面向综合负荷的燃料电池等效模型及参数灵敏度分析 
					
										湖南大学电气与信息工程学院 长沙 410082
							A Fuel Cell Equivalent Model for the Synthetic Load and Its Parameters Sensitivity Analysis 
						
																Hunan University Changsha 410082 China
收稿日期: 2015-09-4 网络出版日期: 2015-10-25
| 基金资助: | 
										 | 
								
Received: 2015-09-4 Online: 2015-10-25
作者简介 About authors
														
													李陪强, 男 1975年生,博士,副教授,硕士生导师,主要从事电力系统分析与控制及负荷建模的教学和研究工作。
														
													曾小军, 男 1991年生,硕士研究生,研究方向为电力系统动态负荷建模。
				
				
基于Matlab/ Simulink建立了固体氧化物燃料电池(Solid Oxide Fuel Cell,SOFC)及其并网系统的动态模型,研究了SOFC发电系统的外特性。从外特性等效拟合的角度出发,忽略SOFC并网系统的无功功率,提出了SOFC发电系统的等效模型。该模型结构简单,参数少,易于辨识,能够有效拟合电网在大扰动和连续小扰动情况下的燃料电池发电系统外特性,与其他模型相比能够模拟燃料电池的出力极限问题;分析了该模型的参数的灵敏度,模型的两个参数的灵敏度虽不高但易于辨识;用本文提出的SOFC等效模型并联传统的综合负荷模型(Synthesis Load Model,SLM)构建广义负荷模型,对含SOFC发电系统的配电网负荷特性进行辨识建模。算例表明,该广义负荷模型能够有效描述含燃料电池发电系统配电网负荷特性,且模型的参数辨识结果具有较好的稳定性。
										关键词:
																																	 
																											
The SOFC (solid oxide fuel cell) and its grid-connected system is established base on Matlab/Simulink, and the external characteristics of SOFC power systems is researched; then a equivalent model of SOFC power generation system is proposed from the perspective of external characteristic equivalent fitting and ignoring the reactive power of the SOFC generation system. This equivalent model has a simple structure, less parameters, can be identified easily. It can fit the external characteristics of SOFC power systems effectively in the case of large disturbance and continuous small disturbance of power system, compared with other equivalent models, this model can simulate the limit of the fuel cell’s output; the synthesis load model multiplied with equivalent model is used to fitting the characteristics of power synthesis load containing the SOFC power systems, examples show that this generalized load model can describe the load characteristic of distribution network with fuel cell power generation system, and identification result of it’s parameters are stability.
																																												Keywords:
																				
