变压器强油导向冷却方式的流体及传热分析
大唐观音岩水电开发有限公司 昆明 650000
Transformer Strong Guidance Oil Fluid Flow and Heat Transfer Analysis
Datang Guanyinyan Hydropower Development Co.Ltd Kunming 650000 China
责任编辑: 崔文静
收稿日期: 2015-12-16 网络出版日期: 2015-12-25
Editor:
Received: 2015-12-16 Online: 2015-12-25
作者简介 About authors
黄佐流 男 1968年生,工程师,长期从事水电建设工程机电设备管理、发电厂设备管理和检修维护工作。
根据流体力学原理计算了强油导向绕组的流体场,根据竖直油道、水平油道油流速度求出对流换热系数及绕组温升。依据不同绕组结构的阻力特性,调整各个绕组间的流量分配,使之充分合理利用流量,并与绕组损耗和热负荷密度相匹配,使不同绕组温升均衡分布,同时适量控制油流速度,避免油流静电的发生。最后,对整个冷却系统的阻力特性进行分析,确定冷却器容量及油泵性能是否满足要求。
关键词:
According to the principle of fluid mechanics to calculate the fluid field of the oil guide winding, according to the vertical, horizontal oil flow speed and the convective heat transfer coefficient and the winding temperature rise. According to the different winding resistance characteristic of the structure, adjust the traffic distribution between each winding, fully rational utilization of traffic, and match the winding loss and heat load density, make different winding temperature rise distribution, moderate control oil flow rate at the same time, avoid the happening of oil flow static electricity. Finally, the resistance characteristics of the whole cooling system were analyzed, and determine whether the capacity of the cooler and pump performance meet the requirements.
Keywords:
本文引用格式
黄佐流.
Huang Zuoliu.
1 引言
近年来,变压器的热特性越来越受到用户部门和制造厂的重视,因为其直接与变压器的稳定运行和使用寿命密切相关,对各类变压器产品的热特性进行深入的研究具有重要的意义。
变压器的温升实际上是电磁生热—流体—温度场的三场耦合问题,电磁生热确定了绕组的直流电阻及涡流损耗,对于自冷/吹风冷却方式来说,热流通过绕组的外表面传至相邻的油介质中,油被加热,比重降低,沿着器身周围借助浮力向上流动,而下部的冷油接连取代了上浮的油,热油沿着冷却器的壁散出热,油的比重又重新增加并向下流动,如此循环,构成闭合的流体场,此时的油处于自然循环状态,散热是流体场的弱函数,油流速度也很低,远小于可能引起油流静电的下限值,在0.1m/s以下,油流量分配及流速是由绕组表面热负荷及绕组结构油流阻力所确定的。但对于强油循环的空气冷却或水冷却方式而言,油的流动速度是由流体场确定的,对流散热效果与流动形态、速度相关,而流动速度不仅与油泵性能有关,还与绕组结构确定的阻力相关,直接影响绕组温升,所以有必要在温度计算之前对流体场进行分析计算,使之与各个绕组间的损耗或表面热负荷相匹配,从而充分合理利用流量,以达到绕组温升的均衡分布,使变压器的过负荷能力所依赖的热点温度分布更均衡,过负荷能力更强,达到优化散热结构的目的。通常情况下,绕组的电气性能参数也随温度而变,例如电阻率在80℃和60℃时不同,说明绕组底部与顶部的损耗其实是受温度分布影响的,但在一般情况下,认为电磁生热是温度场的弱耦合场,将电气性能参数确定为平均温升下的常数。
变压器正常负荷运行时温升计算,也是变压器过负荷运行允许时间及热寿命损失的计算基础,长时间过负载稳定运行也与流体流动密不可分。
对于强油循环冷却方式,通常也有备用冷却器及油泵,在变压器高倍数过负荷运行时,有些用户备用冷却器投入过多,造成油流速度过快,可能引起流体静电,有必要对流体速度进行控制。在高电场区,应避免油流速度过快及油路设计不合理引起的局部湍流。
冷却器油泵的流量、扬程和功率等性能是变压器整个冷却系统油流的边界条件,与冷却效果密不可分,所以计算整个冷却系统阻力特性以确认油泵工作状态也是一项重要内容。
强油导向变压器流体力学及传热计算流程如图1所示。
图1
图1
强油导向变压器流体力学及传热计算框图
Fig.1
The calculation diagram of oil fluid flow and heat transfer of strong guidance transformer
2 流体力学和传热计算的理论基础
变压器油流遵循流体分析的平衡规律(质量守恒定律确定的连续性方程)和运动一般规律(能量守恒方程、动量方程)。温度计算也同样遵循热传导对流的一般规律。
2.1 流动类型及特点
变压器油的粘度是流体的一个重要的物理性质,随温度升高而减小,粘性是产生油流阻力的内在原因,它对流体运动有着重要的影响。
流体流动的两种流动类型,根据雷诺数判断,实验测定,下临界雷诺数Re稳定在2 000~2 320,一般取2 000,上临界雷诺数Re在4 000以上,一个不大的范围内波动,一般取4 000。当Re≤2 000时,是层流流动,油流内质点沿着与油路轴线平行的方向作直线运动;当Re≥4 000时,是湍流或紊流流动,质点运动轨迹没有规律,不仅有轴向运动,而且还有径向运动,各质点之间彼此相互磁撞且相互混合,质点速度的大小和方向随时发生变化;2 000<Re<4 000时,流体流动处于不稳定的过渡区。流型的判断不仅与流体性质有关,而且与油路特性也有关,是由多方面的因素决定的,在不同的流动状态,流体流动的规律各有差异,所以应首先确定流体流动类型,强油导向变压器器身内部油流要求处于层流区,雷诺数在2 000以下,变压器外部油管路和冷却器中油流可处于湍流区,以加强对流换热。流体的流动类型如图2所示。
图2
雷诺数是无量纲数,计算公式如下

