基于改进HHT算法的电力系统低频振荡模态辨识研究
Research on Power System Low Frequency Oscillation Modal Identification Based on Improved HHT Method
责任编辑: 郭丽军
收稿日期: 2015-01-19 网络出版日期: 2015-06-25
| 基金资助: |
|
Received: 2015-01-19 Online: 2015-06-25
作者简介 About authors
金 涛 男 1976年生,研究员,博士生导师,主要研究方向为电力系统广域监测和电力系统稳定性分析。
褚福亮 男 1989年生,硕士研究生,主要研究方向为电力系统监测与故障分析。
针对电力系统低频振荡问题,在运用阻尼转矩对单机无穷大系统分析低频振荡机理与特点的基础上,对低频振荡经验模态分解时存在的端点效应问题进行了理论分析与改进,提出了一种基于端点优化对称延拓法的有效改进EMD分解边界效应的HHT算法对电力系统低频振荡进行辨识。通过对测试信号进行仿真,同时也利用广域FNET监测系统的测试结果进行低频振荡参数辨识及抑制实验,研究了该算法在模式辨识方面的有效性和准确性。仿真和实验表明,基于改进HHT算法的低频振荡辨识方法能快速高精度地辨识出振荡模态信息,并能有效指导电力系统稳定器PSS的配置及参数设计,从而维持电力系统的安全与稳定。
关键词:
Aimed at the problem of power system low frequency oscillation, based on analyzing of oscillation mechanism and oscillation characteristics with single-machine infinite bus system, this paper proposed an improved HHT algorithm using end optimization symmetric extension method to identify modal parameters of power system low frequency oscillation. Through simulations with testing signal and restraining experiments utilizing wide-area FNET measurement system, the paper also analyzed the effectiveness and veracity of the proposed algorithm. Simulations and experiments showed that the low-frequency oscillation pattern information can be effectively identified based on the proposed HHT algorithm. At the same time, the proposed method is also proved to have a good help to guide the disposition and parameters’ design of power system stabilizer, thereby the safety and stabilization of power system are maintained.
Keywords:
本文引用格式
金涛, 褚福亮, 李威, 刘奕路.
Jin Tao.
1 引言
随着电力行业技术的不断进步,各区域电网逐步互联,日益形成规模巨大、运行复杂且高维强非线性的现代大型电力系统。高放大倍数快速励磁技术的广泛采用、电网互联的日益扩大也导致电网的运行更加趋近稳定临界点,增大了现代电力系统发生低频振荡从而导致失稳乃至瘫痪的可能性[1]。电力系统中引起低频振荡的因素很多,扰动地点、扰动类型、系统容量和负荷水平等都对低频振荡的受扰轨迹有着明显的影响,反映在扰动轨迹上就有不同的特点,对低频振荡事故的扰动轨迹及其频谱分析可以看出不同扰源(Line Trip、Generator Trip、Load Shedding等)产生的低频振荡在广域测量信号中就具有不同类型的振荡模式、传播规律、波形、阶次、幅值和阻尼等。
目前电力系统低频振荡的分析方法主要归纳为基于系统模型的离线分析方法和基于受扰轨迹的在线分析方法[2]。基于系统模型的离线分析方法有时域仿真法、特征值法和Normal Form方法等。时域仿真法以数值分析为基础,是电力系统暂态稳定分析中广泛采用的分析方法,能充分考虑电力系统非线性因素的影响,对建模几乎没有限制,但由于扰动和时域观测量的选择对时域分析结果影响很大,时域法在大型电力系统小扰动稳定性分析中的实用性较差。特征值分析法是在工作点附近将系统线性化求解系统状态方程矩阵,进而求得特征值,其代表方法是QR法、S矩阵法等,这些算法要么不能应用稀疏矩阵技术存在维数灾问题,要么有可能遗漏其中的弱阻尼模式从而使收敛性得不到保证。Normal Form方法通过非线性向量场的正规形变换将原向量场映射为线性系统,极大地简化了实际问题的复杂性,利用Normal Form理论可以研究系统中的模态谐振现象及模态的非线性相关性,此方面的理论及应用还在进一步的发展之中。
近年来,研究低频振荡的国内外学者逐渐把研究方法集中在受扰轨迹的分析方面,目前针对低频振荡问题所采用的分析方法主要有FFT变换、小波变换法、Prony法、HHT算法和基于类噪声信号的分析方法等[3,4]。FFT变换无法分析出阻尼特性和局部特性,所以不适于非线性、非平稳信号。小波分析的不足是很难提取出信号的衰减特征,且计算复杂度高于实现电力系统快速在线分析。Prony法可以认为是傅里叶算法的扩展并能够提取出低频振荡的模态信息,但有定阶问题不确定及抗噪声能力差等不足。基于类噪声信号的分析法假定电网内持续存在类似噪声信号的小幅波动,该方法的研究与应用还在进一步发展之中[5]。希尔伯特-黄变换(Hilbert-Huang Transform, HHT)算法是近年来广泛研究的新算法,对于处理非线性非平稳电力信号如低频振荡、谐波分析等方面有清晰的物理意义,但其在理论上仍存在一些问题(如端点效应等),还需要进一步研究和完善[6]。
本文在分析低频振荡特点的基础上,通过端点优化对称延拓法,提出一种改进的适于电力系统非平稳、非线性信号的HHT低频振荡分析方法,最大程度缩小经验模态分解EMD的误差范围。仿真分析与实验表明,本文提出的方法不仅可以准确提取出电力系统低频振荡的振荡模式和振荡特性,而且能有效指导PSS投放以维持电网安全稳定。
2 低频振荡及其HHT算法分析
图1
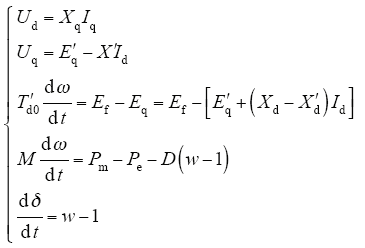
根据图1,利用电磁理论和电力系统理论分析可把该系统相应发电机dq坐标标幺值数学模型表示成

