MMC型STATCOM子模块电容电压的自适应优化平衡控制
威凡智能电气高科技有限公司 镇江 212132
Self-Adaptive Control of the Sub-Module Voltage for STATCOM Based on Modular Multilevel Converter
Weifan Intelligent Electrical High-Tech Co. Ltd Zhenjiang 212132 China
责任编辑: 李小平
收稿日期: 2015-05-10 网络出版日期: 2015-08-25
Received: 2015-05-10 Online: 2015-08-25
作者简介 About authors

邹积勇 男 1980年生,博士,高级工程师,研究方向为电力电子功率拓扑,电能质量优化治理装置系统研发。

黄秋燕 女 1986年生,硕士,工程师,研究方向为电力系统仿真,电力电子控制技术。
对模块化多电平变换器(Modular Multilevel Converter,MMC) 子单元模块电容电压的谐波特性进行理论分析,并给出电容值选型的计算方法。针对传统的基于CSPWM分级电容电压平衡控制和基于NLM排序电容电压平衡控制,提出了一种适合MMC型STATCOM的自适应电容电压优化平衡控制策略,将平衡控制的重点放在如何选择最优控制器上。使用Matlab/Simulink对自适应优化控制策略进行仿真,同时搭建3kvar的实验平台,仿真及实验结果一致,结果均表明该优化平衡控制策略与传统方法相比,可以在不增加电容电压波动的前提下,降低器件的开关频率,并显著提高电容电压的响应速度。
关键词:
The harmonic characteristic of sub-module capacitor voltage in modular multilevel converter is analyzed. Based on the result of theoretical analysis, the principle and calculation method for the selection of sub-module capacitance are given. In order to solve the problem of hierarchical control strategy based on carrier shifted PWM modulation and the capacitor voltage sorting control based on nearest level modulation, a novel self-adaptive capacitor voltage balancing algorithm for STATCOM have been presented. The proposed control strategy is verified by simulation Matlab/Simulink, and the results show that this balancing algorithm can achieve low switching losses, fast DC voltage response speed and good dynamic performance.
Keywords:
本文引用格式
邹积勇, 黄秋燕, 杨志, 杨立军.
Zou Jiyong.
1 引言
随着电力电子装置在电力系统的广泛应用,电力系统的电能质量问题也随之日益突出,与此同时,精密设备制造、生产过程自动化等均对电能质量提出了更高的要求,因此,改善电能质量已成为电力电子在电力系统中的研究热点。模块多电平变换器(Modular Multilevel Converter,MMC)采用模块化设计,通过调整子模块的串联个数可以实现电压及功率等级的灵活变化,并且可以扩展到任意电平输出,减小了电磁干扰和输出电压的谐波含量,输出电压非常平滑且接近理想正弦波形,因此在网侧不需要大容量交流滤波器;开关器件的开关频率低,开关损耗也相应减少;由于MMC拓扑将能量分散存储在桥臂的各个子模块电容中,提高了故障穿越能力。因此MMC型静止同步补偿器(以下简称M-STATCOM)也已成为近年来国内外研究的热点[1,2,3]。M-STATCOM采用半桥型模块化结构,电容电压不均衡会导致装置输出电压和电流THD变大,不平衡工况下该问题会直接影响系统的故障穿越能力,严重时危害其他装置的正常安全运行。文献[4]将电容均压策略与载波相移调制技术结合,仅在PWM波电平变换点进行投切操作,称为基于载波相移的子模块均压优化技术。每次投切操作根据电流方向,仅改变电容电压最高和最低子模块的工作状态,以起到降低开关频率的目的。但该方法对均压控制器的控制频率要求较高,实现有一定难度。文献[5]将重点放在电容电压越限的子模块上,对电容电压未越限的子模块,通过引入保持因子增加保持原来状态的概率,以降低开关损耗,该方法为基于保持因子的子模块均压优化技术。文献[6,7,8]在原有子模块调制信号基础上叠加相应控制电容均压的修正信号,从而改变子模块吸收的有功功率实现直流电容电压平衡。
本文首先分析了M-STATCOM子单元模块电容电压的谐波特性,并给出了电容值的选取方法,同时结合三相MMC电容均压问题的产生及控制机理,提出了一种适合MMC型STATCOM系统的自适应电容电压优化平衡控制策略,能够显著降低器件的开关频率,减少开关损耗,提高电容电压的响应速度。最后,通过Matlab/Simulink仿真验证了本文所提出的优化策略的效果。
2 MMC电容电压谐波特性及容值计算
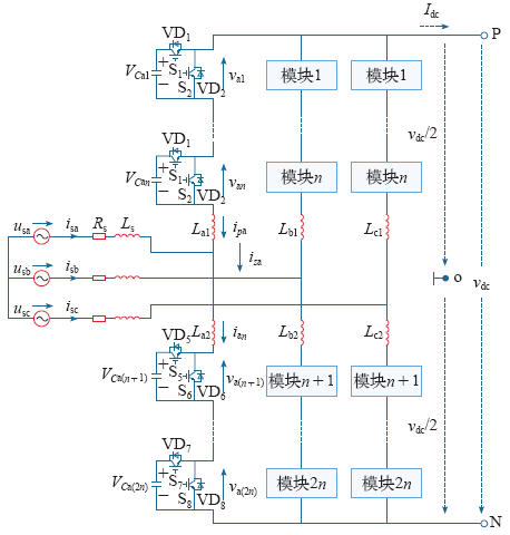
图1为三相模块化多电平变换器主电路拓扑示意图,其中,usa、usb、usc为电网侧三相交流电压,Ls为线路等效电感,Rs为线路电阻,ipj、iNj(j = a,b,c)为三相上、下桥臂电流,P、N分别为直流支撑电压的正、负母线,母线电压为Vdc,o为假想直流母线电压的中点,即VPo = - VNo = 1/2Vdc。
图1
MMC变换器有6个桥臂,每个桥臂都是由n个相同的子模块和一个桥臂电抗L串联而成,每个子模块包含两个IGBT 和续流二极管组和一个储能电容[9],通过控制子模块的投入与切出拟合出期望的交流输出电压。三相调制波相差120°,保证交流输出电压三相对称,一个相单元每一时刻投入的子模块数固定,上下桥臂共投入n个子模块,维持直流母线电压恒定。
为了保持MMC子模块电容电压的平衡,进入变换器的有功功率应等于送出的有功功率与变换器损耗的有功功率之和,否则多余或不足的能量引起子模块电容储能的变化将造成电容电压上升或下降。同时,输入变换器的无功功率也会引起子模块电容产生能量波动。
2.1 MMC电容电压交流谐波特性
MMC变换器6个桥臂的工作规律相同,以A相桥臂为例进行分析。图2为MMC 单相等效电路图,其中,箭头方向为各电气量的正方向,usa为电网侧交流输出电压、电流,iPa、iNa为A相上、下桥臂电流,VP、VN为上、下桥臂等效受控电压源,Vdc、idc为直流母线电压、直流母线电流。
图2
令U和I分别为瞬时输出电压、电流的有效值或直流分量,设A相输出电压为

