应用复系数滤波器的不平衡电网电压锁相方法
苏州大学智能结构与系统研究所苏州 215131
Synchronous Reference Frame PLL with Complex Coefficient Filter Under Unbalanced Three-Phase System
Institute of Intelligent Structure and Systems Soochow University Suzhou 215131 China
收稿日期: 2016-02-8 网络出版日期: 2016-08-25
基金资助: |
|
Received: 2016-02-8 Online: 2016-08-25
作者简介 About authors

谢门喜,男 1984年生,硕士,研究方向为并网同步技术。
并网型电力电子变流设备需要精确、实时检测电网电压的相位以实现同步控制。若三相电压不平衡,同步旋转变换锁相方法经Clark变换后存在负序分量,引起相位偏差的信息不准确,导致相位检测偏差。复系数滤波器具有极性频率选择带通特性,保留正序分量,衰减同频率的负序分量,同时抑制其他高次谐波分量。本文分析了复系数滤波器的特性,将其应用至锁相环外,使馈入后级鉴相器的信号无污染,Matlab/Simulink数字仿真结果表明了该滤波器针对不平衡电压的有效性,最后采用TMS320F28335控制器实现了算法控制软件,实验波形验证了该方法的正确性。
关键词:
Grid connected power electronic device requires precise detection of the grid voltage phase angle for synchronization in real time. If three-phase grid voltages are unbalanced, the α-axis and β-axis voltage contains negative sequence components. It gives rise to ripple in phase detector of synchronous reference frame phase-locked loop (SRF-PLL) and causes detected phase angle inaccurate. Complex coefficient filter (CCF) has the characteristics of band-pass at the positive frequency sequence meanwhile attenuates the negative sequence as well as other high order harmonics. In the paper, the feature of CCF is analyzed and its application in pre-loop of SRF-PLL to make the signal fed SRF-PLL clean is analyzed. The simulation is carried out by Matlab/Simulink to verify the correctness and effectiveness. In the end, the algorithm has been implemented and tested in a float-point DSP TMS320LF28335.
Keywords:
本文引用格式
谢门喜, 朱灿焰, 杨勇.
Xie Menxi.
1 引言
电网电压相位实时检测是一项基本的技术,高精度、快速的锁相同步环节对并网型电力设备控制有重要的影响[1]。同步旋转坐标系下锁相环(Synchronous Reference Frame Phase-Locked Loop,SRF-PLL)是一种流行的实用化方法[2,3,4],其结构包括三个部分,鉴相器将三相电压信号利用Park变换检测相位偏差,环路滤波PI调节器滤除相位偏差中的高频成分,积分型振荡器利用偏差稳态量计算相位信息,通过不断地闭环调整,直到偏差为恒定值,输出信号实时跟踪输入信号。当三相电网电压平衡时,鉴相器输出为直流成分,SRF-PLL中的环路滤波器可设计为高带宽系统,获得足够稳态精度和较快的动态响应。实际电网系统由于负载不对称及其动态性,经常出现电压不平衡状态,此时,锁相同步环节应能追踪正序分量的相位[5]。当三相电网电压不平衡、含有谐波污染时,Park变换输出包含扰动分量,不能精确地反映基波正序分量相位偏差。为解决这一问题,一种方法是在获得电压信号后,在PLL环路外设置滤波器,精确得到基波正序分量,再进行锁相。但常用的各类低通滤波器无法区分同频率的正序、负序分量,使得相位检测存在误差。本文首先分析了不平衡三相电压αβ坐标系下的信号特征,指出了负序分量对SRF-PLL的影响。针对复系数滤波器的频率选择特性,将其应用于锁相环路前端滤波,以适应电网电压不平衡情况。其次,数字模拟仿真给出了不平衡、谐波输入条件和相位检测偏差范围。最后,构建了基于DSP的实验平台,给出了CCF滤波器的实现代码,测试波形验证了可行性。
2 不平衡电压信号特征
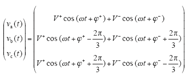
忽略零序分量,不平衡的三相电压可表示为[6]
式中,V+为abc坐标系下的正序分量最大值;V-为负序分量最大值;φ+、φ-为初相位;ω为基波角频率,θ = ωt + φ+为待检测基波正序分量实时相位角。
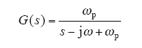
应用Clark变换,可得