图2

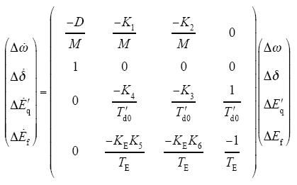
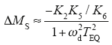
进一步分析可得,系统中电压调节器等所导致的磁链变化所产生的转矩ΔMe2包括与Δδ成比例的同步转矩ΔMSΔδ及与Δω成比例的阻尼转矩ΔMDΔω,即

式中, 


由上式可知,当出现重负荷时,系统可能呈现负阻尼状态(ΔMD<0),在快速高放大倍数励磁装置的励磁作用时,|ΔMD|更大,负阻尼更加严重,当此负阻尼比发电机励磁绕组、阻尼绕组的正阻尼及机械阻尼更大时,系统会出现振荡失稳,即出现增幅型振荡。所以,重负荷输电线容易导致功率振荡,快速高倍数励磁系统更起了加剧恶化的作用。
从以上低频振荡机理分析可以看出,电力系统低频振荡及扰动分析是一个复杂的非线性、非平稳问题,非常适合用具有自适应性的时频分析方法HHT来研究和处理。与傅里叶分解和小波变换须预先设定基函数相比,HHT算法无需此过程,所以在处理非线性、高度复杂电力系统数据上有着明显的优势[8]。它分为经验模态分解(EMD)和希尔伯特转换(HT)两个部分。 EMD是HHT算法的核心部分,其实质是通过筛选方法将非线性、非平稳信号分解为多个并且相互独立的本质模态函数即IMF分量。对于电力系统扰动轨迹信号x(t),可被分解为n个IMF分量ci(t)和一个剩余分量r(t),即

EMD分解时,上、下包络线主要通过信号局部极大值和极小值的三次样条插值算法获取,即通过插值法求信号x(t)的上、下包络线并计算出均值来选取IMF分量,但由于端点处极值的不确定性,很容易导致每次插值时都会产生拟合误差。以常规HHT算法对振荡信号x(t) = 10sin(2πt+π/6)+15sin(4πt+π/6)分解为例,其EMD分解信号包络如图3所示,从图中可以看出由于端点处无法确定是否为极值,导致包络线在边界无法包络信号,而且由于EMD分解是一个不断筛选IMF分量的过程,飞翼误差的不断累积会最终降低整个HHT算法分析的准确性和精度。
图3
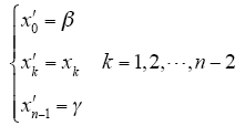
端点效应问题是影响HHT算法效果的关键问题之一,研究人员一直在不断改进[9]。基于电力系统低频振荡分析高实时性、高精度等要求,本文提出一种端点优化对称延拓法,该方法通过信号包络线偏差评价函数的最小化计算,获取最合适的数据信号端点值,从而逼近原始信号两端点,最大程度缩小经验模态分解EMD的误差范围。首先对信号x(t1),x(t2),…,x(tn)确定采样步长为Δt,则可得出

