2.西安交通大学 金属强度国家重点实验室, 西安 710049
2. State Key Laboratory of Mechanical Behavior of Materials, Xi’an Jiaotong University, Xi’an 710049
发展海洋经济、建设海洋强国是我国当前的重要发展战略。船舶、舰艇、鱼雷等海中航行体在海洋经济建设和海洋国防中发挥着重要作用。海中航行体的运行速度和能量消耗率是评价其性能的重要指标,运行速度决定着航行体的性 能,能量消耗率决定着航行体的续航能力和运行成本。而航行体的运行速度和能量消耗率除了与发动机效率相关外,其最主要的影响因素就是航行体在海水中行驶的阻力[1, 2]。
海中航行体运行过程当中需要克服的阻力包括:①兴波阻力:航行体在静水面上行驶时由于兴起波浪而形成的阻力;②涡流阻力:当水流经船体时,由于水具有粘性所引起的首尾压力差而形成的阻力;③摩擦阻力:航行体在水中运动时,水所具有的粘性使船体周围有一薄层水被航行体带动随船一起运动,而各层水流速度大小不同,之间会产生切应力作用,这种由流体的粘性而产生的切应力沿着航行体运动方向上的合力,称为航行体摩擦阻力。在低船速情况下:兴波阻力占10%~20%,涡流阻力占10%,摩擦阻力占70%~80%;在高船速情况下:兴波阻力占50%,涡流阻力占5%,摩擦阻力占45%~50%。其中,兴波阻力由船速和海上风浪决定,不可控制;涡流阻力主要与航行体的流线型设计相关,且占比例较小。其中摩擦阻力对航行体的速度和能耗有着重要影响且可通过表面设计进行控制[3, 4]。
20世纪70年代石油危机引起的燃油价格上涨引起了流体减阻的研究热潮。经过多年的努力,特别是湍流理论的发展,使得减阻的理论和应用取得了突破性的进展。对于海洋环境中航行体,设计、制备可工程化应用的表面,研究其表面结构与表面性能,包括表面能、亲疏液性能及流体在表面的滑移规律,发展新组分和新结构表面,实现表面减阻,减少海水阻力是提高航行速度和降低能耗率的关键[5]。
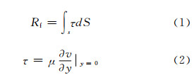
当航行体表面为光滑的情况时,根据摩擦阻力公式:
其中,Rf为摩擦阻力,N;τ为摩擦切应力,Pa;v为速度,m/s;μ为流体粘度,Pa·s;y为到航行体的垂直距离,m;S为航行体与水接触面积,m2[6]。
要实现减阻,可从τ、v、y、S这几个方面着手。对于粗糙表面,分以下几类考虑:当粗糙度远小于边界层厚度时,粗糙度对层流造成的影响可忽略不计;当粗糙度和边界层厚度相差不大时,摩擦阻力应该在光滑表面的摩擦阻力基础上增加一个修正值ΔRf;当粗糙度远远大于边界层厚度时,摩擦阻力修正值ΔRf远远大于光滑表面的摩擦阻力,并趋于常数;当航行体表面具有特殊结构时,其产生的随行波和旋涡有可能起到减阻的效果。
目前的减阻研究多是基于以上思路,现有的减阻方法包括:
(1) 减小S,即降低固-水实际接触面积。在表面产生微气泡形成大量微气垫,减少航行体与水的接触面积称为微气泡减阻法[7, 8]。该法是在物体表面制造气泡以达到减阻的效果,其原理是利用气泡的小摩阻性和易变形的特点来调节底层流动结构以减少阻力。Marston等[9]利用加热的金属球表面在水中形成蒸汽层,获得了85%的减阻效果。此外,电解的方式也被用在固/液界面处构造稳定的气相结构[10]。但此法的缺点是气泡不稳定,一旦破裂,产生的阻力更大。
(2) 减小τ,即降低摩擦剪切应力。可从两方面着手:减少湍流的产生来控制边界层、降低边界层最底层水流的速度,即降低航行体表面与水的结合力。