式中,u为流体流动速度;d为油路当量直径,d = 4×油道流通截面积/流体的润湿周边;ρ为流体密度;μ为流体的粘度。
变压器油流阻力主要有两类:直管阻力和局部阻力。直管阻力是流体在一定的直管道中流动时,为克服流体的粘性而消耗的沿程阻力;局部阻力是流体流过弯路或油路截面突变时,流体的流速和方向发生改变而产生的阻力,包括摩擦阻力和形状阻力。阻力计算与流体流动类型有关。
2.2 对流传热与流体关系
油流与线饼散热表面之间存在温差时,线饼散热面将热量传递给油流的过程,是对流给热,强油导向绕组的表面放热与油流状态密切相关,油以高速沿绕组表面流动,确定了表面的放热。流体被壁面加热时

式中,dP为局部对流给热速率,W;dS为微分传热面积,m2;tw为与冷流体接触的壁面温度,℃;t为冷流体的平均温度,℃;α为流体的局部对流给热系数,W/(m2·℃)。
油流的对流给热系数是表达对流给热过程强烈程度的数值,是确定对流给热速率的关键。强油导向变压器油流是强制对流状态,绕组部位的油流形态属层流,当油流的流速增加时,流体的雷诺数增大,流体内部的相对运动加剧,由此将使得传热速率加快,线饼的强制对流传热加强,线饼温升降低,当绕组的油流速度较低时,强制对流传热减弱,线饼的温升提高,对强油导向结构的绕组来说,绕组温升是与流体流动和对流传热密切相关的,必须综合分析对流流动和传热,最终确定绕组温升。对于不同的油流速,冷却器的散热效果不同,加上绕组的散热效果也有差异,油平均温升也发生变化。但这里讨论的是油流速是否越大越好,在相等的表面热负荷条件下,不同的油速产生不同的温度降,当油速增加到一定程度时,温度降也趋于不变,以致不必再增加油速,增加油速不能明显降低温升,只会导致不必要地增加油泵功率。图3为一台型号为SFPSZ10–120000/220的产品油速与绕组的平均温升之间的关系曲线。表1为该台产品的绕组平均温升测量值和计算值的对比。
图3
图3
油速与绕组平均温升关系曲线
Fig.3
The curve of oil speed and winding average temperature rise
Tab.1 Comparison of calculated values and measured value of average temperature rise with SFPSZ10–120000/220
| 绕组 类型 | 入口处油 平均流速 /(m/s) | 散热密度 /(W/m2) | 平均温升 计算值/K | 平均温升 测量值/K | 误差 (%) |
|---|---|---|---|---|---|
| 高压绕组 | 0.13 | 987 | 55.4 | 56.1 | -1.2 |
| 中压绕组 | 0.15 | 1337 | 56.1 | 58.5 | -4.1 |
| 低压绕组 | 0.16 | — | — | — | — |
图3中,箭头所指为本台产品额定运行时的绕组部位的油流速工作点。
