基于特征频带小波包分析的配电网故障选线的研究 |
| 叶宝柱,薛超宇,张惠娟,韩叶,刘伯颖 |
|
Research on Fault Line Selection in Distribution Network Based on Feature Band Wavelet Packet Analysis |
| Baozhu Ye,Chaoyu Xue,Huijuan Zhang,Ye Han,Boying Liu |
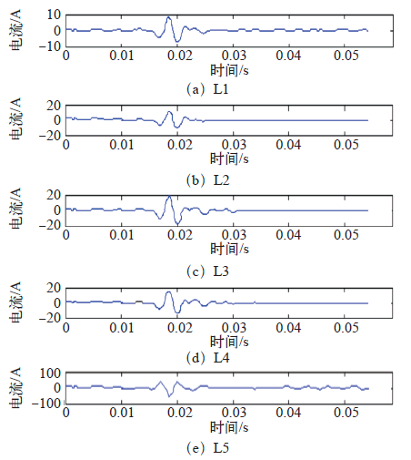
| 图4 特征频带波形(T = 0.019 s) |
| Fig.4 Feature band waveforms when T = 0.019 s |
|