xi两端点值用β、γ替代,构造数据序列x′i

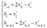
以x′0、x′n-1端点为中心对x′i分别向两端进行对称延拓得数据序列

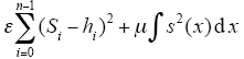
式中,i=0,1,…,n-1,利用三次样条插值法得到延拓信号h的包络线S,优化式(8)中两端点x′0、x′n-1的值,使Si与hi偏差最小,进而对包络线在端点发散进行抑制,构造hi与对应Si的偏差评价函数

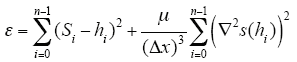
式中,μ为光滑参数,对上式离散化,得

式中,Δx为采样间隔; 

当 

构造一个函数z(t),令

式中,a(t)为振幅;ω(t)为相位。解析信号z(t)实部即为Hilbert谱,即式(14)它是一个频率、时间和幅值的三维图像,可以反映出各振荡模式之间的相互作用。而式(15)所表示的Hilbert边际谱是Hilbert频谱在时间上的积分,其反映的是幅值随频率的变化情况,可以直观地分析出振荡信号的主振荡模式。


图4
3 算法仿真分析
构造如图5所示低频振荡仿真测试信号x(t)
x(t)=5.08e-0.604tsin(1.068πt)+10.14e-0.708tsin(1.626πt)+15.02e-0.812tsin(3.002πt)
图5
该仿真低频振荡测试信号所含振荡信息见表1,从中可以看出该低频振荡信号含有三种振荡模态,振荡频率分别为1.501Hz、0.813Hz、0.534Hz,这三个振荡频率含有区间(0.7~2.5Hz)、局部(0.1~0.7Hz)两种振荡模式,可以作为典型测试信号进行分析。
表1 低频振荡仿真信号特性
Tab. 1
| 模式 | 幅值/V | 衰减因子 | 振荡频率/Hz |
|---|---|---|---|
| 1 | 15.02 | -0.812 | 1.501 |
| 2 | 10.14 | -0.708 | 0.813 |
| 3 | 5.08 | -0.604 | 0.534 |
仿真设置采样点为1 000,采样时间0~4s,采样频率为250Hz,分别对该信号进行常规HHT算法分析和本文提出的改进HHT算法分析。对改进前后辨识效果进行对比分析,所得分析结果如图6、图7、表2及表3所示。从图6a可以看出,改进前HHT算法的EMD分解共分解出5个IMF分量和一个剩余分量y,没有准确分解出测试信号所包含的低频振荡的三种振荡模态。从图6b和图6c可以看出,采用未改进的HHT算法,测试信号无法被准确辨识出对应振荡模式,其频谱对应频率模式出现混叠现象。对于改进前的测试信号HHT算法分析,通过相关系数法能去除多余的两个IMF 分量,进行谱分析得到表2所示的分析结果,可以看出其与测试仿真信号误差较大、精度较低,无法准确有效辨识出含有多种振荡模式的振荡信号。
图6
图7
表2 改进前HHT分析结果
Tab.2
| 模式 | 幅值 /V | 误差 (%) | 衰减 因子 | 误差 (%) | 频率 /Hz | 误差 (%) |
|---|---|---|---|---|---|---|
| imf1 | 16.88 | 12.4 | -0.688 | 15.3 | 1.288 | 14.2 |
| imf2 | 8.68 | 14.4 | -0.59 | 16.7 | 0.722 | 11.2 |
| imf3 | 4.22 | 16.9 | -0.451 | 25.3 | 0.461 | 13.7 |
| r | 3.54 | — | -0.019 | — | — | — |
表3 改进后HHT分析结果
Tab. 3
| 模式 | 幅值 /V | 误差 (%) | 衰减 因子 | 误差 (%) | 频率 /Hz | 误差 (%) |
|---|---|---|---|---|---|---|
| imf 1 | 14.89 | 0.9 | -0.788 | 3.0 | 1.488 | 0.9 |
| imf 2 | 9.89 | 2.5 | -0.691 | 2.0 | 0.802 | 1.4 |
| imf 3 | 4.88 | 3.9 | -0.583 | 3.5 | 0.521 | 2.4 |
| r | 0.2 | — | -0.021 | — | — | — |
4 实验研究与讨论
由于目前的电力系统多采用高增益的励磁调节器等,在系统受到小扰动后,发电机的输出功率、转子角速度以及电磁转矩均易发生波动,且波动幅度逐渐增大,致使系统不稳定并发生系统低频振荡,中外学者对此进行了大量研究[10,11]。目前国内外普遍采用广域监测(Wide-Area Measurement System,WAMS)技术如相量测量单元PMU来进行系统低频振荡监测与分析[12]。但PMU的广域测量系统具有设备贵、安装费用高且测试参数多等不足,于是在A.G.Phadke教授提出的PMU理论的基础上,刘奕路教授在弗吉尼亚理工期间于2000年提出了一种广域同步动态频率监测FNET技术,其结构如图8所示,思想是用研发的FDR结合GPS授时信号主要测试电网的同步时间频率等参数从而在线分析电网的扰动特性并准确快速实现系统的在线评估、预警及决策[13]。
图8
图9
图9
美国东部电网某次振荡信号波形
Fig.9
Oscillation signal waveform of Eastern American power grid
图10
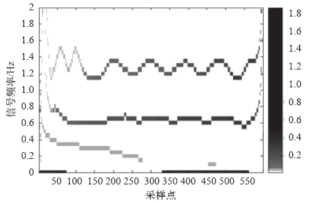
图10
实验分析信号的Hilbert 频谱
Fig.10
Hilbert spectrum of experiment oscillation signal
表4 改进HHT算法实验分析
Tab.4
| 模式 | 幅值/V | 衰减因子 | 振荡频率/Hz |
|---|---|---|---|
| imf 1 | 1.31 | 0.264 | 0.628 |
| imf 2 | 0.40 | 0.323 | 1.248 |
| r | 0.12 | 0.015 | — |
在准确辨识出振荡模式后,通过建立相应传递函数,从而能利用相关器件和装置对低频振荡进行快速有效抑制。电力系统稳定器(Power System Stabilizer,PSS)出现于20世纪70年代,是目前抑制电力系统低频振荡最为经济有效的措施之一,其中PSS的参数设计和优化配置问题是涉及到其广泛应用的主要问题,国内外众多学者对此展开了深入研究和探讨[15]。
图11
依据HHT分析后的振荡信息对系统投入电力系统稳定器PSS后,因为励磁系统及发电机励磁绕组传输信号具有滞后作用,所以在实验中PSS设置为超前相位补偿。系统恢复波形如图12所示,结果显示在低频振荡发生后极短时间系统就恢复稳定状态,证明了所提出方法的快速性和有效性。
图12
5 结论
本文针对电力系统低频振荡问题,在分析低频振荡特点及机理的基础上,提出了基于信号端点优化对称延拓法的改进HHT低频振荡分析方法,并对含局部和区间振荡模式的测试信号进行仿真研究,通过与改进前HHT算法辨识结果进行对比,改进后的HHT算法可快速准确地提取出测试信号的振荡模式和特性,验证了其在辨识低频振荡方面的时变性与自适应性优势。同时应用广域频率FNET监测系统进行低频振荡辨识实验研究,利用提出的算法对系统进行PSS设计与配置取得了良好的效果,验证了本文提出的算法及理论在电力系统应用方面的可行性。
参考文献