① 减少湍流的产生:在湍流状态下,层流层厚度大大降低,速度梯度增加,摩擦力增加。目前的主要方法有柔性壁法和升温法等[11, 12, 13, 14, 15]。柔性壁法:柔性壁一般为一层薄的弹性涂层或致密薄膜,其减阻的最主要机理是改变了附面层内湍流结构。柔性壁使边界层产生同步波动,使边界层的波动频率、波速、振幅分别与柔性表面的参数相等,由层流转变为湍流所对应的雷诺数将增大(转捩雷诺数),也就是说,在相同的雷诺数情况下,有可能出现在普通航行体表面为湍流状态,而在柔性壁表面仍然为层流状态。层流状态的边界层速度梯度要小于湍流状态,导致摩擦阻力的降低。此法的优点是适用于任何运动的物体表面。但是,专门设计的柔性化表面只适用于某一雷诺数范围,否则起不到减阻降噪作用。此外,利用加热法控制边界层是考虑到水温每增加1 ℃,粘性系数约降低2%,故通过对壁面加热来推迟转捩和降低阻力也非常有效,当表面温度增加到25 ℃左右,转捩雷诺数达到4.5×106~3.6×107时,这种技术适用于小型海洋航行体[16]。
② 降低边界层最底层水流的速度:降低航行体表面和水的吸附力,提高表面水的速度,从而降低速度梯度和摩擦切应力。目前主要有聚合物添加剂和低表面能技术。聚合物添加剂技术,是在近边界区域中注入一定浓度和类别的高分子化合物[17, 18]。常用的聚合物减阻剂有水溶性高分子聚丙烯酰胺和聚氧乙烯等,由于航行体表面在水的作用下会部分溶胀,形成具有表面取向的长链分子刷,其与水的结合力也相应减小,与水的相对速度增加,从而导致边界层速度梯度降低,摩擦切应力降低,这种方法成本很高,当中维护相当困难。低表面能技术[19, 20, 21]是在涂层中引入硅、氟等低表面能元素,同时添加低表面能无机填料或有机填料。低表面能涂层的疏水性使物体壁面与水不会产生很强的亲合性,流速梯度减小,从而减小了壁面的切变应力,使平板的湍流边界层增厚和转捩点后移,从而降低运动阻力。
(3) 仿生减阻:以在海水中游行速度较快的鲨鱼为启发,根据其表面结构及器官功能设计减阻表面。鲨鱼有以下几个特征[22, 23]:表皮具有一定形状沟槽织构,表皮分布着一定的油脂;根据鲨鱼表皮特征发展而得到的技术为沟槽减阻技术。受荷叶出淤泥而不染,水黾可以在水面上自由快速跳动而不沾湿身体的超疏水现象的启发[24],发展了仿生超疏水减阻技术。
在这些技术当中,仿生技术具有减阻效果好、可设计性强等优点而具有潜在的应用价值,并且在一些小型航行器中已有使用。国内外关于仿生表面减阻的研究正如火如荼的开展着。文中对表面仿生减阻的发展现状进行了综述,重点关注仿鲨鱼皮减阻和仿生超疏水表面减阻,并对仿生表面减阻未来的发展方向进行了展望。
1 仿鲨鱼皮减阻许多复杂的工程问题的解决过程是一个不断向自然界学习的过程。水中游动的鲨鱼虽然体型庞大,但是游动非常快速,因此,鲨鱼一直是仿生学研究的热点之一。在人们的传统思维中认为物体表面粗糙度越低,越光滑,那么物体在流体中运动时的阻力就越小,但是通过对鲨鱼皮形貌的研究发现,鲨鱼皮表面呈鳞片和类似圆谷状的非光滑盾鳞结构,盾鳞沟槽方向与游动方向平行。不同类型的鲨鱼的沟槽形状和尺寸是有区别的,即使相同种类的鲨鱼不同位置的沟槽也是有区别的,但相同的是因为沟槽结构的存在,能够优化鲨鱼体表流体边界层的流体结构,抑制和延迟紊流的发生,有效减小鲨鱼在游动时水体的阻力[25]。
目前,许多学者从流体力学的角度对鲨鱼皮盾鳞结构的减阻机理进行了解释。Choi等在沟槽结构减阻试验中发现,由于沟槽的间距很小,流体延沟槽方向流动时,径向涡旋宽度大于沟槽间距,径向涡旋只能与沟槽尖顶发生小面积接触,因此沟槽结构的存在显著减小了对沟槽内壁的剪切压力[26]。盾鳞结构的存在也能够阻滞横向涡旋,降低表面摩擦阻力[27]。Chernyshev与Zayets研究发现,盾鳞结构的存在能够防止流体分离[28]。由于以上几方面的原因鲨鱼皮盾鳞结构能够实现航行体减阻。