																							
本文引用格式
							李培强, 曾小军, 李欣然, 李龙桂, 肖亚宁, 郑柳柳. 
								Li Peiqiang. 
1 引言
随着全球变暖和能源危机的凸显,分布式电源以其污染少、可靠性高、能源利用率高、安装地点灵活等优点日益受到重视并在电网中所占比例日益增加,随着接入系统的分布式电源容量的逐步增加,其对电力系统的综合负荷动态特性将产生越来越大的影响,致使电力系统的电压稳定问题更加突出。在分布式电源分散接入配网的情况下,大量的分布式电源可看成发出负功率的动态负荷[1],大大增加了配网的复杂程度,此时需要构建合理的广义负荷模型对其特性进行描述。因此考虑分布式电源的广义综合负荷建模具有重要的理论和工程价值。
相关学者对考虑燃料电池的负荷建模问题做了研究,文献[5]用恒功率控制的电压源来描述FC发电系统的负荷外特性,但是拟合效果欠佳且结论具有局限性。文献[6]将FC发电系统等效为电压源和电阻电感的串联系统,仿真证明具有较好的拟合效果,但模型并没有考虑到FC出力极限问题,而把燃料电池发电系统当作一个容量无限大的电压源,这与实际情况不符。文献[7]基于FC发电系统的控制机理建立FC发电系统的等效模型,同样得到了较好的拟合效果,但模型复杂不利于实际仿真。文献[8]试图用受控电压源串联等值阻抗构成的动态模型对逆变型分布式电源进行统一等效建模,同样没有考虑分布式电源的出力极限问题。文献[9]分别基于以上研究对含SOFC发电系统的综合负荷进行了建模。文献[10]用一台异步发电机和两个有功功率源来等效含多种分布式电源的发电系统,具体等效机理不明确。以上文献对SOFC发电系统的建模都是从电压大扰动(ΔU>20%)情况下的拟合出发,均未对模型在连续小扰动的情况下的拟合情况进行验证。
基于此,本文首先利用Matlab/Simulink和SOFC自身电化学机理构建了SOFC自身的仿真模型,采用经典的并网控制方法建立SOFC模型的并网仿真结构,将SOFC发电系统接入到单机无穷大仿真系统进行并网仿真,在并网母线处获得SOFC发电系统对于电网的外特性;然后从SOFC发电系统的外特性出发构建了SOFC发电系统的简化等效模型,该模型结构简单、参数少、易于辨识。仿真实践表明该模型不仅对电压大扰动情况下SOFC的外特性有较好的描述能力,而且在连续小扰动情况下也能较好地描述其外特性,并对该模型的两个参数的灵敏度进行了分析。最后对含SOFC发电系统的综合负荷进行广义负荷建模。研究表明在传统综合负荷模型的基础上并联本文提出的简单等效模型能有效描述含SOFC发电系统的综合负荷的外特性。
2 SOFC模型及其并网系统仿真
2.1 SOFC模型
图1
图中各个参数的具体物理含义及其取值如表1所示。
表1 SOFC参数表
							Tab.1  
| 参数 | 物理含义 | 参数取值 | 
|---|---|---|
| T | 电池工作温度 | 1 273K | 
| F | 法拉第常数 | 96.487×106C/kmol | 
| R | 通用气体常数 | 8 314J/(kmol K) | 
| P | 电池堆系统压力 | 1atm | 
| E0 | 理想标准电动势 | 1.18V | 
| N0 | 燃料电池堆的串联个数 | 1 400 | 
| Kr | 常数,Kr = N0/(4F) | 0.996×10-6kmol/(s·A) | 
| KH2 | 氢气阀摩尔数 | 8.43×10-4kmol/(s·atm) | 
| KH2O | 水蒸气的阀摩尔数 | 2.81×10-4kmol/(s·atm) | 
| KO2 | 氧气的阀摩尔数 | 2.52×10-3kmol/(s·atm) | 
| τH2 | 氢气流的响应时间 | 26.1s | 
| τH2O | 水蒸气响应时间 | 78.3s | 
| τO2 | 氧气流的响应时间 | 2.91s | 
| rH-O | 氢与氧的比例 | 1.145 | 
2.2 SOFC并网仿真
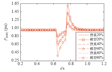
2.2.1 电流滞环并网控制策略
SOFC出口侧为直流,必须经过逆变器逆变、滤波之后连接隔离变压器并网。其并网控制策略有多种[13-14],由于滞环比较方式属于实时控制,硬件电路简单,电流响应快,对负载的适应能力强,而且不需要载波,故输出电压中不含特定频率的谐波分量;此控制方式还可提高直流电压利用率,增大逆变器的输出能力。鉴于以上优点,本文采用电流滞环比较方式的脉宽调制(Pulse Width Modulation,PWM)来控制逆变器晶闸管的开断。电流滞环比较方式原理如图2所示。
图2
图2中L、R为滤波电感和电阻;C为直流侧稳压电容,从并网处获取电压电流数据经过功率计算模块得到燃料电池发电系统实际输出的有功功率,与期望输出的有功参考值Pref比较,得到的误差经过积分环节放大后作为电流d轴参考值idref,同时为提高燃料电池发电系统的功率因数,输出电流的q、0轴的参考量iqref、i0ref均设置为0,在外网电压跌落40%的情况下的输入和输出电压、电流波形见附录C。
2.2.2 并网仿真
根据上节理论,本文基于Matlab/Simulink搭建了如图3所示的仿真系统。获取母线B1处的数据即可得SOFC发电系统的外特性,获取母线B2处的数据即可得到整个配电网的综合负荷的外特性。
图3中用感应电动机模拟配电网的动态负荷,用电阻负载和电感负载的并联模拟配电网的静态负荷,燃料电池经过逆变器接入配电网,L和R模拟配电网线路参数。
图3
3 SOFC发电系统的等效描述
建立SOFC发电系统的等效模型,是含燃料电池的电力系统仿真的前提。合理的简化模型不仅是准确电力系统仿真的保证,而且能减少仿真的难度。本文从外特性拟合的角度入手,建立了含SOFC发电系统的一阶等效模型。
3.1 SOFC发电系统动态分析
图4
由图4可知,SOFC发电系统的无功功率在暂态过程中基本不变,其值接近于0。为了简化模型忽略SOFC发电系统的无功出力,即认为QSOFC = 0,但SOFC发电系统的有功出力在暂态过程中呈现明显的动态过程,因此不能将SOFC发电系统当作静态负荷来看待,而应将其视为广义动态负荷,即有功消耗为负的动态负荷。
3.2 SOFC的等效描述模型
由上述分析可知,建立SOFC发电系统的等效动态模型十分必要。经过多次不同暂态过程的仿真,并结合图4可知,电力系统的电压扰动接近于阶跃激励信号,而SOFC发电系统的有功出力特性接近于一阶惯性系统的阶跃响应。因此,忽略SOFC发电系统的无功出力(即QSOFC = 0)之后,本文构建了SOFC发电系统的等效模型,即

