基于特征频带小波包分析的配电网故障选线的研究
Research on Fault Line Selection in Distribution Network Based on Feature Band Wavelet Packet Analysis
收稿日期: 2016-03-2 网络出版日期: 2018-04-25
| 基金资助: |
|
Received: 2016-03-2 Online: 2018-04-25
作者简介 About authors
叶宝柱 男 1991年生,硕士研究生,研究方向为电力系统及其自动化。
薛超宇 男 1994年生,本科生,专业为电力系统及其自动化。
通过对配电网单相接地故障暂态过程的分析,提出了对暂态接地电容电流进行小波包分解,利用能量法提取出能量最大的频带,对各条线路的特征频带利用模极大值和信号奇异性理论,从而判断出故障线路的新方法。对该方法的选线原理进行了一定的介绍,仿真实验表明该方法具有精确、可靠、适应能力强等特点,具有重要的实际应用价值。
关键词:
Through the analysis of the transient process of single phase to ground fault in distribution network, a new method is presented to study fault line,which decomposes transient grounding capacitive current through the wavelet packet, the maximum energy band is extracted using the energy method, and the modulus maxima and signal singularity theory are used for the characteristic frequency band of each line , and finally which is the fault line is determined.The line selection principle are introduced as well as the line selection basis. Finally, the simulation experiments show that the proposed method is accurate, reliable and strongly adaptive, and it has an important application value.
Keywords:
本文引用格式
叶宝柱, 薛超宇, 张惠娟, 韩叶, 刘伯颖.
Ye Baozhu.
1 引言
我国中低压配电网普遍采用小电流接地的方式[1,2]。在电力系统中最常见同时也是最危险的故障是相与相或相与地之间的短路。单相接地故障在配电网中出现的几率最高,可占总故障的80%以上,此时系统的线电压依然对称,故障电流也较小,不会影响连续供电,故保护装置不必立即跳闸,可以继续运行1~2h。但是在单相接地故障发生后,其他两相的对地电压要升高$\sqrt{3}$倍。当发生间歇性电弧接地时,可能引起弧光接地过电压,这将危及系统绝缘或造成相间短路而导致跳闸事故[3]。因此,迅速、准确地实现故障选线,对于配电网的安全、可靠运行等有着十分重要的意义。目前国内外对故障选线都进行了大量的深入研究,提出了许多故障选线方法,如首半波法、信号注入法和相关分析法等,并开发了很多相应的装置,但是这些方法和装置都存在一定的局限性,许多问题一直未能得到很好的解决[4]。鉴于此,本文提出了一种基于小波包对特征频带提取并结合模极大值奇异性检测原理进行配电网单相接地故障选线的新方法,以期达到提高供电可靠性、提高供电部门和用户的经济效益、维护电网设备安全性的效果。
2 小波包分析理论
相比各种信号分析方法,更加精细的即为小波包分析,它通过对频带进行多层次的划分,进一步分解多分辨率分析并未细分的高频部分,同时可以依据被分析信号的特点,自适应地对频带进行相应的选择,使之与信号频谱相匹配,从而使时域分辨率得到相应的提高,因此,具有十分广泛的实际应用价值[5]。
小波包变换:定义子空间Ujm是函数um(t)的闭包空间,Uj2m是函数u2m(t)的闭包空间,并令um(t)满足双尺度方程

其中,g(k) = (-1)kh(1-k),函数um(t),m = 0,1,…称为由正交尺度函数u0 = φ确定的小波包。
设gjm(t)∈Ujm,则gjm(t)可以表示为

小波包分解为:由{dlj+1,m}求{dlj,2m}和{dlj,2m+1},即 

式中,aj、bj为多尺度分析的分解序列。
随着尺度j的减小,正交小波基函数的空间分解率越低,频率分辨率越高。针对这一问题,采用小波包分解,能将随j的增大而逐渐变宽的频谱窗口进一步分割变细,从而使正交小波变换的缺陷得到一定的弥补,使其具有更好的时频特性[6]。
3 信号奇异性分析和模极大值理论
3.1 信号奇异性
通常信号的奇异性用lipschitz指数来表示。在数学上,lipschitz指数是一种度量,来表征函数的局部特征,其定义为:设函数f(t)在t0附近具有如下特征[7]

则称f(t)在t0处的lipschitz指数为β,其中k是一个小量,β表示函数在该点的正则性,函数在某点的lipschitz指数代表该点的奇异性大小,β越小,函数在该点的奇异性就越大;β越大,函数越光滑并在这点连续、可微。
3.2 模极大值理论与lipschitz指数对应的关系
设小波函数Ψ(t)是m阶消失距、紧支撑且m次连续可微。若函数f(t)在t0点的lipschitz指数是β0(β0<m),同时在t0附近m阶可微,则称小波变换(|WTf(a,b)|)在t0处有最大值,这个结论表明了信号中奇异点的位置与小波变换模极大值间是一一对应的关系[8]。
突变点的变化方向用小波变换模极大值的极性表示,突变点的变化强度用模极大值的大小表示。本文的故障选线就利用了这一显著优点,信号的奇异性检测理论指出了信号发生突变和幅值有很大的关系。在实际中,利用小波分析检测信号突变点的做法为:对信号进行多尺度分析,分解到一定的层次后,找出发生突变的信号,其小波变换后的系数具有模极大值,通过对模量极大值点的检测来确定故障发生的时间点[9]。
4 基于小波包特征频带提取的配电网故障选线新方法
4.1 特征频带的定义
中性点经消弧线圈接地系统中发生单相接地故障的瞬间,零序电压u0以及暂态接地电流id.os分别为


