SF6断路器弧前因素对电弧形成过程的影响研究
1.
2.
Study on the Influence of Arc Before Factors on the Arc Forming Process of SF6 Circuit Breaker
1.
2.
收稿日期: 2018-06-24 网络出版日期: 2018-12-31
| 基金资助: |
|
Received: 2018-06-24 Online: 2018-12-31
作者简介 About authors
李 静 女 1977年生,博士,讲师,研究方向为电器及其控制。
王奥飞 男 1992年生,硕士研究生,研究方向为电机与电器。
本文以实际SF6断路器灭弧室结构为计算模型,采用气体动力学方程,从微观角度出发,考虑粒子间的碰撞反应,探求液态金属桥断裂后稳态电弧生成前、触头开距为3mm时,电弧等离子体粒子群的产生、发展及演变规律,分析研究了不同开断电流导致的金属蒸气含量变化对电弧弧前过程中等离子体微观参数的影响;同时研究了不同电极材料造成的二次电子发射系数差异对SF6电弧弧前过程的影响。仿真为稳态电弧研究提供基础理论数据,对于高压开关设备的开发研制具有一定意义。
关键词:
An actual SF6 circuit breaker chamber is adopted as the model in this paper. By gas dynamic equations and collisions between charged particles, the generation, development and variation processes of arc plasma at the break of 3mm are studied from a microscopic view before the breaking of liquid metal bridge and stable arc formation. Effects of the content of metal vapor produced by high breaking current and secondary electron emission coefficient produced by different electrode materials on the microscopic parameters of arc plasma in arc before process are studied here. This simulation can provide the basic theory data for the steady-state arc research, and has certain significance for the development of high voltage switchgear.
Keywords:
本文引用格式
李静, 王奥飞, 樊小敏, 陈洋.
Li Jing.
1 引言
弧前过程包括金属相电弧和气体相电弧两个阶段,两个相态参与电弧过程的粒子成分发生了改变[3]。目前对于弧前过程的物理机理认识尚不完善,对电弧模型的研究主要集中在稳态电弧模型及弧后过程。20世纪70年代末,K. P. Brand和J. Kopainsky开展了标准大气压下SF6电弧等离子体粒子组分的研究,其中原子的多级电离被忽略,只考虑一级电离反应[4]。文献[5]将气压范围拓展到10个大气压,并将硫原子的二级电离反应纳入模型,计算精度得到了提高。文献[6]在研究SF6电弧等离子体时,考虑了铜蒸气的影响,发展了SF6-Cu混合气体粒子组分模型。文献[7]通过仿真得到直流低压空气电弧非平衡态燃弧过程中触头间隙的微观带电粒子密度、平均电子能量等各项微观物理量的动态变化规律,并分析了触头间空气电弧非平衡态燃弧过程及触头间电压对空气电弧形成过程的影响。而对于SF6电弧弧前微观动态过程的研究相对较少,研究SF6断路器电弧的微观动态形成过程及弧前因素的影响,对深入了解电弧形成机制,丰富完善电器电弧理论,提出新式灭弧方法意义重大。
