基于有限元仿真的沿面介质阻挡放电装置静电场影响因素研究
1.
2.
Research on Electrostatic Field Influencing Factors in Surface Dielectric Barrier Discharge Based on Finite Element Simulation
1.
2.
收稿日期: 2017-04-12 网络出版日期: 2017-07-25
Received: 2017-04-12 Online: 2017-07-25
作者简介 About authors
梁利娟 女 1988年生,硕士,主要研究方向为高电压绝缘及计算机仿真技术。
刘 辉 男 1987年生,硕士,主要研究方向为高电压绝缘及计算机仿真技术。
为了提高沿面型介质阻挡放电装置的放电特性,优化其结构设计,以螺环型沿面放电作为研究对象,利用有限元仿真软件对沿面介质阻挡放电装置进行静电场的仿真分析,研究高压电极线径、高压电极间距(螺距)等对沿面介质阻挡放电装置静电场的影响。仿真结果表明:在气隙的同一位置,场强随线径的减小而非线性减小。选取电极线径较小、介质厚度薄、较大相对介电常数的介质,均可以降低放电起始电压,为结构优化设计提供参考依据。
关键词:
Surface dielectric barrier discharge (SDBD) can produce low temperature plasma at atmospheric pressure, which is in large area and has high energy density. In order to improve discharge characteristics of SDBD, optimize the structure design, taking a cylinder surface discharge reactor as the object, this paper simulate and analysis the surface dielectric barrier discharge device by using finite element analyzing soft. Research the influence of excitation voltage, high voltage electrode wire diameter, dielectric thickness and relative permittivity on SDBD device.
Keywords:
本文引用格式
梁利娟, 刘辉, 许通, 张琦.
Liang Lijuan.
1 引言
沿面型介质阻挡放电作为一种新型的介质阻挡放电形式,对其物理过程、作用机理进行研究具有重要的理论意义与工业价值。在沿面型介质阻挡放电中,介质板和气体交界面对放电的发展有至关重要的影响。H.J.M. Blennow 等人依据Paschen定律和空气中均匀电场的击穿场强建立了一个简单的模型,计算了介质阻挡放电中气隙中的空间电荷分布;Braun等人通过1.5维的数值方法解释了单介质阻挡的放电特性;国内李应红等采用PSpice中的数学宏模型来建立等离子体放电的模型并对用于流动控制的对称布局等离子体激励器进行了仿真;这些研究都取得了一定的进展并成为等离子应用的技术基础,但对于沿面介质阻挡放电的放电理论等还需进一步的研究[4,5,6,7,8,9],因此,对于沿面放电相关特性和影响因素进行研究具有重要理论意义和应用价值。
本文主要是以螺环型沿面放电作为研究对象,利用有限元仿真分析软件对沿面介质阻挡放电装置进行静电场的仿真,对影响沿面放电特性的因素进行分析研究,为沿面放电理论研究提供参考,并为结构优化提供依据。
2 电场分析方法及仿真模型的建立
2.1 电场分析方法
由静电场的基本方程可得出各向同性、线性、均压介质中电位ϕ满足泊松方程,即Δ2ϕ = -ρ/ε,当场域中无空间电荷时满足拉普拉斯方程即Δ2ϕ = 0,其中,Δ是拉普拉斯算子;ρ为自由电荷密度;ε为介电常数。
在不同介质分界线面上,场量满足边界条件:

边界条件包括:第一类边界条件是给定边界上的值f1(p),f1(p)是边界点p的函数或常数;第二类边界条件是给定边界上法向导数的值f2(p) = ∂ϕ/∂n。
同时考虑在工频电压下,电位分布满足拉普拉斯方程,于是静电场的边值问题对应的变分问题就是求泛函数的极小值[10]

式中,Ω为ϕ的定义域;Γ为定义域的闭合边界。则整个计算场域内变分问题方程即可表示为[11]