式中,P0为SOFC发电系统的初始有功出力,取其额定功率PNSOFC,此时模型的稳态最大输出有功为PNSOFC,因此能够有效模拟SOFC发电系统的出力极限问题;U为电网电压实时有效值;T为系统的调节时间常数;Ku为电压补偿系数;U0为电网电压初始值,取其额定电压UN。在此模型下燃料电池发电系统输出的实时有功功率PSOFC就可以利用关于电压的一阶传递函数来表示,模型结构简单、参数少,且易于在PSASP等电力仿真软件中实现。
4 SOFC发电系统的等效模型的验证
本节利用遗传算法[15-16]辨识了大扰动和连续小扰动情况下的模型的参数,从而得到模型的输出响应,然后将模型输出响应与SOFC发电系统在不同暂态情况下的外特性进行比较,从而验证上述SOFC等效模型在各种暂态情况下的有效性。
4.1 大扰动验证
图5
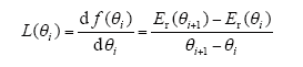
4.2 连续小扰动验证
图6
图7
图7  
											连续小扰动下模型的拟合曲线
										
Fig.7  
											Fitting curve of the model under continuous small disturbance
										
4.3 结果分析
表2 等效模型参数的辨识结果
							Tab.2  
| 扰动 | U | T | Ku | 残差 | 
|---|---|---|---|---|
| 大扰动 | -20% | 24.961 | 1.125 | 4.017e-3 | 
| -40% | 22.173 | 1.175 0 | 6.597e-3 | |
| -60% | 17.538 | 1.234 0 | 8.612e-3 | |
| 连续小扰动 | -5%,+9%,-7%,+3% | 27.322 | 1.206 9 | 4.866e-3 | 
| 均方差 | – | 4.009 1 | 0.075 1 | – | 
5 SOFC等效模型参数灵敏度分析
为了推进SOFC等效模型在电力系统仿真中的应用,本节利用摄动分析法对SOFC等效模型中的两个参数进行灵敏度分析,即固定其他参数为辨识值(遗传算法辨识得到的最优参数值)且保持不变,将某一个参数在其取值范围内按固定步长在辨识值左右调整[17],得到每个调整值下等效模型与SOFC发电系统外特性拟合的残差,从而得到某一参数θ关于残差的函数为


式中,n为采样点数;P(l)为SOFC发电系统仿真有功输出;Pm(l)θ = θi为参数θ = θi而其他参数为辨识值情况下模型输出响应;θmax、θmin分别为参数θ的取值区间的上、下限;k为区间分段数,本文取1 000;Er(θ)体现了仿真输出和模型输出之间的拟合效果,其值越小表示两者拟合效果越好。
定义参数θ的灵敏度为残差的变化量与θ变化量之间的比值,即f (θi)关于θi的导数,即