Damping of low frequency oscillations of multi-machine multi-UPFC power systems, based on adaptive input-output feedback linearization control
[J].
DOI:10.1109/TPWRS.2012.2194313
URL
[本文引用: 1]
In this paper, damping of the low frequency oscillations of multi-machine multi-UPFC power systems is investigated based on adaptive input-output feedback linearization control (AIFLC) approach. Considering a three-phase symmetrical fault, ignoring the subtransient states of the synchronous machines, the nonlinear state equations of the system are derived in order to obtain the UPFC reference control signals as well as the system parameters estimation laws. The stability of the system controller is proved by Lyapunov theory. Moreover using the six reduced order model of synchronous machine, some simulation results are presented in order to verify the validity and effectiveness of the proposed control approach.
关于低频振荡分析方法的评述
[J].为更好地梳理概念,将低频振荡分析方法分为两大类,即针对系统模型平衡点的特征根方法以及沿着系统受扰轨迹的模式提取方法。平衡点特征根方法可进一步按采用的系统模型分为确定性的线性化模型、确定性的非线性模型和概率模型。这类方法与具体扰动无关,但只能反映系统在该平衡点附近的动态行为,故不适用于包含强非线性、变系数、相继故障或有离散控制的系统。受扰轨迹模式分析方法则从特定扰动下的时间响应曲线中提取振荡信息的时间序列,包括系统模型未知情况下(如实测轨迹)的信号处理法和系统模型已知情况下(如仿真轨迹)的分时段定常线性化法。在评述各种方法的基础上,提出改进的思路及有望突破的研究方向。
A review of analysis method for low-frequency oscillations
[J].为更好地梳理概念,将低频振荡分析方法分为两大类,即针对系统模型平衡点的特征根方法以及沿着系统受扰轨迹的模式提取方法。平衡点特征根方法可进一步按采用的系统模型分为确定性的线性化模型、确定性的非线性模型和概率模型。这类方法与具体扰动无关,但只能反映系统在该平衡点附近的动态行为,故不适用于包含强非线性、变系数、相继故障或有离散控制的系统。受扰轨迹模式分析方法则从特定扰动下的时间响应曲线中提取振荡信息的时间序列,包括系统模型未知情况下(如实测轨迹)的信号处理法和系统模型已知情况下(如仿真轨迹)的分时段定常线性化法。在评述各种方法的基础上,提出改进的思路及有望突破的研究方向。
基于在线辨识和区域极点配置法的电力系统低频振荡协调阻尼控制
[J].Based on the uniform damping thought and the identification of the low-frequency oscillation (LFO), the paper puts forward the design method of damping controllers which makes use of region pole assignment method to realize coordination damping control of LFO. First, the damping characteristics of power systems oscillation and the characteristics that machines are involved in oscillations are analyzed, and the condition and method of realizing uniform damping control are put forward. Then evaluating the damping based on the oscillation characteristics identification, the control object of uniform damping is determined. And reduced order models used to design controllers are deduced by the order reduction of identification models. Finally controllers’ parameters are calculated by poles assignment method which damp several oscillation modes that generator participated in. Because identified models consider fluencies of other machines and the control goal avoids decreasing damping of other modes in excess, the coordination of controllers is realized. At the same time, the feedback signal of controller is local and the decentralized coordinated control is realized. At last, take New England 10-machine 39-node system as example, the simulation proves controllers designed validity and robust, the method put forward a new thought for restraining LFO.
Coordinated damping control of power systems low-frequency oscillation based on on-line identification and region poles assignment
