SF6断路器弧前因素对电弧形成过程的影响研究 |
| 李静,王奥飞,樊小敏,陈洋 |
|
Study on the Influence of Arc Before Factors on the Arc Forming Process of SF6 Circuit Breaker |
| Li Jing,Wang Aofei,Fan Xiaomin,Chen Yang |
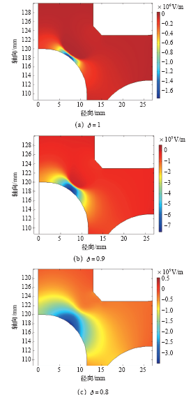
| 图8 不同二次发射系数时的电场强度分布 |
| Fig.8 Distribution of electric field intensity in different two emission coefficients |
|