基于改进HHT算法的电力系统低频振荡模态辨识研究 |
| 金涛,褚福亮,李威,刘奕路 |
|
Research on Power System Low Frequency Oscillation Modal Identification Based on Improved HHT Method |
| Tao Jin,Fuliang Chu,Wei Li,Yilu Liu |
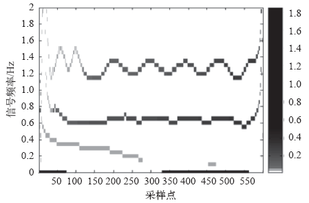
| 图10 实验分析信号的Hilbert 频谱 |
| Fig.10 Hilbert spectrum of experiment oscillation signal |
|