本文以气体动力学模型为基础,考虑了电子、正负离子漂移扩散方程、微观粒子的碰撞方程及电场的泊松方程,基于实际SF6断路器结构,建立了开距为3mm时二维对称的SF6断路器的几何模型,并利用多物理场耦合仿真计算软件COMSOL Multiphysics对上述模型进行求解,分析了大电流开断条件下SF6断路器弧前过程中的电子密度、电场强度、平均电子能量及碰撞能量损失分布等各项微观参数的时变规律,并分析了大开断电流导致的金属蒸气含量变化及触头材料造成的二次电子发射系数差异对电弧弧前过程中微观参数的影响。
2 弧前因素仿真模型
2.1 灭弧室简化模型
由于整个放电过程具有较好的轴对称性,因此本文采用的SF6断路器灭弧室二维简化模型的几何结构如图1所示,主要由触头、触指和喷口组成。其中触头半径11.5mm,触指内径11.5mm,外径38.5mm,触头开距3mm。
图1
1—阴极 2—喷口 3—采样截线 4—SF6 5—阳极
由于模型具有较好的对称性,因此,仿真模型采用二维轴对称模型分析。
2.2 电弧模型假设条件
本文电弧模型基于如下假设条件:①开关断开后,开距固定为3mm不变;②SF6断路器中SF6气体和金属蒸气均匀分布于触头之间;③忽略光电离过程中产生的倍增电子;④忽略电子、离子的对流扩散,只考虑其在电场作用下的迁移运动;⑤假设电弧对称,采用二维轴对称模型进行计算。
2.3 数学模型
2.3.1 气体动力学模型
对于弧前粒子运动过程采用带碰撞项的Boltzmann方程描述,即

对式(1)进行简化,在速度空间上积分,并代入电子迁移率计算式,求解电子数密度和电子能量密度的对数,可得简化方程组为

其中

式中,Γε、Γe为不完全的伽玛函数;Re为电子源;Rε为电子能量损耗;ne为电子密度;nε为平均电子能;De为电子扩散率;με为电子能迁移率;Dε为电子能扩散率。
2.3.2 电场模型
在电场作用下,微观粒子产生运动,电场计算采用泊松(Poisson)方程,即

式中,ε0、εr为灭弧室气体介电常数;E为电场强度;ρv为体电荷密度。
2.3.3 触头间粒子碰撞模型
触头间粒子在电场力的作用下,向触头运动与中性粒子反生碰撞反应,由于SF6气体中的离子种类众多,本文主要考虑了SF6气体与电子的碰撞反应、SF6气体的表面反应、铜蒸气与电子的碰撞反应及铜蒸气的表面反应。由于离子的运动速度相对电子运动很慢,积累能量低,离子碰撞产生的电荷倍增在本文不予考虑。碰撞反应见下表。本文采用的SF6与铜的碰撞截面数据来源于TRINITI database和SIGLO database。
表 SF6气体与电子的空间碰撞反应方程
Tab. Collision reaction equation between SF6 gas and electron
| 序号 | 方程 | 粘附系数 |
|---|---|---|
| 1 | 吸附 | e + SF6 => SF5- |
| 2 | 吸附 | e + SF6 => SF6- |
| 3 | 吸附 | e + SF6 => SF6- |
| 4 | 激发 | e + SF6 => e + SF6s |
| 5 | 伪弹性 | e + SF6s => e + SF6 |
| 6 | 激发 | e + SF6 => e + SF6s |
| 7 | 伪弹性 | e + SF6s => e +SF6 |
| 8 | 激发 | e + SF6 => e + SF6s |
| 9 | 伪弹性 | e + SF6s => e + SF6 |
| 10 | 激发 | e + SF6 => e + SF6s |
| 11 | 伪弹性 | e + SF6s => e + SF6 |
| 12 | 激发 | e + SF6 => e + SF6s |
| 13 | 伪弹性 | e + SF6s => e + SF6 |
| 14 | 电离 | e + SF6 => 2e + SF6+ |
3 仿真结果分析
采用上述模型,本文对初始温度293K,气压15Torr(1Torr = 133.3Pa),触头电压500V,初始电子密度1×1013个/m3,Cu+离子密度1×1013个/m3,电子迁移率为4×1024/(V·m·s),初始电子平均能为4eV,二次电子发射系数0.2,初始电子平均能5.8eV条件下的SF6断路器灭弧室内电弧弧前发展过程进行了仿真,并分析了开断电流变化导致的金属蒸气含量差异及触头材料变化造成的二次发射系数差异对电弧发展过程的影响。