同时,关于仿鲨鱼皮沟槽减阻的实质性研究也取得了较大进展。Wlash等[29, 30]的流体动力学试验表明:在高速流体流动状况下,沟槽结构表面的减阻效果高达8%。仿鲨鱼皮的沟槽结构在航空、泳衣、管道输运等方面都获得了广泛的应用,如NASA兰利中心在Learjet型飞机上开展的类似飞行试验显示,沟槽表面的减阻量约为6%,在1984年的洛杉矶奥运会和1987年的美洲杯上,3M公司生产的沟槽膜应用于美国队的赛船上,在一定程度上帮助美国队获得了较好的成绩,在北京奥运会上,当美国选手菲尔普斯打破奥运会奖牌记录时Speedo公司生产的具有沟槽结构的泳衣引起了人们极大的关注,目前这种泳衣能够获得3%~5%的减阻效果[25]。
目前,仿鲨鱼皮减阻主要分为两种形式,一种是直接复刻鲨鱼皮的表面盾鳞结构,另外一种就是仿鲨鱼皮的盾鳞结构来设计制备的沟槽。
1.1 仿生复刻鲨鱼皮在生物仿真盾鳞结构直接复制制造(又称仿生制造生物成型)方面,制备方法主要有热压印法、微电铸法和软刻技术等。
韩鑫等人[31]用热压印法对鲨鱼皮进行仿生复制,拼接制备出了仿鲨鱼减阻蒙皮。图 1为热压印法复制鲨鱼皮过程简图,包括基板加热、样本叠放与施压、弹性脱模、复型翻模四步。水筒阻力试验表明,仿鲨鱼减阻蒙皮的最大减阻率可以达到8.25%,平均减阻率为6.91%。
微电铸技术是生物复制成形技术由高聚物成形向金属沉积成形扩展的新途径。韩鑫等人[32]以鲨鱼皮为生物模板,针对其表皮微形貌结构特征,通过倾斜溅射方式先在其鳞片表面沉积导电层,进而采用正负间断脉冲电流对鲨鱼皮生物模板进行微电铸复制,成形出鲨鱼皮微电铸模板及仿鲨鱼表面。复制精度分析结果表明:采用微电铸生物复制成形工艺可以实现对鲨鱼皮外端沟槽微形貌的高逼真复制。
采用热压印、微电铸等生物约束成形工艺能够实现鲨鱼皮外端形貌的复制成形,但为保证复型材料在生物样本表面凹腔内填充充分,上述两工艺均存在施压过程,复制出的鲨鱼盾鳞存在槽宽增大、中心脊高降低、倾角失真等问题,和真正的鲨鱼皮相差甚远。软刻技术是近年来发展起来的一种制备微/纳米结构的新方法,与热压印法和微电铸法相比,复刻的鲨鱼皮精度更高。Gregory D. Bixler等[33]用软刻法成功复制出了高精度的鲨鱼皮结构,软刻包括两大步,其流程如图 2所示。
真实鲨鱼皮样品用去离子水和异丙醇清洗后作为负向模板,将硅橡胶浇注到预处理后的鲨鱼皮上,达到要求厚度后再次进行真空脱气将生物样本凹腔内贮存的空气排出,以使硅橡胶填充到鲨鱼盾鳞根部;硅橡胶室温固化后脱模得到弹性阴模板,硅橡胶模板完成以后,用聚氨酯反向复刻,制备出高精度的仿生鲨鱼皮。上述的仿生复刻鲨鱼皮的方法中共同点都是以真实鲨鱼皮为模板,通过不同的方法对其进行复刻,软刻法能够得到较高精度的鲨鱼皮结构,因此相较于另外两种方法,软刻法有其独特的优势。
1.2 仿鲨鱼皮沟槽真实鲨鱼皮仿制复刻工艺相对复杂,对于大规模的应用也存在一定限制。受真实鲨鱼皮表面沟槽结构的启发,对鲨鱼皮表面的沟槽结构进行简化,简化了的沟槽形状包括刃形,锯齿形以及扇形沟槽,这些沟槽结构或者连续或者间断分布。简化了的沟槽形状和结构分布如图 3所示[25]。针对沟槽结构的加工制备比较有代表性的方法有微沟槽滚压制备技术、磨削加工,以及准LIGA((Lithographie,Galvanoformung,Abformung))技术等。
Hirt等[34, 35]提出了微沟槽滚压制备技术。并采用该工艺滚压了20 mm×2.0 mm的AlMg3板条,但是作者只是从沟槽加工制备方法的角度提出了一种制备方法,并未做减阻性能方面的进一步研究。Denkena等[34, 35, 36]提出了磨削轮沟槽结构制备工艺,即多轮廓磨削法。该方法在制备磨削轮的效率和工艺稳定性上具有优势,通过这种工艺能够很有效率的加工沟槽结构,遗憾的是作者也只是提出了一种制备沟槽的方法,没有做减阻方面的研究。