由于任意时刻投入n个模块,故可假设能量在n个功率单元中平均分配,每个功率单元的瞬时能量为

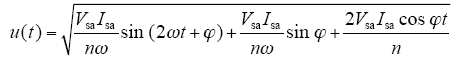
可知,功率单元直流电容电压瞬时值为

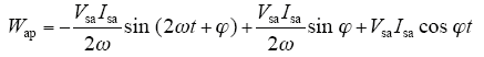
从式(3)可知,在含有有功功率,或者说M-STATCOM进行三相平衡补偿时,输出电流中为无功分量时,功率单元直流电容电压主要含有2次和1次脉动。
2.2 MMC电容电压容值计算
忽略直流母线电压和电流的波动,则A相上桥臂电压和电流的表达式为


可得,A相上桥臂充电功率为

式中,电压调制比
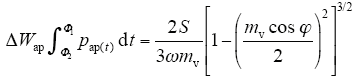
当iap = 0时,上桥臂模块总电容电压达到极限,分别对应时刻Φ1、Φ2。当Φ1< ωt<Φ2时,上桥臂模块电容的能量变化为

设A相上桥臂子模块电容电压最大值、最小值分别为vap(t1) = VCa(1 + ε),van(t2) = VCa(1 - ε),则A相上桥臂单个子模块电容的存储能量变化为