3.1 金属蒸气含量对电弧形成过程的影响
图2
图3
图4
通过对比可以看出,对于不同含量铜蒸气的SF6电弧,铜蒸气含量越高,鞘层区的电子密度、各离子密度、电子平均能和电场强度都有一个明显的提升,其电弧发展也更为迅速。
图5
图6
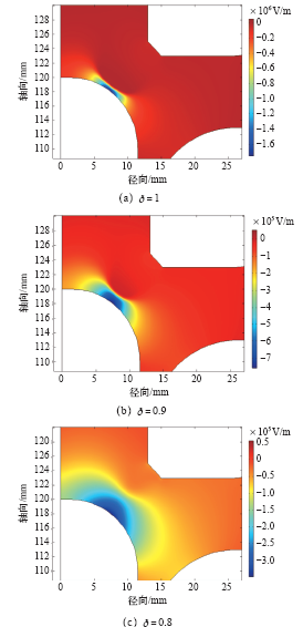
3.2 不同电极材料对电弧形成过程的影响
图7为不同二次发射系数时t = 501ns的电子密度分布图,其二次发射系数分别为1、0.9、0.8。从图中可以看出,二次发射系数对SF6电弧的形成过程影响很大,二次发射系数为1时,电弧已经发展到近阴极,鞘层区外的电子数目剧增达到3.9×1017个/m3;二次发射系数为0.9时,等离子体电弧将要发展到阴极,弧柱头部电子密度达到5.5×1016个/m3;二次发射系数为0.8时,等离子电弧才发展到两电极中间的位置,电子密度最大值只有2×1015个/m3。
图7
图7
不同二次发射系数时的电子密度分布
Fig.7
Distribution of electron density in different two emission coefficients
对比发现,二次发射系数增大时,其电弧发展通道变得集中一些。这是因为当二次发射系数增大后,新生电子中二次发射产生的电子占的比例有所增加,而二次电子的产生依赖于正离子,又因为正离子运动速度较慢,所以在阴极阳极直线最短的路径点上的二次发射最强烈,因此电弧发展通道变得集中,而二次发射系数在0.8时其阳极电场还未反向,没有形成等离子体。
图8为不同二次发射系数时t = 501ns的电场强度分布图,二次发射系数为1时,此时电弧已形成,近阳极及弧柱区电场强度为0,近阴极电场急剧增大,达到1.67×106V/m;二次发射系数为0.9时,电场强度相对有所下降,达到7.3×105V/m。
图8
图8
不同二次发射系数时的电场强度分布
Fig.8
Distribution of electric field intensity in different two emission coefficients
由不同二次发射系数时的电子密度,电场强度分布可以看出二次发射系数增大时,电弧发展速度加快,电弧发展通道变得集中。
4 结论
为了揭示SF6断路器弧前因素对SF6电弧形成过程的影响,本文以气体动力学模型为基础,考虑了电子、正负离子漂移扩散方程、微观粒子的碰撞方程及电场的泊松方程,基于实际SF6断路器结构,研究了在触头间距为3mm时不同金属蒸气含量、电极材料对SF6电弧形成过程的影响,得到结论如下:
(1)铜蒸气含量越高,鞘层区的电子密度,各离子密度、电子平均能、电场强度都有一个明显的提升,铜蒸气的混入显著加速了电弧的形成。
(2)触头材料二次发射系数的增大会促进等离子体向阴极发展,从而不利于电弧熄灭,同时二次发射系数还影响电弧的形状。
参考文献
电力系统安全稳定标准研究
[J].
Research on power system security and stability standards
[J].
金属相气相分断电弧状态转换机理的研究
[J].
Particle densities in a decaying SF6 plasm
[J].DOI:10.1007/BF00885870 URL [本文引用: 1]
Thermodynamical properties of the plasma SF6 in the temperature range from 230 to 20 000K and pressures from 0.1 to 1.0 MPa
[J].
Thermodynamic properties and transport coefficients in SF6 -Cu mixtures attemperatures of 300-30 000 K and pressures of 0. 1-1 MPa
[J].DOI:10.1088/0022-3727/27/6/017 URL [本文引用: 1]
/
| 〈 |
|
〉 |