上述方法中滚压法容易在板材表面形成加工应力,而磨削法成形的沟槽结构较为粗糙,容易形成毛刺,针对其缺点,西北工业大学胡海豹等人[37]提出了采用准LIGA成形技术制备沟槽表面的方法,用此法在铝合金平板上制备出了沟槽结构平面。LIGA成形技术是X光深度光刻工艺、微电铸工艺和微复制工艺的集合,被视为微纳米制造技术中最有生命力、最有前途的加工技术。准LIGA成形技术制备脊状表面的具体工艺分为以下4步:① 印制感光胶;② 曝光及显影;③ 表面活化及微电铸;④ 去胶工艺。风洞试验的结果表明,由于沟槽结构的存在抑制了湍流的脉动,阻碍了湍流猝发过程,降低了湍流猝发的强度,提高了湍流运动的稳定性,最终导致湍流摩擦阻力的降低。
沟槽结构虽然能够取得良好的流体减阻效果,但是对于其减阻机理的认识还没有统一。目前对于沟槽结构的减阻机理形成了两种观点:一是“第二涡群”论;二是“突出高度”论[38, 39]。“第二涡群”论认为沟槽面与顺流向的“反向旋转涡对”相互作用产生“二次涡”,“二次涡”的产生和发展有效削弱了其集结以及向上抬升低速流体的能力,降低了湍流的猝发强度,提高了边界层流体运动的稳定性。发展和边界层内动量的交换相应减弱,从而导致湍流摩擦阻力的降低。Robinson[40]的试验证实了沟槽表面单位展长内低速带条数目比光滑表面的要少。可见,“第二涡群”论关于沟槽表面减阻机理的解释是比较合理的。
“突出高度”是指沟槽表面尖峰到表观起点所在平面的距离。该理论认为在“突出高度”以下沟槽内的流动,绝大部分为黏性所阻滞,使流动更加稳定,相当于增加了黏性底层的厚度。但是该观点只考虑了沟槽表面上的纵向流。后来通过研究沟槽表面的纵向流和横向流发现,同一沟槽表面的纵向突出高度比横向突出高度大,当横向流流过沟槽表面时,尖峰以下大部分流动为黏性所阻滞,而当纵向流流过沟槽表面时,则只有相对较小的一部分流动被阻滞,从而可以证明沟槽表面对横向流的阻滞作用远远大于对纵向流的,后来发展的“突出高度之差”理论认为,尖峰阻碍了由湍流运动引起的瞬时横流的发生,因此沟槽表面起到了使边界层内整个湍流变化减弱,从而使其摩擦力减小的作用。
2 仿生超疏水表面减阻自从Barthlott和Neinhuis[41, 42]报道了荷叶的自清洁效应以后,关于超疏水材料的研究就引起了人们极大的兴趣。荷叶表面具有超强的疏水性,由于荷叶表面具有复杂的微纳结构,并且具有一定的粗糙度,使得荷叶表面具有超疏水性和自清洁性,并称这种现象为“荷叶效应”(Lotus-effect)。在国外应用此技术已经获得了多项发明专利,并在油漆、玻璃和塑料等领域得到了广泛应用[43]。
超疏水表面是指与水的接触角大于150°,并且滚动角小于10°的表面。超疏水表面一般具有粗糙的表面微纳米结构和低的表面能,因此超疏水表面的构筑一般也分为两步,首先是在不同的基体上创建微纳粗糙结构,然后对粗糙结构进行低表面能改性。早期对于超疏水表面的研究主要集中在对超疏水表面形貌的仿制和超疏水性能的提高方面,现在的研究更注重超疏水表面的实际应用,将超疏水表面应用于航行体减阻方面是非常有前景的研究课题,航行体行进的阻力减小一方面能够提高航速,另一方面对于减少能源消耗也具有很重要的实际意义。
2.1 超疏水减阻表面制备方法Zhou Yali等[44]人使用银镜反应在玻璃基底上制备了超疏水表面。XRD分析表明,在玻璃片表面成功制备了银镜,测得的表面接触角和滚动角分别为154°和7°。研究减阻性能时,选取两个一样的空心玻璃球,一个用银镜反应构筑超疏水表面,一个不构筑,减阻试验表明具有超疏水表面的玻璃球运动明显比未构筑超疏水表面的空心玻璃球运动的快,超疏水表面具有减阻性能。这种超疏水表面的构筑方法也能用在其他基底上,比如硅片和铝板等。