表1所列是该台产品高中分接运行温升实验测量与计算值的对比,低压绕组未参与运行,但由于低压绕组也是油路组成的一部分,也存在一定的油流速度,所以给出绕组入口处油流平均速度。
表1中所给流速为绕组油路入口处的平均油流速,不是绕组内部流速分布值,应参照本文后序说明中流速分布值,特别是在绕组的高电场区的流速值,确定是否有可能引起油流带电。
3 绕组油流分布计算
变压器的每个绕组都是一个独立的油路,所有绕组构成并联分支,根据结构和位置不同,端部绝缘件构成的油路有的从属于分支路,有的从属于总汇流回路。绕组导油结构不同,构成的分支路阻力不同,致使流量、流速不同,对流传热效果不同,油区内各层线饼温度的变化是速度分布的反应,较高的油流速度产生较高传热系数和较低线饼温升。每个绕组的油流量应与绕组损耗和散热密度相匹配,并沿冷却面形成所需的流速,使每个绕组的平均温升和热点温升均衡分布,充分合理利用油流量。如果绕组油路结构设计不合理,就会造成有的绕组损耗大,散热密度大,油流量小,流速低,绕组温升较高;有的绕组损耗小,散热密度小,油流量较大,流速过高,绕组温升低,温升分布不合理,甚至造成油流短路,产生不必要的浪费。
图4
3.1 变压器内部油流阻力分布计算
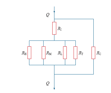
以下是一台几何结构上有4个绕组的强油导向变压器的内部油流阻力简力,如图5所示。
图5
图5中,RH是高压绕组油路阻力,RM是中压绕组油路阻力,RL是低压绕组油路阻力,RT是调压绕组油路阻力,Rc是铁心油路阻力,RI是油箱、器身公共油路阻力,Q是油流量。
从图中可以看出,油泵施加的流量载荷等于各分支路内流量之和,由于各分支中阻力不同,分得的流量不同,不论绕组是否参与运行均有一定的油流量通过,例如在高中运行时,通过高压和中压绕组的油流起到了对流传热的效果,低压绕组和调压绕组尽管不参与或只有部分参与运行,均有一定的油流量通过,所以,在绕组阻力匹配的计算上,也应充分考虑各个绕组的阻力影响,油路简单的调压线圈有时有必要增加油路阻力,以避免阻力过小,造成油流短路。油路阻力计算、油区的划分应独立于电气回路、安匝划分而进行。
3.2 绕组油流、传热计算
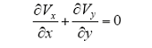
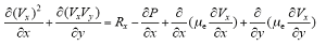
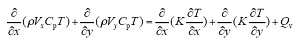
随着计算技术的发展,现阶段对绕组油流温升计算应当采用数值方法,解算流体场(流速)确定温度场(导热、对流)解和线饼温升的过程,本文对计算模型也作了相应的处理。①用分布阻力考虑绕组内部固体表面对流体流动的影响,这种阻力可以随位置而变,也可以随方向而变。对变压器绕组而言,有流体沿绕组表面流动形成的沿程阻力(摩阻)和由流体通过不同形状的油道形成的局部阻力(型阻);②流体在内外竖直油和水平油道中处于理想层流状态,未考虑漏油等情况。式(3)~式(5)是解算流体场的方程。等流体场解稳定收敛后,再根据流体场解确定对流传热系数解算温度场,最终确定线饼温升。
连续性方程为