[J].Based on the uniform damping thought and the identification of the low-frequency oscillation (LFO), the paper puts forward the design method of damping controllers which makes use of region pole assignment method to realize coordination damping control of LFO. First, the damping characteristics of power systems oscillation and the characteristics that machines are involved in oscillations are analyzed, and the condition and method of realizing uniform damping control are put forward. Then evaluating the damping based on the oscillation characteristics identification, the control object of uniform damping is determined. And reduced order models used to design controllers are deduced by the order reduction of identification models. Finally controllers’ parameters are calculated by poles assignment method which damp several oscillation modes that generator participated in. Because identified models consider fluencies of other machines and the control goal avoids decreasing damping of other modes in excess, the coordination of controllers is realized. At the same time, the feedback signal of controller is local and the decentralized coordinated control is realized. At last, take New England 10-machine 39-node system as example, the simulation proves controllers designed validity and robust, the method put forward a new thought for restraining LFO.
负荷随机扰动下的电力系统小波模态参数识别
[J].
Wavelet-based electromechanical mode shape identification from ambient data of random load excitation
[J].
多元自回归滑动平均模型辨识与电力系统自适应阻尼控制
[J].传统基于离线模型参数和典型运行方式设计的电力系统阻尼控制器存在适应性问题,提出一种基于辨识的自适应控制器设计方法,可解决一般自适应控制中快速性和准确性要求之间的矛盾。所用的多元自回归滑动平均模型(auto regressive moving averaging vector,ARMAV)辨识在电网正常运行过程中针对由负荷等随机扰动引起的类噪声信号进行;在综合考虑辨识误差、阻尼要求和稳定裕度基础上,提出阻尼控制零极点配置基本原则,并设计相应的遗传算法优化方法。为了充分检验上述辨识与控制系统的效果,基于广域测量平台对其进行软硬件实现,并在东北电网简化系统中进行实时数字仿真(real time digital simulation,RTDS)测试,实验结果说明了所提方法的可行性和有效性。
Auto regressive moving averaging vector model identification and power system adaptive damping control
[J].传统基于离线模型参数和典型运行方式设计的电力系统阻尼控制器存在适应性问题,提出一种基于辨识的自适应控制器设计方法,可解决一般自适应控制中快速性和准确性要求之间的矛盾。所用的多元自回归滑动平均模型(auto regressive moving averaging vector,ARMAV)辨识在电网正常运行过程中针对由负荷等随机扰动引起的类噪声信号进行;在综合考虑辨识误差、阻尼要求和稳定裕度基础上,提出阻尼控制零极点配置基本原则,并设计相应的遗传算法优化方法。为了充分检验上述辨识与控制系统的效果,基于广域测量平台对其进行软硬件实现,并在东北电网简化系统中进行实时数字仿真(real time digital simulation,RTDS)测试,实验结果说明了所提方法的可行性和有效性。
基于改进希尔伯特-黄变换算法的电力系统低频振荡分析
[J].
Researching on low frequency oscillation in power system based on improvementd HHT algorithm
[J].
多重扰动下的跨区电网低频振荡研究
[J].Research on low frequency oscillation of power grid based on multiple disturbances is the important basis to determine the dynamic stability of interconnected power grid. The paper proposed the concept of multiple disturbances based on the analysis of the power oscillation event happened in Central China Grid, and discovers that multiple disturbances are the important factor to cause low frequency oscillation. The fault chains method can simulate a typical disturbance sequence of flow transferring and overload of transmission lines caused by line faults. It was chosen to analysis power oscillations in interconnected power grid under multiple disturbances. The influence of operation modes on interconnected power grid is studied. The results show that the change of operation modes of the given power grid has a great impact on both the given power grid and another power gird which is connected to it. So the paper proposes a method by monitoring the occurrence sequences of the fault chains and the weak links to prevent low frequency oscillation which can provide the basis for power grid planning and dispatching operation.
