基于多物理场耦合的高压SF6断路器冷气流混沌特性研究 |
韩颖,冯厉鹏,曹云东,侯春光 |
Investigation of Chaotic Characteristics for Cold Gas Flow in High Voltage SF6 Circuit Breaker Based on Multi-Physical Field Coupling |
Han Ying,Feng Lipeng,Cao Yundong,Hou Chunguang |
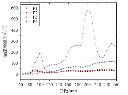
图5 灭弧室内各采样点处湍流动能分布 |
Fig.5 The turbulent kinetic energy distribution of each sampling point in the arc quenching chamber |
![]() |