应用复系数滤波器的不平衡电网电压锁相方法
谢门喜,朱灿焰,杨勇

Synchronous Reference Frame PLL with Complex Coefficient Filter Under Unbalanced Three-Phase System
Menxi Xie,Canyan Zhu,Yong Yang
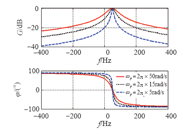
图2 CCF 频率响应
Fig.2 Frequency response of CCF