Research on low frequency oscillation of interconnected power grid based on multiple disturbances
[J].Research on low frequency oscillation of power grid based on multiple disturbances is the important basis to determine the dynamic stability of interconnected power grid. The paper proposed the concept of multiple disturbances based on the analysis of the power oscillation event happened in Central China Grid, and discovers that multiple disturbances are the important factor to cause low frequency oscillation. The fault chains method can simulate a typical disturbance sequence of flow transferring and overload of transmission lines caused by line faults. It was chosen to analysis power oscillations in interconnected power grid under multiple disturbances. The influence of operation modes on interconnected power grid is studied. The results show that the change of operation modes of the given power grid has a great impact on both the given power grid and another power gird which is connected to it. So the paper proposes a method by monitoring the occurrence sequences of the fault chains and the weak links to prevent low frequency oscillation which can provide the basis for power grid planning and dispatching operation.
频移经验模态分解在低频振荡参数提取中的应用
[J].Automation offers laboratories the ability to improve patient care, enhance client and employee satisfaction, and increase workload capacity while maintaining a cost-effective department. &quot;The overall objective of any organization's automation project is simple--to do more with less, better,&quot; states Davis. &quot;We know our future is on the information systems side,&quot; Clarke states. &quot;Vendors' investment in the development and creativity of automation is what is going to drive the future of the laboratory.&quot; &quot;Implementing the automation solution was absolutely the right thing to do for Sacred Heart Health,&quot; says Wright. &quot;With the transition complete, we are pleased with the results. All we want now is more automation that will enable us to do even more with what we have.&quot;
Frequency shift empirical mode decomposition for extracting low frequency oscillation parameters
[J].Automation offers laboratories the ability to improve patient care, enhance client and employee satisfaction, and increase workload capacity while maintaining a cost-effective department. &quot;The overall objective of any organization's automation project is simple--to do more with less, better,&quot; states Davis. &quot;We know our future is on the information systems side,&quot; Clarke states. &quot;Vendors' investment in the development and creativity of automation is what is going to drive the future of the laboratory.&quot; &quot;Implementing the automation solution was absolutely the right thing to do for Sacred Heart Health,&quot; says Wright. &quot;With the transition complete, we are pleased with the results. All we want now is more automation that will enable us to do even more with what we have.&quot;