根据ΔWap = nΔWC可得到电容容量的计算公式为

3 电容均压控制策略
目前适用于模块化多电平变换器的电容均压控制策略主要包括基于最近电平逼近调制(Nearest Level Modulation,NLM)的排序控制和基于载波移相脉宽调制(Carrier Shifted PWM,CSPWM)的分级控制,前者为针对MMC拓扑的自身特点提出,后者衍生于级联多电平电容均压策略。其中基于NLM的排序均压控制策略物理概念明确,其原理是使用最近的电压矢量或电平瞬时逼近调制波,通过NLM算法给出每一时刻系统中投入和切除子模块的个数,而电容电压排序控制解决具体哪些子模块投入和切除的问题。基于NLM的排序均压控制策略根据电容电压的大小、输出电平数以及桥臂电流方向,选择相应的子模块触发导通。
基于CSPWM的分级控制策略,将子模块电容均压的方法分为平均电压均衡控制(average balancing control)、独立电压均衡控制(individual balancing control)以及桥臂电压均衡控制(arm balancing control)三部分[8],通过在调制信号上叠加平均电压控制信号、独立电压以及桥臂电压平衡控制以保证各子模块电容电压在三相之间、各相上、下桥臂之间以及各桥臂内部子模块之间平均分配。
上述的控制策略在具体实现过程中存在硬件需求较高、开关损耗较大、开关频率不一致,其实际效果不太理想。如果可根据子模块电容电压情况自动选择合适的控制器,便可在开关频率和均压效果之间折中,具有很强的实用意义。按照这种思想,在电容电压额定值附近设定一组电压上、下限,将平衡控制的重点放在电压越限的子模块电容上。若电容最高电压大于设定上限,或者是最低电压小于设定下限,模式切换控制器自动选择基于NLM的排序均压控制策略,若电容电压均未超出上、下限,则选择基于载波移相的分级均压控制策略,该方法称为自适应子模块电容均压优化控制策略,其具体控制框图如图3所示。
图3
4 仿真研究
为了验证M-STATCOM自适应均压优化控制策略的正确性及有效性,本文以三相M-STATCOM在三相三线系统的应用为例进行了仿真验证,系统电压等级为6.6kV,连接电感Ls = 5mH,等效电阻R = 1Ω,每相8个模块,上下桥臂各4个,桥臂串联电感L = 4mH,电容电压设定为1kV,其余仿真参数见表1。
表1 三相1MW仿真模型参数
Tab.1
参 数 | 数 值 |
---|---|
额定输出功率P /MW | 1 |
直流电容容值C /μF | 2 500 |
三角载波频率fc /Hz | 1 000 |
公共母线电压(Vdc = 2Vd) /V | 12 000 |
电容电压初始值VC_Init /V | 12 000/4 = 3 000 |
图4
图5
图6
图7
5 实验波形
表2 三相MMC-STATCOM试验平台参数
Tab.2
Tab.2 Three phase MMC-STATCOM experimental parameter
参 数 | 数 值 |
---|---|
三相电网电压V /V | 220V/50Hz |
额定功率P /kvar | ±3 |
桥臂串联电感L /mH | 8 |
子模块直流侧电容C /μF | 470 |
三角载波频率f /kHz | 5 |
图8
图9
从上述试验波形可以看出,本文提出的控制策略在MMC-STATCOM试验平台上得到了正确的验证,证明了本文所提的理论的正确性。
6 结论
本文提出了一种适用于MMC型STATCOM系统的自适应电容均压优化控制策略,针对传统的基于CSPWM分级电容均压控制和基于NLM排序电容均压控制,将平衡控制的重点放在自动选择合适的控制器上,并分析了M-STATCOM子单元模块电容电压的谐波特性,给出了子模块电容选型的计算方法。最后,通过Matlab仿真和搭建实验平台测试,结果表明该优化平衡控制策略可以在基本不增加电容电压波动的前提下,降低器件的开关频率,并显著的提高了电容电压的响应速度。
参考文献
基于模块组合多电平变换器的STATCOM及其控制
[J].A new modular multilevel converter is proposed for static synchronous compensator (STATCOM), which is hereafter called M-STATCOM. The new shunt comprehensive compensator, features with the advantages such as high modularity, availability, low generation of harmonics, etc. is suitable for medium- or high-voltage utility grid without line-frequency transformers. M-STATCOM can not only be controlled in static var generating condition for reactive power compensation purpose, but also be suitable for the comprehensive mitigation of all the power quality problems under the three-phase unbalanced power systems. The structural characteristics and operating principles of M-STATCOM for both static var generating condition and comprehension compensating condition are analyzed in detail. Moreover two corresponding control schemes are proposed. The effectiveness of the proposed control strategy and feasibility of analysis is validated by the experimental results.
Static synchronous compensator based on modular multilevel converter based STATCOM and its control
[J].A new modular multilevel converter is proposed for static synchronous compensator (STATCOM), which is hereafter called M-STATCOM. The new shunt comprehensive compensator, features with the advantages such as high modularity, availability, low generation of harmonics, etc. is suitable for medium- or high-voltage utility grid without line-frequency transformers. M-STATCOM can not only be controlled in static var generating condition for reactive power compensation purpose, but also be suitable for the comprehensive mitigation of all the power quality problems under the three-phase unbalanced power systems. The structural characteristics and operating principles of M-STATCOM for both static var generating condition and comprehension compensating condition are analyzed in detail. Moreover two corresponding control schemes are proposed. The effectiveness of the proposed control strategy and feasibility of analysis is validated by the experimental results.