L(θi)越大则表示在θi处灵敏度越高,越容易辨识。基于以上方法,以电压跌落20%组的仿真数据为例,得到SOFC等效模型的参数的残差曲线和灵敏度曲线如图8所示。
由图8可知,参数T总体的灵敏度很低(- 1.262e - 3<L(Ti)<0.2269e - 3),但在Ku为辨识值并且保持不变的情况下Er(Ti)存在唯一极小值(也为最小值),此时T的取值与表2中大扰动20%情况下T的辨识值一致,因此利用遗传算法很容易就能辨识T的取值。参数Ku的总体的灵敏度( - 19.28e - 3<L(Kui)<19.28e - 3)虽然数量级也较小,但较T的灵敏度要大,同样在T为辨识值并且保持不变的情况下Er(Kui)存在唯一极小值(也为最小值),此时Ku的取值与表2中大扰动20%情况下Ku的辨识值也一致,且在最优值左右Er(Kui)都以固定斜率上升/下降,较T更加容易辨识。
6 含SOFC发电系统的广义负荷建模
6.1 含有SOFC并网系统的广义负荷模型结构
图8
图9
图9中用PSOFC、PIM、PS、PD.eq分别表示SOFC发出的有功功率、感应电动机负荷有功功率、静态负荷有功功率和等效动态负荷的有功功率;系统供给负荷有功功率为Psys。图中箭头表示各有功功率的参考方向,功率传动与参考方向相同为正值,否则为负;感应电机模型采用经典的三阶机电暂态模型,且由于模型中参数Rm、A、B对模型响应的灵敏度较低[17],故取典型值,即:Rm = 0,A = 1,B = 0;静态负荷模型采用ZIP模型,其有功恒阻抗系数、有功恒电流系数、有功恒功率系数、无功恒阻抗系数、无功恒电流系数和无功恒功率系数取固定值,即Zp = 1,Ip = Pp = 0,Zq = 1,Iq = Pq = 0,SOFC模型采用式(1)的简单等效模型,增加等效模型本身的两个参数Ku、T和燃料电池的比重KSOFC定义为:PSOFC/(PIM + PS)。这样广义综合负荷模型的独立待辨识参数总共10个,分别是Xs、Rs、Xr、Rr、Tj、Xm、Km、Ku、T、KSOFC。
6.2 模型验证
表3 两种负荷水平
							Tab.3  
| 负荷水平 | Psys(pu) | PSOFC(pu) | PIM(pu) | PS(pu) | 
|---|---|---|---|---|
| 1 | 0.82 | 0.63 | 0.95 | 0.5 | 
| 2 | –0.38 | 1.83 | 0.95 | 0.5 | 
表4 广义负荷模型参数辨识结果
							Tab.4  
| 负荷水平 | Xs | Rs | Xr | Rr | Tj | Xm | Km | KSOFC | T | Ku | Er | 
|---|---|---|---|---|---|---|---|---|---|---|---|
| 1(10%电压跌落) | 0.121 | 0.001 | 0.198 | 0.010 0 | 1.610 | 6.952 | 0.675 | 0.421 | 26.51 | 1.115 | 0.001 61 | 
| 1(20%电压跌落) | 0.143 | 0.001 | 0.191 | 0.015 2 | 1.413 | 7.335 | 0.656 | 0.424 | 25.06 | 1.135 | 0.002 01 | 
| 1(40%电压跌落) | 0.125 | 0.001 | 0.20 | 0.011 0 | 1.363 | 6.814 | 0.648 | 0.425 | 23.19 | 1.172 | 0.002 50 | 
| 2(10%电压跌落) | 0.124 | 0.001 | 0.255 | 0.013 4 | 1.069 | 6.856 | 0.645 | 1.271 | 27.1 | 1.225 | 0.001 81 | 
| 2(20%电压跌落) | 0.131 | 0.001 | 0.250 | 0.017 4 | 1.065 | 6.536 | 0.650 | 1.275 | 25.0 | 1.125 | 0.003 15 | 