令F(ϕ)对ϕ的导数等于零就可以得到线性方程组

式(3)中,系数矩阵K又称为刚度矩阵,再利用边界条件,就可以求出每个节点的电位[12]。然后由电位求电场强度、电荷密度及电流密度等其他物理量。通过建立二维或三维电场计算模型,由有限元计算软件可方便地实现上述计算过程,得出需要的计算结果。
2.2 仿真模型的建立
图1
图1
沿面介质阻挡放电装置的三维结构模型
Fig.1
Three-dimensional structure of surface dielectric barrier discharge device
图2
图2
沿面介质阻挡放电装置的二维简化模型
Fig.2
Two-dimensional simplified model of surface dielectric barrier discharge device
3 高压电极直径(线径)对静电场的影响
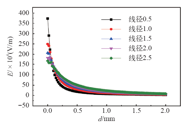
高压电极线径选取0.5mm、1.0mm、1.5mm、2.0mm、2.5mm。激励电压设定为15kV。以高压电极与介质的切点为坐标原点(0,0),建立坐标系,选取与上文同样的路径,考察5种线径下该路径上的电场强度。在该路径上,仿真得到5种线径下电场强度如图3所示,横坐标为距离坐标原点的距离d,纵坐标为电场强度。
图3
从图3可以看出,在研究的范围内,高压电极和介质管之间间隙是气体固体复合绝缘,介质管的介电常数是气体的5.5倍,因而该区域介电常数小的气体电场强度严重畸变,线径的增加意味着高压电极和介质管之间的气体间隙减小,放电间隙的减小,必然使得电场变大,放电起始电压减小,但是电极和介质管切点附近0.1mm范围很小距离内,随着电极增大,间隙几乎不变,对该区域影响更大的是高压电极的曲率半径,因而随着电极线径增大,电场反而变小;在d>0.1mm之后,随着线径的增大,场强增大。
整个放电装置中最大电场强度随线径的变化如图4所示。
图4
图4
线径对装置最大电场强度的影响
Fig.4
Effect of wire diameter on the maximum electric field intensity
从图4可以看出,沿面介质阻挡放电装置最大电场强度随着线径的增大非线性减少,变化趋势是随着线径的增大,装置最大电场强度的衰减逐渐变缓。因此,在考察的范围内,线径的减少,使得沿面介质阻挡放电装置的放电起始电压降低。
4 螺距对静电场的影响
图5
图6
图7
5 结论
(1)随着线径的减少,沿面介质阻挡放电装置的起始放电电压降低。在考察的路径上,在d<0.1mm时,随着线径的减少,电场强度增大。d>0.1mm时,随着线径的减少,电场强度降低。
(2)螺距较小时,螺距间的电场均可以达到空气的击穿场强,但是从放电的动态角度看,电极间的放电可能会受到抑制,形成自约束放电。
参考文献
全国电力系统高压开关设备10年运行状况述评
[J].
The commentary on the state of HV switchgear in the national electricity system for ten years
[J].
Dielectric-barrier discharge excitated by repetitive nanosecond pulses in air at atmospheric pressure
[J].
常压空气中大间隙介质阻挡放电特性
[J].
Large-gap dielectric barrier discharge characteristics at pressure air
[J].
Optical characterization of surface dielectric barrier discharge
[J].
沿面型介质阻挡放电的数值仿真计算
[J].
Numerical simulation of surface dielectric barrier discharge
[J].
多脉冲均匀介质阻挡放电特性的仿真及实验研究
[J].
Simulationg and experimental research on characteristics of multi-pulse uniform dielectric barrier discharge
[J].
Oxidation of mercury by active species generated from a surface dielectric discharge plasma reactor
[J].
Innovative approach for benzene degradation using hybrid/packed-bed discharge plasma
[J].
750 kV高压电抗器笼式出线结构均压特性研究
[J].<p>750kV变电站内高压电抗器多采用笼式分裂导线与管母连接,该结构形式较为复杂,容易发生严重的电晕放电,不仅造成功率损耗,而且给周围环境带来可听噪声和无线电干扰,因此有必要对高压电抗器出线结构采取一定的防晕措施。 本文采用三维有限元法,对750kV变电站高压电抗器出线回路进行了仿真计算,得出了其三维电位及电场分布规律,研究了笼式出线各分裂导线表面的电场分布情况,分析了不同屏蔽环配置对其分布的影响,提出了高压电抗器笼式出线结构的屏蔽环配置建议。本文的研究成果有效的改善了750kV高压电抗器笼式出线结构的均压特性,已在750kV电站的设计和建设中得到应用。</p>
Voltage sharing characteristics of cage outgoing line structure for HV reactors in 750kV power grid
[J].<p>750kV变电站内高压电抗器多采用笼式分裂导线与管母连接,该结构形式较为复杂,容易发生严重的电晕放电,不仅造成功率损耗,而且给周围环境带来可听噪声和无线电干扰,因此有必要对高压电抗器出线结构采取一定的防晕措施。 本文采用三维有限元法,对750kV变电站高压电抗器出线回路进行了仿真计算,得出了其三维电位及电场分布规律,研究了笼式出线各分裂导线表面的电场分布情况,分析了不同屏蔽环配置对其分布的影响,提出了高压电抗器笼式出线结构的屏蔽环配置建议。本文的研究成果有效的改善了750kV高压电抗器笼式出线结构的均压特性,已在750kV电站的设计和建设中得到应用。</p>
/
| 〈 |
|
〉 |