Comparison of multilevel converter-based STATCOMs
[J].
Transformerless STATCOM based on a five-level modular multilevel converters
[C].
Reduced switching-frequency modulation and circulating current suppression for modular multilevel converters
[J].
DOI:10.1109/TPWRD.2011.2115258
URL
[本文引用: 1]
This paper describes a modified phase-shifted carrier-based pulsewidth-modulation (PSC-PWM) scheme for modular multilevel converters (MMC). In order to reduce the average device switching frequency, a reduced switching-frequency (RSF) voltage balancing algorithm is developed. This paper also proposes a circulating current suppressing controller (CCSC) to minimize the inner circulating current in an MMC. Based on the double line-frequency, negative-sequence rotational frame, the three-phase alternative circulating currents are decomposed into two dc components and are minimized by a pair of proportional integral controllers. Simulation results based on a detailed PSCAD/EMTDC model prove the effectiveness of the modified PSC-PWM method and the RSF voltage-balancing algorithm. The proposed CCSC not only eliminates the inner circulating current but also improves the quality of the converter ac output voltage. A simple loss evaluation demonstrates that the RSF voltage-balancing algorithm and the CCSC reduce the converter power losses.
MMC型VSC-HVDC系统电容电压的优化平衡控制
[J].介绍模块化多电平换流器(modular multilevel converter,MMC)电容电压平衡的原理以及子模块(sub-module,SM)电容的充放电过程。指出传统的电容电压平衡控制下,子模块投切较频繁,器件开关频率较高,会造成较大的开关损耗。针对传统方法的问题,提出一种适合MMC型直流输电系统的电容电压优化平衡控制策略,将平衡控制的重点放在电容电压越限的子模块上。对电容电压未越限的子模块,优化策略通过引入保持因子使具有一定的保持原来投切状态的能力,以降低开关器件的开关频率。使用PSCAD/EMTDC对优化控制策略进行仿真,结果表明优化平衡控制策略与传统方法相比,可以在基本不增加电容电压波动的前提下,显著降低器件的开关频率。
Optimized capacitor voltage balancing control for modular multilevel converter based VSC-HVDC system
[J].介绍模块化多电平换流器(modular multilevel converter,MMC)电容电压平衡的原理以及子模块(sub-module,SM)电容的充放电过程。指出传统的电容电压平衡控制下,子模块投切较频繁,器件开关频率较高,会造成较大的开关损耗。针对传统方法的问题,提出一种适合MMC型直流输电系统的电容电压优化平衡控制策略,将平衡控制的重点放在电容电压越限的子模块上。对电容电压未越限的子模块,优化策略通过引入保持因子使具有一定的保持原来投切状态的能力,以降低开关器件的开关频率。使用PSCAD/EMTDC对优化控制策略进行仿真,结果表明优化平衡控制策略与传统方法相比,可以在基本不增加电容电压波动的前提下,显著降低器件的开关频率。
Control and experiment of pulse width modulated modular multilevel converters
[J].DOI:10.1109/TPEL.2009.2014236 URL [本文引用: 1]
Theoretical analysis and control of the modular multilevel cascade converter based on double-star chopper-cells (MMCC-DSCC)
[C].
Control and analysis of the modular multilevel cascade converter based on double-star chopper-cells (MMCC-DSCC)
[J].
DOI:10.1109/TPEL.2010.2089065
URL
[本文引用: 2]