| 2(40%电压跌落) | 0.127 | 0.001 | 0.249 | 0.013 2 | 1.022 | 6.401 | 0.650 | 1.274 | 22.8 | 1.176 | 0.003 65 | 
| 标准差 | 0.007 8 | 0 | 0.030 3 | 0.002 7 | 0.239 8 | 0.328 6 | 0.010 89 | 0.465 5 | 1.719 | 0.041 1 | – | 
表3中,PIM为动态负荷的容量;PS为静态负荷的容量;PSOFC为燃料电池容量;Psys为系统对负荷的出力容量。两种负荷水平下模型的拟合效果如下:
(1)第一种负荷水平:PSOFC<PIM + PS。此时KSOFC<1,SOFC发电出力不足以维持负荷功率,需要系统输入有功和无功功率,即Psys>0,此负荷水平下电压跌落20%时模型对仿真数据的拟合效果如图10所示。电压跌落10%和40%情况下的拟合效果见附录A。
图10
(2)第二种负荷水平:PSOFC>PIM + PS。此时KSOFC>1,SOFC发电出力大于总负荷功率,不需要系统输入有功和无功功率,并能向系统输出一定量的有功功率,即Psys<0,此负荷水平下电压跌落20%时的拟合效果图如图11所示。限于篇幅电压跌落10%和40%情况下的拟合效果见附录B。
图11
6.3 模型的适应性检验
(2)模型的泛化能力。针对两种典型的负荷水平下分别作对样本20%(电压扰动20%,下同)下辨识所得参数确定的模型在样本10%激励作用下的模型响应曲线的内插能力验证和对样本20%下辨识所得参数确定的模型在40%激励作用下的模型响应曲线的外推能力,以此来验证模型对不同电压扰动情况下的外推内插能力,上述拟合残差结果如表5所示。同时,对第一种负荷水平各种样本下辨识所得参数确定的模型(此时Km、KSOFC为第二种负荷水平相应样本的辨识参数,下同)在第二种负荷水平各种样本的激励下模型拟合曲线的外推能力,以其对第二种负荷水平各种样本下辨识所得参数确定的模型在第一种负荷水平各种样本的激励下模型拟合曲线的内插能力进行分析,以此来验证模型在不同负荷水平情况下的外推内插能力,上述拟合残差结果如表6所示。
表5 不同电压扰动下内推/外插残差表
							Tab.5  
| 负荷水平 | 内插10% | 外推40% | 
|---|---|---|
| 1 | 2.514e - 3 | 5.262e - 3 | 
| 2 | 3.597e - 3 | 5.871e - 3 | 
表6 不同负荷水平下内推/外插残差表
							Tab.6  
| 电压扰动 | 2内插1 | 1外推2 | 
|---|---|---|
| 10% | 3.715e - 3 | 3.731e - 3 | 
| 20% | 6.726e - 3 | 7.458e - 3 | 
| 40% | 9.091e - 3 | 9.101e - 3 | 
(3)参数的稳定性分析。由表4的标准差可以看出,除Tj、Xm、KSOFC之外其他参数的标准差都比较小,即参数的稳定性较好,KSOFC标准差较大是因为其随着不同负荷水平下燃料电池的渗透率变化而变化的。Tj、Xm的标准差较大是因为其灵敏度较低。因此模型参数的总体稳定性是较好。
7 结束语
本文在总结燃料电池发电系统的等效模型的基础上,提出了以SOFC为代表的燃料电池发电系统的简单等效模型,该模型结构简单,参数少,易于辨识,能够有效拟合电网在不同扰动情况下的燃料电池发电系统的外特性,并且较其他模型而言,能有效模拟SOFC发电系统的出力极限;在此基础上分析了所提简单等效模型的参数灵敏度,结果表明该模型两个参数的灵敏度虽然较低,但其关于残差的函数在其寻优区间具有唯一的极小值(也是最小值),因此利用优化算法较容易辨识其最优参数组合。构建了采用本文提出的SOFC等效模型并联传统的综合负荷模型的广义综合负荷模型,对含SOFC发电系统的配电网负荷特性进行辨识建模。算例表明,该广义负荷模型能够有效描述含燃料电池发电系统配电网负荷特性,且模型的参数辨识的稳定性较好。
附录A
图A1
图A2
附录B
图B1
图B2
附录C
图C1
								参考文献 
								