式中,ω0为自振荡角频率;ω为工频角频率;L0为三相线路和电源变压器等在零序回路中的等效电感;τL为电感时间常数。
通常,ω0/ω比较大,而且iC.os和iL.os的频率相差也较大,所以,在发生接地故障的初始阶段,暂态接地电流的主要特征由暂态电容电流确定[10]。
4.2 特征频带提取
对故障暂态电流进行小波包分解,实质是让信号通过高低通组合的共轭正交滤波器组,不断将信号划分到不同的频带上,滤波器组每作用一次,采样间隔增加一倍,数据点数减半。
按照适当的频带宽度,采用小波包分解故障暂态信号采样序列,分解后得到各频带信号对应的能量的计算式为

式中,ωk(j)(m)为小波包分解第(j,k)子频带下的系数,每个子频带下共有m个系数。
采用小波包对故障零序电流作多分辨率分析,根据能量最大的原则选择特征频带来获取暂态电容电流的主要特征。除去工频所在的最低频带后,对中性点不接地配电网,特征频带是能量最大的高频频带;对于中性点经消弧线圈接地的配电网,特征频带是能量次最大的高频频带[11]。这样避免了信号频带能量较小、由于测量和计算误差的存在而导致错误选线的可能,从而为准确可靠的选线提供了基础。
4.3 选线原理
(1)非故障线路特征频带的能量总是大于零,故障线路特征频带的能量总是小于零,并且其绝对值等于其他非故障线路能量的总和。
(2)母线故障时所有线路特征频带能量都大于零,所有线路的模极大值点的极性都相同。
(3)故障线路的模极大值点的极性和非故障线路模极大值点的极性相反,而且故障线路的模极大值数值最大。
5 Matlab仿真实验
运用Matlab仿真库Simulink中的电力系统工具箱,可以建立一个110/10kV电网系统模型,如图1所示,设线路长度分别为:L1 = 9km,L2 = 16km,L3 = 24km,L4 = 13km,L5 = 27km。
图1
线路正序、零序阻抗见表1。
表1 各出线正序、零序阻抗
Tab.1
| 正序阻抗 | 零序阻抗 | |
|---|---|---|
| R/(Ω/km) | 0.51 | 0.68 |
| L/(H/km) | 0.823 7×10-3 | 4.334 6×10-3 |
| C/(F/km) | 69.84×10-9 | 48.10×10-9 |
5.1 仿真实验1
图2
图3
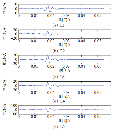
本文选用db10函数,对各出线零序电流进行小波包分解,对于中性点经消弧线圈接地的系统,提取能量次最大的高频频带,得到各条线路零序电流特征频带波形如图4所示。
从图4可以清楚地看出,非故障相(线路L1、L2、L3、L5)波形的极性均相同且都是向上,故障相(线路L4)波形与非故障相相反,其幅值基本上等于非故障相幅值之和。根据选线原理,证明系统中线路L4发生了故障。
图4
5.2 仿真实验2
设T = 0.025s时发生母线接地故障,提取各出线零序电流波形能量次最大的高频频带如图5所示。
图5
表2 其他情况下的选线结果
Tab.2
| 故障线路 | 故障距离/km | 故障初始角/(°) | 选线结果 |
|---|---|---|---|
| L1 | 5 | 270 | L1 |
| L2 | 7 | 80 | L2 |
| L3 | 4 | 18 | L3 |
| L3 | 13 | 90 | L3 |
| L4 | 16 | 140 | L4 |
| L5 | 12 | 30 | L5 |
| 母线 | 0 | 0 | 母线 |
| 母线 | 0 | 150 | 母线 |
由表2可以看出,对于不同故障距离和不同故障时间以及不同故障初始角下发生单相接地故障时,运用本文的分析方法都可以给出正确的选线结果。而且,此选线方法具有很好的抗过渡电阻能力。
6 结束语
本文利用小波包变换对配电网发生单相接地故障选线进行了研究,得出以下结论:
(1)提出了一种利用小波包对暂态零序电容电流进行多分辨率分析,根据能量大小的原则对特征频带进行提取,根据特征频带的波形并结合模极大值奇异性检测原理,分析其极性与幅值关系来进行故障选线的新方法。
(2)建立了配电网发生单相接地故障的仿真模型,大量仿真结果表明,本选线方法对故障选线准确率的提高有很好的效果,实用性很强。同时还具有较强的躲过过渡电阻的能力,且不受TA不平衡电流、故障位置、故障时间、故障初始角和运行方式等因素的影响,具有很好的可靠性和灵活性。
参考文献
非直接接地系统单相接地障选线方法综述
[J].
Shi lintong. Survey on single phase grounding fault line selection in non-direct grounding system
[J].
小电流接地故障选线技术综述
[J].
Survey of fault line selection for small current grounding
[J].
Experimental investigations of overvoltages in neutral isolated networks
[J].
小电流接地选线装置运行现状分析
[J].
Analysis on current situation of small current grounding line selection device
[J].
电力系统故障暂态信号的小波奇异性检测
[J].
Wavelet singularity detection of fault transient signals in power system
[J].
On compactly supported spline wavelets and a duality principle
[J].
基于模极大值理论的配电网接地保护研究
[J].
Study on grounding protection of distribution network based on modulus maximum theory
[J].
配电线路暂态行波的分析和接地选线研究
[C].
Analysis of transient traveling wave and grounding line selection in power distribution lines
[C].
ChengTao Hsieh. High-impedance fault detection utilizing a morlet wavelet transform approach
[J].
/
| 〈 |
|
〉 |