This paper presents the modular multilevel cascade converter based on double-star chopper-cells, which is intended for grid connection to medium-voltage power systems without using line-frequency transformers. The converter is characterized by a modular arm structure consisting of cascade connection of multiple bidirectional pulsewidth modulation chopper-cells with floating dc capacitors. This arm structure requires voltage-balancing control of all the dc capacitors. However, the voltage control combining an averaging control with an individual-balancing control imposes certain limitations on operating conditions. This paper proposes an arm-balancing control to achieve voltage balancing under all the operating conditions. The validity of the arm-balancing control as well as the theory developed in this paper is confirmed by computer simulation and experiment.
A vector control technique for medium-voltage multilevel inverters
[J].DOI:10.1109/TIE.2002.801235 URL [本文引用: 1]
最近电平逼近调制的基波谐波特性解析计算
[J].
Analytical calculation of fundamental wave and harmonic characteristics for nearest level modulation
[J].
模块化多电平HVDC输电系统子模块电容值的选取和计算
[J].The mathematical relation between the value of sub-module capacitance and operational characteristics of HVDC system is analyzed in four aspects, i.e., the steady-state energy conversion process, dynamic response process of active power control and transient energy conversion process in modular multi-level converter HVDC power transmission system as well as the requirement to bridge arm protection during bipolar short-circuit fault, is researched. Based on the result of theoretical analysis, the principle and calculation method for the selection of modular multi-level sub-module capacitance are given. Usually, the value of the sub-module capacitance is calculated according to the voltage fluctuation and the requirement to dynamic response characteristic of active power control, and the calculation result is verified by transient voltage fluctuation of sub-model and the requirement to the bridge arm protection. Utilizing the model based on electromagnetic transient simulation software PSCAD, a practical design case is simulated, and simulation results show that the proposed selection principle and calculation method are reasonable and feasible.
Selection and caclation for sub-module capacitance in modular multi-level converter HVDC power transmission system
[J].The mathematical relation between the value of sub-module capacitance and operational characteristics of HVDC system is analyzed in four aspects, i.e., the steady-state energy conversion process, dynamic response process of active power control and transient energy conversion process in modular multi-level converter HVDC power transmission system as well as the requirement to bridge arm protection during bipolar short-circuit fault, is researched. Based on the result of theoretical analysis, the principle and calculation method for the selection of modular multi-level sub-module capacitance are given. Usually, the value of the sub-module capacitance is calculated according to the voltage fluctuation and the requirement to dynamic response characteristic of active power control, and the calculation result is verified by transient voltage fluctuation of sub-model and the requirement to the bridge arm protection. Utilizing the model based on electromagnetic transient simulation software PSCAD, a practical design case is simulated, and simulation results show that the proposed selection principle and calculation method are reasonable and feasible.
/
〈 |
|
〉 |