									
									
								
							
							Fuel cell systems:efficient,flexible energy conversion for the 21st century
[J].DOI:10.1109/5.975914 URL [本文引用: 2]
Renewable and efficient electric power systems
[M].
分布式发电及其对电力系统的影响
[J].
Distributed generation and its impact on power system
[J].
面向负荷建模的光伏电池和燃料电池建模及其等效描述
[J].In order to study the impact of photovoltaic cell(PV)and fuel cell(FC)to composite load characteristics of distribution network, the PV and FC grid-connected power system is established and the model of each function module and control strategy are expounded. Through the analysis of steady-state characteristics and grid-connected control external characteristics of PV and FC, the equivalent description model of voltage source with constant power control is proposed. Simulation results show that this voltage source with constant power control can properly describe the external characteristics of grid-connected PV and FC power system. Based on this, the structure of generalized composite load model of induction motor in parallel with state load and distribution generator is proposed.
Load modeling oriented modeling of photovoltaic cell and fuel cell and its equivalent description
[J].In order to study the impact of photovoltaic cell(PV)and fuel cell(FC)to composite load characteristics of distribution network, the PV and FC grid-connected power system is established and the model of each function module and control strategy are expounded. Through the analysis of steady-state characteristics and grid-connected control external characteristics of PV and FC, the equivalent description model of voltage source with constant power control is proposed. Simulation results show that this voltage source with constant power control can properly describe the external characteristics of grid-connected PV and FC power system. Based on this, the structure of generalized composite load model of induction motor in parallel with state load and distribution generator is proposed.
燃料电池发电系统的机电动态模型
[J].随着燃料电池在电力系统中的装机容量日益增大,包含燃料电池(fuel cell,FC)分布式电源的配电网综合负荷建模成为研究热点,阐述了燃料电池的仿真数学模型,并采用适合燃料电池并网的滞环电流控制策略,构建了基于Matlab/Simulink仿真平台的FC发电系统。通过对FC发电系统的稳态和动态运行特性的仿真分析,提出了FC的2阶动态微分方程的等效描述模型。通过对不同扰动强度下的仿真建模比较分析,对该等效描述模型的有效性、泛化能力和参数的稳定性进行了验证。
Dynamic model of fuel cell power generating system
[J].随着燃料电池在电力系统中的装机容量日益增大,包含燃料电池(fuel cell,FC)分布式电源的配电网综合负荷建模成为研究热点,阐述了燃料电池的仿真数学模型,并采用适合燃料电池并网的滞环电流控制策略,构建了基于Matlab/Simulink仿真平台的FC发电系统。通过对FC发电系统的稳态和动态运行特性的仿真分析,提出了FC的2阶动态微分方程的等效描述模型。通过对不同扰动强度下的仿真建模比较分析,对该等效描述模型的有效性、泛化能力和参数的稳定性进行了验证。
含有固体氧化物燃料电池的广义负荷建模
[J].随着智能电网、微电网、分布式发电技术的发展,配网侧将接入大量的分布式电源。考虑分布式发电的广义负荷建模具有重大的理论研究与实际应用价值。基于Matlab/ Simulink建立固体氧化物燃料电池(solid oxide fuel cell,SOFC)及其并网系统的动态模型,研究其外特性,指出含有SOFC的配电网络的广义负荷模型结构,只需在传统的综合负荷模型(synthesis load model,SLM)的虚拟母线上增加一个有功随电压变化的有功功率源。辨识参数需要增加SOFC相对纯负荷的比例、功率调节器的比例与积分放大倍数3个参数。算例表明,所提出的模型结构的描述能力、内插外推能力及参数辨识的稳定性较好。
Generalized load modeling with solid oxide fuel cell considered
[J].随着智能电网、微电网、分布式发电技术的发展,配网侧将接入大量的分布式电源。考虑分布式发电的广义负荷建模具有重大的理论研究与实际应用价值。基于Matlab/ Simulink建立固体氧化物燃料电池(solid oxide fuel cell,SOFC)及其并网系统的动态模型,研究其外特性,指出含有SOFC的配电网络的广义负荷模型结构,只需在传统的综合负荷模型(synthesis load model,SLM)的虚拟母线上增加一个有功随电压变化的有功功率源。辨识参数需要增加SOFC相对纯负荷的比例、功率调节器的比例与积分放大倍数3个参数。算例表明,所提出的模型结构的描述能力、内插外推能力及参数辨识的稳定性较好。
一种逆变并网型分布式电源统一模型
[J].为研究分布式电源(DG)对配电网综合负荷特性的影响, 详细分析含燃气轮机发电、光伏电池、燃料电池、直驱式风力发电等在内的逆变型分布式电源的各自特点及其共有特性, 提出了由受控电压源串联等值阻抗构成的逆变型分布式电源的统一动态模型, 推导出了该模型的完整解析描述。在不同的电压跌落水平条件下, 采用综合改进的遗传算法进行模型参数辨识, 并对该模型的自描述能力、泛化能力和参数稳定性进行了分析验证。验证结果表明, 该模型具有较好的适用性, 能够较好地描述逆变型分布式电源的动态等效特性。
A unified model of grid-connected distributed generation through inverters
