大的主观性,本文嵌入维数的选取基于饱和嵌入维数,并结合关联维数,增加了准确性。
如图6所示,各图分别为P1~P4压力时间序列的最大Lyapunov指数,其中曲线是压力数值进行3次样条插值后得到的基本样本点,拟合直线斜率即为最大Lyapunov指数。
图6
图6
灭弧室内各点压力时间序列相间y 值分布
Fig.6
Phase and phase y distribution of pressure time series in arc extinguishing chamber
对不同开距下的各特征量数据进行提取,采用最大Lyapunov指数法对灭弧室内吹弧气流各特征量时间序列进行混沌特征识别,得到最大Lyapunov指数计算结果,如图7所示。
根据文献证明,若系统最大Lyapunov指数(LEmax)为正值,说明系统存在混沌现象[15]。即经“修正”的混沌算法分析,所得LEmax为正值,说明断路器开断过程中存在混沌现象。而采样的混沌特征量出现了负值,说明随着触头分离,在某些时空尺度上混沌特征不存在或不持续,表现为解的间断、随机性。
图7中,横向比较图中的数据,同一特征点的压力和密度,速度和马赫数基本具有相同的混沌特征,导致这一结果的主要原因是由于这两对特征量本质上是相互联系的特征量,具有相似的变化趋势。
图7
图7
各点最大Lyapunov 指数计算结果分布图
Fig.7
Distribution of maximum Lyapunov exponent of each point
纵向比较数据,对于压力和密度,P1~P4点LEmax均大于零,表明在各观测点处气流的压力时间序列存在混沌性行为,且由P1~P4点,LEmax呈先增大后减小的趋势,可见气流由起始位置就产生混沌效应,然后作用遍历整个气流流路,同时结合图2,P2点的压力值低于P1点,但压力混沌特征却高于P1点,应用介质恢复理论,为了提高开断能力,可以调整导流道和断口间的结构,降低P1、P2点压力LEmax 。
对于马赫数和速度,P2点的LEmax值较低且为负值,表明此处不存在混沌行为,不具备参考价值;P3和P4点存在混沌特征,且P4点LEmax高于P3点LEmax,结合P3、P4点位置和已有研究,LEmax的增大体现了喷口对于开断的作用,因此,调整此处结构,使喷口马赫数混沌特征增强,有利于提高开断能力。
对于温度和湍流动能,P3点的温度和P2点的湍流动能较低,气流运动剧烈程度较低,同时P4点处温度、湍流动能的LEmax均大于0且湍流动能LEmax值整体呈上升趋势,表明此处湍流从源头到喷口下游的混沌行为发展充分,直接反映出喷口结构对于冷气流湍流现象产生以及混沌效应具有直接影响。这与马赫数和速度反应的结论相同,论证了整个结论的正确性。
5 结论
以550kV高压SF6断路器为研究对象,建立三维气流场物理数学模型,求取开断容性小电流情况下,灭弧室气流场各参数特性,提取关键特征点进行分析,并基于以上研究成果,采用相空间重构的方法和G-P算法,同时采用“修正”算法求取各参数最大李雅普诺夫指数,进行时间序列的混沌分析,并对特征点的各气流参数LEmax进行横向、纵向分析,得出以下结论:
(1)灭弧系统在开断过程中存在混沌性行为。
(2)为了提高开断能力,可以调整导流道和断口间的结构,降低P1、P2点压力LEmax。
(3)为了提高开断能力,可以调整喷口结构,使喷口马赫数和绝对速度混沌特征增强。
(4)对于湍流混沌特性发展的规律,结论同样证明了喷口混沌特征的增强对于开断提高的有力作用。
以上结论均为进一步通过改变灭弧室型面,改变气流流路,实现气流的有效气吹,奠定了一定理论基础。
参考文献
Dynamic arc modeling based on computation of couple electric field and flow field for high voltage SF6 interrupter
[J].DOI:10.1109/TMAG.2004.825462 URL [本文引用: 1]
Study on chaotics of turbulent gas flow for a EHV SF6 circuit breaker
[C].
Arc-induced turbulent mixing in an SF6 circuit breaker model
[J].
SF6新气痕量杂质对SF6电气设备寿命的影响
[J].
Influences of trace im-purities form SF6 new gas on the life of SF6-insulationg electrical equipment
[J].