x方向动量方程为

y方向动量方程为

能量方程为

式中,Vx为水平方向的流速(m/s);Vy为竖直方向的流速(m/s);P为压力(Pa);Rx为x方向的分布阻力(N);Ry为y方向的分布阻力(N);μe为流体的运动粘度(m2/s);ρ为流体的质量密度(kg/m3);T为温度(℃);Cp为比热容(J/kg·℃);Qv为体积发热率(W/m3)。
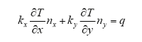
温度场定解条件为


式中,kx、ky为材料沿x、y方向的热传导系数;nx,ny为边界外法线方向余弦;q为第二类边界上的给定热流量(W/m2);α为对流换热系数;Ta为边界层壁面温度。各物理参数的选择应根据具体变压器用油情况并考虑相应的温度条件的物理性能。根据以上的流体场和温度场方向求解绕组平均温升和热点温升。
在数值求解过程中,如果想求出稳定温升值,应采用瞬态求解,起始温度为环境温度,并且由于油的粘度等特性随温度而变化,油速的变化直接影响表面对流换热系数和线饼温升,油流速的变化与粘度有关,必须采用迭代求解,一次总体迭代就是对所有相关的控制方程按顺序进行求解,并且在求解过程中流体性质会随时更新,在每一个总体迭代里对速度、压力等计算出收敛监测量,根据初步收敛监测量的情况设置迭代次数和瞬态求解时间,有时甚至需要进行几千次迭代,才能求出趋于稳定的数值解。
3.3 绕组油流温升计算实例
以下是以油道均匀分布的情况为模型进行的油流速度和线饼温升分布计算结果,从图6可以看出,在入口竖直油道为Vy时,在一个油区内水平油流速度Vx(n)并不相同,n表示油道号,靠近两端部Vx流速较大,中部油道Vx流速较缓,如图6油区中,两端深色流速表示水平油流速较高,油区中部颜色渐浅表示水平油流降低,直至中部水平油流速更低,这种情况随着油区内油道排列的不同而有所差异,正因为流速不同,对流换热系数也不同,在整个绕组由下至上的每个油区中,当绕组油道排列较为均匀时,油流速分布与图6类似,正是由于绕组油流速度的不均匀性造成了每饼绕组表面对流传热系数不同,线饼温升分布如图7所示,线饼温升分布并不均匀,对应油流速较大的线饼温升较低,对应油流速较小的线饼温升较高。从每个油道水平油流速分布图6的细微之处可以看出,紧贴着线饼表面由于附着力使得这一部分流体速度为零,在向油道流动中心线方向,流速逐渐增大,速度在垂直流体流动方向上产生了速度梯度,线饼表面附近存在着较大速度梯度的流体层,称为流动边界层,边界层以外的区域,其速度梯度很小,称为流体的外流区或主流区,工程上一般规定边界层的外缘流速为主流区流速的99%,边界层外缘到固体表面之间的距离为边界层厚度,当油道较小时,随着边界层的发展,上表面边界层和下表面边界层有可能相汇合,此后边界层占据了整个油道,这种情况下,流速变成很缓慢甚至停滞,对油流散热产生不利影响,其散热效果应根据具体计算结果而定,并且由于边界层发展与油道的长度相关,在线饼辐向尺寸较小时,上下边界层不汇合,油流也能起到一定的散热作用,当线饼辐向心尺寸较大时,边界层相汇合,油流近于滞止,不能起到散热作用,边界层问题并不只存在于水平油道中,在竖直油道中也存在这个问题。油区交界处靠左侧放置导油隔板,在区域Ⅰ油流从左向右流动,线饼温升逐渐升高,向远离隔板的油区中部深色区增大表示线饼平均温升升高,在区域Ⅱ油流从右侧向左侧流动,顺着油流方向线饼温升逐渐升高,向远离隔板处油区中部方向线饼温升升高。整个绕组的温升是由油温升、线饼对流传热确定,以如下实例说明。
图6
图7
图7
相邻的两个油区内的线饼温度分布
Fig.7
