基于有限元仿真的沿面介质阻挡放电装置静电场影响因素研究 |
| 梁利娟,刘辉,许通,张琦 |
|
Research on Electrostatic Field Influencing Factors in Surface Dielectric Barrier Discharge Based on Finite Element Simulation |
| Liang Lijuan,Wu Xiaozhao,Xu Tong, |
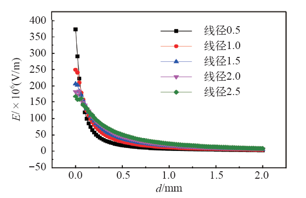
| 图3 线径对电场强度的影响 |
| Fig.3 Effect of wire diameter on theelectric field intensity |
|