考虑湍流影响的高压SF6断路器喷口优化设计
[J].The nozzle structure of high voltage SF6 circuit breaker directly affects the interruption performance. In this paper, based on the former investigation results of the turbulent flow and its influence on dielectric recovery property in arc nozzle of SF6 high voltage circuit breaker, a novel idea of fully considering the turbulent control affects to the supersonic speed flow in arc nozzle is proposed for increasing the dielectric recovery speed and the optimization design of arc nozzle structure is realized, in which the multi “expand-shrink” profile nozzle of 550kV SF6 circuit breaker is chosen as the investigation object. The structure parameters of nozzle profile are taken as the optimization variables and the POWELL algorithm is improved and adopted as optimization strategy. Simulation result of non-load breaking under optimized arc nozzle structure shows that the dielectric recovery property satisfies the cold breaking requirement.
Optimi- zation design forarc nozzle of high voltage SF6 circuit breaker considering turbulent influence
[J].The nozzle structure of high voltage SF6 circuit breaker directly affects the interruption performance. In this paper, based on the former investigation results of the turbulent flow and its influence on dielectric recovery property in arc nozzle of SF6 high voltage circuit breaker, a novel idea of fully considering the turbulent control affects to the supersonic speed flow in arc nozzle is proposed for increasing the dielectric recovery speed and the optimization design of arc nozzle structure is realized, in which the multi “expand-shrink” profile nozzle of 550kV SF6 circuit breaker is chosen as the investigation object. The structure parameters of nozzle profile are taken as the optimization variables and the POWELL algorithm is improved and adopted as optimization strategy. Simulation result of non-load breaking under optimized arc nozzle structure shows that the dielectric recovery property satisfies the cold breaking requirement.
高压SF6断路器冷态介质恢复特性试验研究
[J].
Experiment researches on cold state dielectric recovery characteristics in high voltage SF6 circuit breakers
[J].
Experimental modeling of a curved Ranque-Hilsch vortex tube refrigerator
[J].DOI:10.1016/j.ijrefrig.2011.02.013 URL [本文引用: 1]
550kV SF6断路器气流与电弧相互作用混沌研究
[J].The arc is developed in the circuit breaker during the short circuit breaking, and the energy effective dissipation of the arc can directly affect the dielectric recovery characteristics. For qualitatively reflecting the transonic, variable boundary, variable gas flow path, the turbulent flow characteristics and the dynamic behavior of the arc occurring and developing under the short circuit breaking, the equivalent unit cell dynamic arc model was proposed and applied in this paper, and finite volume method was used as the multiple-physical fields simulation tool, the nonlinear arc quenching flow movement behavior of the breaking process was simulated. Moreover, the chaos theory was used to analyze the gas flow parameters of the breaking process, and the existence of arc chaotic characteristics in the arc burning process was identified and obtained.
Chaotic characteristic analysis of the interaction between arc and the gas flow of 550kV SF6 circuit breaker
[J].The arc is developed in the circuit breaker during the short circuit breaking, and the energy effective dissipation of the arc can directly affect the dielectric recovery characteristics. For qualitatively reflecting the transonic, variable boundary, variable gas flow path, the turbulent flow characteristics and the dynamic behavior of the arc occurring and developing under the short circuit breaking, the equivalent unit cell dynamic arc model was proposed and applied in this paper, and finite volume method was used as the multiple-physical fields simulation tool, the nonlinear arc quenching flow movement behavior of the breaking process was simulated. Moreover, the chaos theory was used to analyze the gas flow parameters of the breaking process, and the existence of arc chaotic characteristics in the arc burning process was identified and obtained.
高压SF6断路器灭弧室内激波的混沌特性
[J].
Chaos characteristics of shock wave in arc quenching chamber for SF6 circuit breaker
[J].
非线性时间序列的相空间重构技术研究
[J].
DOI:10.1007/s00520-012-1429-4
URL
PMID:22418599
[本文引用: 1]
There is no information regarding the toxicity associated with autologous hematopoietic progenitor cell transplantation (AHPCT) in patients with multiple myeloma (MM) who have bisphosphonate-induced osteonecrosis of the jaw (ONJ). There is also limited information regarding long-term outcome of these patients.
Research on phase space reconstruction of nonlinear time series
[J].
DOI:10.1007/s00520-012-1429-4
URL
PMID:22418599
[本文引用: 1]
There is no information regarding the toxicity associated with autologous hematopoietic progenitor cell transplantation (AHPCT) in patients with multiple myeloma (MM) who have bisphosphonate-induced osteonecrosis of the jaw (ONJ). There is also limited information regarding long-term outcome of these patients.
/
〈 |
|
〉 |