Coil temperature distribution in adjacent two oil region
图8
图8
SFPS9 - 180000/220 绕组线饼温升沿高度方向分布
Fig.8
Distribution of winding coil temperature rise along height with SFPS9 - 180000/220
表2 SFPS9–180000/220温升计算值与实测值对比
Tab.2
| 项 目 | 计算值 | 实测值 | 计算误差(%) |
|---|---|---|---|
| 高压绕组平均温升/K | 49.7 | 50.0 | -0.6 |
| 中压绕组平均温升/K | 53.6 | 51.5 | 4.0 |
| 顶层油温升/K | 34.0 | 35.1 | -3.0 |
3.4 绕组温升与结构尺寸的关系
对强油导向结构的变压器而言,绕组油流阻力的调整是控制油流速和温升的重要手段,以此来达到优化散热结构的目的,一般通过以下几种方式:一是调整绕组进油出油竖直油道宽度,对于电压等级确定的变压器主绝缘结构来说,绕组的内外竖直油道没有很大的调节范围,只能在小范围内调整,但对油流阻力仍可起到一定的作用;二是调整油区设置,包括挡油板的个数、位置,段间油隙的设置、排列,绕组温升与油区内油隙尺寸关系较大,油道排列受雷电冲击电场和短路强度结构限制,在此基础上可以调整油道排列和油区划分;三是绕组结构的设计,损耗、散热密度的选择等。所有调整的目的是保证几个绕组的油流量与散热密度或损耗相匹配,绕组铜油温升较为均衡,控制热点温升,以增强变压器过负荷能力,优化散热结构。表3给出一台产品绕组结构不同引起温升变化的对比计算实例。
表3 绕组油路结构不同温升对比计算结果
Tab.3
| 项 目 | 原方案 | 新方案 | ||
|---|---|---|---|---|
| 高压 | 低压 | 高压 | 低压 | |
| 入口流速/(m/s) | 0.43 | 0.44 | 0.44 | 0.41 |
| 散热密度/(W/m2) | 2477 | 1014 | 2477 | 1014 |
| 绕组平均温升/K | 63.5 | 44.8 | 61.7 | 43.9 |
| 绕组热点温升/K | 83.7 | 55.6 | 74.0 | 52.5 |
需要说明的是,原设计方案未考虑绕组散热密度的差异,并且两绕组的油区设置、油道排列不合理,重新调整后,绕组平均温升、热点温升均有所降低。
变压器绕组的热点温升在常规的温升试验中一般无法测出,国家标准GB/T 15164—1994《油浸式电力变压器负载导则》中给出热点系数H的参考值,它与变压器容量大小、短路阻抗和绕组结构有关,大约在1.1~1.5之间,配电变压器取1.1,中型和大型变压器取1.3。根据油流传热原理计算的热点温升与油流分布(绕组油隙等结构尺寸)有直接的关系,流速对热点温升的影响与对平均温升的影响也不尽相同,如果油区、油道排列设计不合理,在绕组平均温升增大不明显的情况下,造成热点温升有较大的增加,可能引起绕组平均温升不超标但发生局部过热。本文的计算实例包括热点温升理论计算值,未与实测值进行对比,仅将前两个实例绕组平均温升与实测值进行了对比,参照平均温升计算误差和负载导则对热点系数的限值在设计产品时控制热点温升在许可范围内。
4 集油管路阻力计算及油泵性能校核
计算集油管路阻力的意义在于掌握管路中油流形态、速度,根据整个管路系统阻力校核油泵的扬程和功率,保证油泵工作在高效区。油流在管路中的流动阻力,分为局部阻力和直管阻力。
4.1 直管阻力计算