A refined Hilbert-Huang transform with applications to interarea oscillation monitoring
[J].DOI:10.1109/TPWRS.2009.2016478 URL [本文引用: 1]
Delay-dependent stability analysis of the power system with a wide-area damping controller embedded
[J].DOI:10.1109/TPWRS.2010.2093031 URL [本文引用: 1]
采用广域测量信息反馈的广域PSS参数设计
[J].根据互联电网区间振荡的特点,可将参与振荡的机群按各自的“部分惯性中心”等值为两机系统。文中首先推导了等值两机系统的电磁转矩系数,为区间振荡模式的电磁转矩分析奠定了理论依据。在此基础上提出了双通道反馈结构的广域电力系统稳定器(PSS),并采用建立在同步转矩及阻尼转矩概念上的扩展相位补偿法,进一步推导了反映广域反馈信号与本地反馈信号之间关系的传递函数,然后进行相量坐标映射变换,最后系统研究了广域PSS的参数设计。仿真结果表明:它能有效抑制系统的区间低频振荡,提高系统的小信号稳定极限,与其他稳定器设计方法相比,能够进一步改善系统阻尼特性。
Parameter design for wide-area PSS using global signals
[J].根据互联电网区间振荡的特点,可将参与振荡的机群按各自的“部分惯性中心”等值为两机系统。文中首先推导了等值两机系统的电磁转矩系数,为区间振荡模式的电磁转矩分析奠定了理论依据。在此基础上提出了双通道反馈结构的广域电力系统稳定器(PSS),并采用建立在同步转矩及阻尼转矩概念上的扩展相位补偿法,进一步推导了反映广域反馈信号与本地反馈信号之间关系的传递函数,然后进行相量坐标映射变换,最后系统研究了广域PSS的参数设计。仿真结果表明:它能有效抑制系统的区间低频振荡,提高系统的小信号稳定极限,与其他稳定器设计方法相比,能够进一步改善系统阻尼特性。
Synchronized phasor and frequency measurement under transient conditions
[J].DOI:10.1109/TPWRD.2008.2002665 URL [本文引用: 1]
Power system frequency monitoring network (FNET) implementa-tions
[J].DOI:10.1109/TPWRS.2005.857386 URL [本文引用: 1]
基于FNET 实测数据分析川渝电网频率动态特性
[J].DOI:10.7667/j.issn.1674-3415.2014.03.022 URL [本文引用: 1]
Frequency dynamics analysis of Sichuan-Chongqing power grid based on the FNET data
[J].DOI:10.7667/j.issn.1674-3415.2014.03.022 URL [本文引用: 1]
基于混沌优化算法的PSS和直流调制的协调优化
[J].In order to solve instability the interaction among the various DC-modulation and between DC-modulation and PSS in AC/DC system, a chaotic optimization algorithm (COA) is applied to integrated AC/DC hybrid power system in which the multi-infeed DC power transmission system is included, and the research on coordination controls between the HVDC modulations and PSS is investigated in this paper. Parameters tuning problem of the HVDC modulations and PSS is converted to an optimization problem which is solved by a chaotic optimization algorithm based on Lozi map, Thus under global coordination the damping of the whole system to the electromechanical oscillations in the AC system is enhanced. Taking the planned power network in the South Power Grid for example, the effectiveness, robustness and superiority of the presented method are verified.
Coordination and optimization of PSS and HVDC modulations using choatic optimization algorithm
[J].In order to solve instability the interaction among the various DC-modulation and between DC-modulation and PSS in AC/DC system, a chaotic optimization algorithm (COA) is applied to integrated AC/DC hybrid power system in which the multi-infeed DC power transmission system is included, and the research on coordination controls between the HVDC modulations and PSS is investigated in this paper. Parameters tuning problem of the HVDC modulations and PSS is converted to an optimization problem which is solved by a chaotic optimization algorithm based on Lozi map, Thus under global coordination the damping of the whole system to the electromechanical oscillations in the AC system is enhanced. Taking the planned power network in the South Power Grid for example, the effectiveness, robustness and superiority of the presented method are verified.
/
| 〈 |
|
〉 |