Dong Hongyu等人[45]在宏观模型船表面制备超疏水涂层研究其减阻性能。超疏水涂层的制备过程如图 4所示。将包裹有0.03 mm厚的铜箔的模型船放在HAuCl4中30 min,形成粗糙的表面微纳结构,然后将模型船通过化学气相沉积进行低表面能改性,方法是将模型船和1 mL正十二硫醇一起放在30 ℃的炉子中12 h,成功制备了超疏水的表面。制备的超疏水表面接触角达到159.7°,在水槽中进行的减阻试验表明:与普通表面相比,超疏水表面的最大减阻率可以达到49.1%。
Zhang Songsong等人[46]用表面超疏水的潜水艇模型研究水下航行体的减阻性能。超疏水涂层的制备方法如下:首先将潜水艇模型用酒精清洗,PDMS预聚体和固化剂以10∶1的质量比混合,然后搅拌15 min,并放在真空器中30 min,去除气泡。第二步是将粘性PDMS混合物涂在模型船上,在空气中保持1 h,然后将模型船放在60 ℃下保温20 min,进行部分热交联,形成一个粘性表面。第三步是将铜粒子粘附在模型船表面,在60 ℃下保温4 h,进行PDMS的全部交联,将铜粒子固化在表面,成功制备了超疏水涂层。进行的减阻试验方案与文献[25]相似,取得了显著的减阻效果,最大减阻率达到了15%。
2.2 超疏水表面减阻效果度量上述的一些制备超疏水表面的方法一般都是两步法,即首先构筑粗糙微纳结构,然后进行低表面能改性。但两步法制备的过程存在一些限制,比如说操作相对复杂,制备时间相对较长。针对两步法的一些缺点,Zhu Xiaotao等人[47]用简单的一步浸入法制备了超双疏表面。选取铜合金板作为基板,铜合金板依次在丙酮,乙醇和去离子水中清洗,清洗后室温下将板材浸入装有2.5 mol NaOH,0.13 mol (NH4)2S2O8的烧杯中20 min,然后取出用去离子水清洗,再将样品浸入0.01 mol全氟辛酸水溶液中8 min,最后在
110 ℃下干燥30 min,成功制备了超双疏的表面,但是作者没有将其与减阻性能联系起来。随后Wang Yang等人[48]用类似的方法制备了超疏水的表面。进行的减阻试验表明:超疏水表面具有良好的减阻效果,低壁面剪切速度下减阻率达到40%,高壁面剪切速度下减阻率达到20%,减阻效果与流体的流速有关,流速变大,减阻效果相对减小。这种一步法还具有很大的推广性,可以选取不同的基板材料。
有些研究结果表明超疏水表面是增阻的[49, 50],对于超疏水表面在什么情况下存在减阻效果缺乏一个有效的度量标准。Cheng Mengjiao等人[51]提出了用粘附力做为度量减阻的标准。他们制备了3种超疏水涂层,并在模型船上进行了减阻试验,测定了3种不同超疏水表面的粘附力,粘附力的值和减阻率是一一对应的,因此可以用粘附力做为减阻度量的标准。制备涂层的方法如下:将PDMS和固化剂按质量比10∶1混合,真空下去除气泡,然后涂在船体上,利用PDMS的自流性形成一层均匀膜层,接着将铜颗粒粘附在粘性PDMS表面,然后进一步干燥固化,由于铜粒子具有疏水性和低的表面能,所以成功制备了超疏水涂层,称作PDMS+Cu。利用相似的流程制备了PDMS+Fe和PDMS+Fe+盐酸刻蚀的超疏水涂层。PDMS+Cu、PDMS+Fe和PDMS+Fe+盐酸刻蚀3种表面的减阻率分别为26.7%、18.7%和13.6%。而3种表面的粘附力分别为1.3×10-5、1.1×10-4和1.4×10-4 N。经过对比发现,粘附力越小减阻效果越好。所以可以用粘附力作为超疏水表面减阻性能的度量标准。
目前的研究提出了很多制备超疏水表面的方法,也各自测试了每种方法制备的超疏水表面的减阻性能,但是测度减阻性能时,每一个研究人员所用的测试方法又不同,所以对于超疏水表面到底能有多大的减阻效果缺乏一个统一的量度,在未来的研究中还需要提出统一的实验室条件下以及实际应用条件下超疏水表面减阻性能测试的一个统一的度量标准。