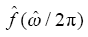
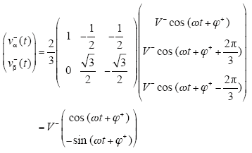
式中,vα+(t)、vβ+(t)为αβ坐标系下的正序分量,vα-(t)、vβ-(t)为负序分量,且
式(3)表明,αβ坐标系下正序分量是幅值为V+、以角速度ω逆时针旋转的电压空间矢量;式(4)表明,负序分量是幅值为V-、以角速度ω顺时针旋转的电压空间矢量。
如图1所示,在SRF-PLL环路外配置带通滤波环节,只让αβ坐标系下的正序分量进入后续模块,消除负序分量的影响,可使系统适应电压不平衡状况。
图1
3 复系数滤波器
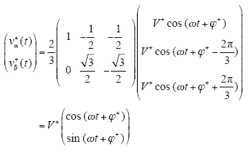
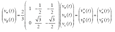
式中,ω = 2πf = 2π×50rad/s,ωp为剪切频率,其伯德图如图2所示;G(s)在ω处放大倍数为1,相位无滞后,而其余频带内均衰减,且在-ω处衰减。
图2
图3
图3
负序分量衰减与$\omega_{p}$的函数
Fig.3
Negative sequence attenuation as a function of $\omega_{p}$
将CCF应用于图1中滤波位置构成CCF-SRF-PLL系统,将使得锁相系统适应不平衡状况,同时由于CCF对高次谐波呈现衰减特性,使得它也适应一定程度的谐波污染状况。
图4
4 数字仿真
为了验证CCF的有效性,利用Matlab/Simulink进行数字仿真。
图5
图5给出了不平衡情况下的仿真结果,从上往下的波形依次为三相电压vabc,v+αβ,频率检测值
图6
图7
5 实验结果
以浮点型TMS320F28335为核心,在CCS开发环境下,采用C语言编写软件实现CCF-SRF-PLL锁相算法。以DSP为核心的信号发生器模拟电网电压,经调理后送入片上12位A-D模块进行转换,片内定时器产生频率为10kHz的采样脉冲驱动中断程序运行,算法每0.000 1s执行一次。对于三角函数,调用优化后的浮点运算库直接计算。积分运算采用后向欧拉方法实现,PI调节器采用增量式结构以减小高速运算中的累计误差。
CCF的实现代码如下:
static float sum_alfa[2]={0};
static float sum_beta[2]={0};
sum_alfa[0]=sum_alfa[1];
sum_beta[0]=sum_beta[1];
ccf_out_filter.alpha[0]=ccf_out_filter.alpha[1];// refresh
ccf_out_filter.beta[0]=ccf_out_filter.beta[1];// refresh
sum_alfa[1]=(in_nofilter.alpha-ccf_out_filter.alpha[0])*wp-ccf_out_filter.beta[0]*2*pi*50;
ccf_out_filter.alpha[1]=out_filter.alpha[0]+(sum_alfa[0]+sum_alfa[1])*Ts*0.5;
sum_beta[1]=(in_nofilter.beta-ccf_out_filter.beta[0])*wp+ccf_out_filter.alphar[0]*2*pi*50;
ccf_out_filter.beta[1]=ccf_out_filter.beta[0]+(sum_beta[0]+sum_beta[1])*Ts*0.5.
图8
图9
6 结束语
应用CCF滤波器在环路外前置滤波,从不平衡电压信号中分离出同频次的正、负序分量,仅使αβ坐标系下的正序分量作为SRF-PLL的输入,在电网电压不平衡、谐波污染状况下有效跟踪正序分量,稳态误差小。CCF参数调整便利,利用当前值交叉反馈得到滞后数据,数字化编程实现简单,运算量小。
参考文献
A phase tracking system for three phase utility interface inverters
[J].
三相数字锁相环的原理及性能
[J].
Principle and performance of the three-phase digital phase-locked loop
[J].
基于dq 变换的三相软件锁相环设计
[J].
Three-phase software phase-locked loop based on dq reference frame
[J].
Performance improvement of a prefiltered synchronous-reference-frame PLL by using a PID-type loop filter
[J].
dq -frame cascaded delayed signal cancellation-based PLL: analysis, design, and comparison with moving average filter-based PLL
[J].
Grid synchronization systems of three-phase grid-connected power converters: a complex-vector-filter perspective
[J].
Multiple-complex coefficient-filter-based phase-locked loop and synchronization technique for three-phase grid-interfaced converters in distributed utility networks
[J].
/
〈 |
|
〉 |