[J].为研究分布式电源(DG)对配电网综合负荷特性的影响, 详细分析含燃气轮机发电、光伏电池、燃料电池、直驱式风力发电等在内的逆变型分布式电源的各自特点及其共有特性, 提出了由受控电压源串联等值阻抗构成的逆变型分布式电源的统一动态模型, 推导出了该模型的完整解析描述。在不同的电压跌落水平条件下, 采用综合改进的遗传算法进行模型参数辨识, 并对该模型的自描述能力、泛化能力和参数稳定性进行了分析验证。验证结果表明, 该模型具有较好的适用性, 能够较好地描述逆变型分布式电源的动态等效特性。
一种含燃料电池发电系统的广义综合负荷模型
[J].Based on MATLAB/Simulink tool and the theory of measurement-based load modeling method, the influences of fuel cell(FC) generation system on the load modeling of distribution network are studied. Through the analysis of dynamic operation characteristics in the transient state processes of FC generation system, FC generation system is regarded equivalent to a generalized dynamic load which consumes negative power, and can be described by second-order differential equations. Then the synthesis load model of distribution network with FC generation system is proposed. Such model is represented by the generalized synthesis load model(GSLM) of induction motor in parallel with FC and static load. The validity, the ability of interpolation and extrapolation and the stability of parameters of the proposed GSLM are testified by the analysis of simulation modeling of three typical operation states with different interference intensities.
A generalized synjournal load model considering fuel cell generation system
[J].Based on MATLAB/Simulink tool and the theory of measurement-based load modeling method, the influences of fuel cell(FC) generation system on the load modeling of distribution network are studied. Through the analysis of dynamic operation characteristics in the transient state processes of FC generation system, FC generation system is regarded equivalent to a generalized dynamic load which consumes negative power, and can be described by second-order differential equations. Then the synthesis load model of distribution network with FC generation system is proposed. Such model is represented by the generalized synthesis load model(GSLM) of induction motor in parallel with FC and static load. The validity, the ability of interpolation and extrapolation and the stability of parameters of the proposed GSLM are testified by the analysis of simulation modeling of three typical operation states with different interference intensities.
包含多种分布式电源的广义负荷模型辨识与适应性研究
[J].DOI:10.7667/j.issn.1674-3415.2013.04.018 URL [本文引用: 2]
A synjournal load model with distribution network
[J].DOI:10.7667/j.issn.1674-3415.2013.04.018 URL [本文引用: 2]
An analysis of the control and operation of a solid oxide fuel-cell power plant in an isolated system
[J].DOI:10.1109/TEC.2005.847998 URL [本文引用: 2]
固体氧化物燃料电池发电系统建模与控制
[J].DOI:10.7667/j.issn.1674-3415.2012.01.021 URL [本文引用: 1]
Modeling and control strategy of solid oxide fuel cell generation system
[J].DOI:10.7667/j.issn.1674-3415.2012.01.021 URL [本文引用: 1]
滞环电流控制逆变器建模及分析
[J].In this paper, a small signal model of hysteretic current mode control with variable frequency and fixed hysteretic band is presented, based on three terminal switch cell of Buck converter in continuous current mode. This model reveals that the average current is the control target of hysteretic control. And phase lag of current loop with high switching frequency is quite small that makes current loop equivalent power stage be a proportional component. The conclusion is also valid in large signal analysis. Then an averaged linear model of a single phase inverter is derived. The system closed loop characteristic equation order is reduced due to hysteretic current control introduced. And compensation principles of the single phase inverter are investigated with Routh criteria, which make a good comprise between stability and stable/dynamic performance.
Modeling and analysis of inverter with hysteretic current control