虽然超疏水减阻经过了大量的研究,但对于超疏水减阻机理的研究尚未得到统一。科学家们根据不同的超疏水体系提出了各自相应的减阻机理。其中,比较经典的两种解释为以下两种:一是Navier提出的壁面滑移模型。该模型认为,当流体流经疏水表面时,由于气液接触会形成涡垫效应,涡垫效应导致了壁面滑移的产生,减小了边界面上的速度梯度,从而降低了边界上的剪切力,推迟了层流附着面流态的转变,使得附着面的层流流态更加稳定,增加了层流边界层的厚度;同时疏水表面微凸柱间的流体剖面形状证实了无剪切空气-水界面确实存在,以上因素的共同作用产生了减阻效果[38]。
二是McHale提出的Plastron效应模型。该模型认为,当超疏水表面与水接触时,表面可以固定一层空气层,利用空气层的阻隔作用,液固界面转换为气液界面和气固界面。气膜的存在减小了液固接触带来的较大阻力[39]。
3 结语与展望近年来,受生物启发,仿生表面减阻取得了显著的进展:在仿鲨鱼皮表面减阻形成了两种方式:一种是直接复刻鲨鱼皮,另一种是仿鲨鱼皮的沟槽结构。这两种方式对仿生表面的构筑都提出了很多的方法,并且也取得了一定的减阻效果。在仿荷叶以及水黾腿的超疏水表面减阻方面也取得了显著的成绩,超疏水表面的制备日趋成熟,超疏水表面与航行体减阻性能的研究也开展的相当广泛,对于航行体减阻的进一步研究具有很大的启发效果。
基于目前国内外科学技术的发展,以及对现有减阻技术的总结和分析,仿生表面减阻未来的发展趋势有以下3点:首先,随着3D打印技术(也称增材制造)的发展成熟,未来可用3D打印技术制备仿生沟槽表面,利用3D打印技术实现表/界面微观结构的调控。其次,目前的仿生减阻方面的工作大多是用一种单一的减阻方法,未来的研究会从单一的减阻方式向多种减阻方式协同作用进行,而且已有将沟槽减阻和微气泡减阻协同减阻研究的先例。将多种减阻方法有机的结合在一起,通过减阻方法的匹配、参数控制等达到减阻效果的增强,将是未来研究的一个重要趋势。此外,目前对于减阻的研究还主要集中在减阻效果的研究上,对于减阻机理揭示方面的研究还很欠缺,随着粒子成相测速(PIV)系统的愈发成熟,航行体运行时的流场情况可以很清晰的观察,对于揭示减阻机理非常有利,未来的研究会越来越重视对于减阻机理方面的探索。科学研究的最终目的是为了服务于应用,仿生减阻从实验室研究走向实际的大规模应用还需要更多科研人员的努力。
| [1] | LUO Z Z, ZHANG Z Z, HU L T, et al. Stable bionic superhydrophobic coating surface fabricated by a conventional curing process[J]. Advanced Materials, 2008, 20(5):970-974. | 
| 点击浏览原文 | |
| [2] | 宋保维, 郭云鹤, 胡海豹, 等. 微结构超疏水表面减阻特性数值研究[J]. 计算物理, 2013, 30(1): 70-74. SONG B W, GUO Y H, HU H B, et al. Drag reduction on micro-structured superhydrophobic surfaces[J]. Chinese Journal of Computational Physics, 2013, 30(1): 70-74 (in Chinese). | 
| 点击浏览原文 | |
| [3] | 洪碧光. 船舶操纵[M]. 大连: 大连海事大学出版社, 2008. HONG B G. Ship handling[M]. Dalian: Dalian Maritime University Press, 2008 (in Chinese). | 