式中,ΔPf为直管压力降(Pa);l为直管长度(m);d为管内径(m);u为平均油流速(m/s);λ为摩擦系数,圆形管内油流为层流时,λ = 64/Re,圆形管内油流为湍流时,可以根据管材内壁粗糙度与管内径的比值及雷诺数Re查莫迪图确定;ρ为油密度,kg/m3。
4.2 局部阻力计算
集油管路中一般均有阀门、弯管和分路等部件,油流经过这些部件时,不仅有流体质点之间的内摩擦,而且由于部件形体的改变引起流速的大小、方向或分布发生了变化,由此产生的摩擦阻力与形体阻力之和称为局部阻力,即

式中,ΔPf′为局部阻力(Pa);ξ为局部阻力系数;u为流速(m/s)。
4.2.1 管路截面突然扩大和突然缩小的阻力系数


式中,A1、A2为管截面积。
4.2.2 弯管、管件、阀门等阻力系数
圆形截面弯管阻力系数见表4。表中R为弯管圆弧半径。其他的管件、阀门阻力系数可查阅相关的手册。当管路存在分流和汇流支路时,也应参考相应的手册处理。
表4 圆形截面弯管阻力系数
Tab.4
| 管截面形状 | R/d | 转角度数α | |||
|---|---|---|---|---|---|
| 30 | 45 | 60 | 90 | ||
| 圆形(管内径d) | 0.5 | 0.12 | 0.27 | 0.48 | 1.0 |
| 1.0 | 0.058 | 0.1 | 0.15 | 0.246 | |
| 2.0 | 0.066 | 0.089 | 0.112 | 0.159 | |
4.3 整个冷却系统阻力特性及油泵性能校核
整个冷却系统阻力为

式中, 
正常额定负载时泵的输入功率为

式中, 
在集油管路设计中,应注意选取合适的管路形状和截面,尽量减少管路的长度和弯管数量,同时注意出油管路在油箱顶部的均匀排布,不致于使部分油流路径增长,而阻力不均衡。对于一般大容量变压器而言,绕组阻力在100Pa数量级,油管路阻力在10kPa数量级,因为油阻力与油流速有关,准确计算阻力有一定的困难,可根据设想的流量和该流量下的阻力来选定油泵,它只代表系统阻力的一个工作点,这个点应在油泵特性曲线的高效工作区附近。
5 结论
(1)强油导向变压器的散热应当充分考虑油流分布特点,并根据各个绕组的散热密度和损耗合理调整结构,分配流量,均衡各个绕组的温升,避免单个绕组温升过高,优化传热结构,增强过负荷能力。
(2)计算整个冷却系统油路阻力,起到较准确估算油泵扬程、功率的作用,避免因油泵性能不佳而引起绕组过热和温升超标。
参考文献
具有直流偏磁补偿功能的新型电力变压器结构设计及实验研究
[J].
With DC bias compensation function of new type power transformer design and experimental research
[J].
浅谈500kV自耦变压器的设计
[J].
Introduction to the design of 500kV autotransformer
[J].
出口美国的单相自耦533MV·A/500kV有载调压变压器的研发
[J].
Exports of the united states single-phase autoformer 533MV·A /500 kV transformer on-load voltage regulating development
[J].
900MV·A变压器的研制
[J].
The development of 900 MV·A transformer
[J].
1000kV自耦变压器的开发设计
[J].
The development of 1000kV autotransformer design
[J].
/
| 〈 |
|
〉 |