[J].In this paper, a small signal model of hysteretic current mode control with variable frequency and fixed hysteretic band is presented, based on three terminal switch cell of Buck converter in continuous current mode. This model reveals that the average current is the control target of hysteretic control. And phase lag of current loop with high switching frequency is quite small that makes current loop equivalent power stage be a proportional component. The conclusion is also valid in large signal analysis. Then an averaged linear model of a single phase inverter is derived. The system closed loop characteristic equation order is reduced due to hysteretic current control introduced. And compensation principles of the single phase inverter are investigated with Routh criteria, which make a good comprise between stability and stable/dynamic performance.
燃料电池并网控制策略研究
[J].DOI:10.7667/j.issn.1674-3415.2011.21.025 URL [本文引用: 1]
Research on the control strategy to connect fuel cells with power grid
[J].DOI:10.7667/j.issn.1674-3415.2011.21.025 URL [本文引用: 1]
遗传策略的综合改进及其在负荷建模中的应用
[J].On the basis of synchronous exchange of real-time data, a supervisory control system for unified power flow controller (UPFC) is developed. After expounding the basic principle of UPFC, the structure, functions and communication features of the developed supervisory control system is presented. Using dual port RAM as shared data buffer to implement synchronous exchange of real-time data, this supervisory control system operates in synchronous parallel mode, so real-time performance of this system can be ensured. Adopting the approach of modularized design, this system possesses good compatibility and expansibility. In addition, to improve reliability of this system, self-checking function is provided.
Synthetic improvements of genetic strategies and their application in power load modeling
[J].On the basis of synchronous exchange of real-time data, a supervisory control system for unified power flow controller (UPFC) is developed. After expounding the basic principle of UPFC, the structure, functions and communication features of the developed supervisory control system is presented. Using dual port RAM as shared data buffer to implement synchronous exchange of real-time data, this supervisory control system operates in synchronous parallel mode, so real-time performance of this system can be ensured. Adopting the approach of modularized design, this system possesses good compatibility and expansibility. In addition, to improve reliability of this system, self-checking function is provided.
动态负荷模型参数辨识的微分进化算法
[J].参数辨识是基于量测负荷建模的一项关键技术。针对微分进化算法进行静态负荷模型参数辨识收敛速度慢、种群规模大的问题, 提出一种适合动态负荷模型参数辨识的微分进化算法。所提算法鲁棒性好, 收敛速度快, 全局寻优能力强, 种群规模缩小, 计算量降低。对某大城市两个220kV变电站实测扰动数据进行动态负荷模型参数辨识表明, 计算精度明显优于遗传算法和Levenberg-Marquardt(L-M)算法相结合混合学习算法的计算精度, 验证了所提算法的实用性。
Differential evolution algorithm for dynamic load model parameter identification
[J].参数辨识是基于量测负荷建模的一项关键技术。针对微分进化算法进行静态负荷模型参数辨识收敛速度慢、种群规模大的问题, 提出一种适合动态负荷模型参数辨识的微分进化算法。所提算法鲁棒性好, 收敛速度快, 全局寻优能力强, 种群规模缩小, 计算量降低。对某大城市两个220kV变电站实测扰动数据进行动态负荷模型参数辨识表明, 计算精度明显优于遗传算法和Levenberg-Marquardt(L-M)算法相结合混合学习算法的计算精度, 验证了所提算法的实用性。
感应电动机负荷模型参数解析灵敏度分析及参数辨识策略研究
[J].
Analysis on parameter analytic sensitivity of induction motor load model and parameter identification strategy
[J].
配网侧接入电源对负荷建模的影响
[J].研究了配网侧接入电源对负荷建模的影响。发现当配网侧电源的发电容量逐渐增大时,原有的感应电动机并联恒阻抗、恒电流、恒功率(ZIP)模型的负荷模型将不再能很好地反映该区域的负荷特性,进而提出了一种新的负荷模型结构———异步发电机并联ZIP模型。通过仿真计算,验证了该新负荷模型的有效性,并进一步统一了上述2种负荷模型,称为异步机并联ZIP负荷模型。
Impact of connecting power sources on load modeling in a distribution network
[J].研究了配网侧接入电源对负荷建模的影响。发现当配网侧电源的发电容量逐渐增大时,原有的感应电动机并联恒阻抗、恒电流、恒功率(ZIP)模型的负荷模型将不再能很好地反映该区域的负荷特性,进而提出了一种新的负荷模型结构———异步发电机并联ZIP模型。通过仿真计算,验证了该新负荷模型的有效性,并进一步统一了上述2种负荷模型,称为异步机并联ZIP负荷模型。