| [4] | 王绍敏. 仿生结构化船体表面减阻性能分析[J]. 舰船科学技术, 2010, 32(5): 11-13. WANG S M. Biomimetic structure of the hull surface drag reduction performance analysis[J]. Ship Science and Technology, 2010, 32(5): 11-13 (in Chinese). | 
| 点击浏览原文 | |
| [5] | MOLLAND A F. Ship resistance and propulsion[M]. London: Cambridge University Press, 2015. | 
| [6] | 刘红. 船舶原理[M]. 上海: 上海交通大学出版社, 2009. LIU H. Ship theory[M]. Shanghai: Shanghai Jiao Tong University Press, 2009 (in Chinese). | 
| [7] | KODAMA Y, KAKUGAWA A, TAKAHASHI T, et al.Experimental study on microbubbles and their applicability to ships for skin friction reduction[J]. International Journal of Heat & Fluid Flow, 2000, 21(5): 582-588. | 
| 点击浏览原文 | |
| [8] | CARNIE S L. The drag on a flattened bubble moving across a plane substrate[J]. Journal of Fluid Mechanics, 2012, 696(4): 345-373. | 
| 点击浏览原文 | |
| [9] | MARSTON J O, VAKARELSKI I U, THORODDSEN S T. Bubble entrapment during sphere impact onto quiescent liquid surfaces[J]. Journal of Fluid Mechanics, 2011, 680(4): 660-670. | 
| 点击浏览原文 | |
| [10] | CHOONGYEOP L, CHANG J K. Underwater restoration and retention of gases on superhydrophobic surfaces for drag reduction[J]. Physical Review Letters, 2011, 106(1): 184-190. | 
| 点击浏览原文 | |
| [11] | ZHANG X Y, ZHU Y X, GRANICK S. Hydrophobity at a janus interface[J]. Science, 2002, 295(555): 663-666. | 
| [12] | GESSER H D, LAFRENIERE D R T.A drag-reducing water insoluble hydrophilic marine coating[J]. Progress in Organic Coatings, 2004, 49(4): 372-374. | 
| 点击浏览原文 | |
| [13] | CHOI C H, ULMANELLA U, KIM J, et al. Effective slip and friction reduction in nanogratedsuperhydrophobicmicrochannels[J]. Physics of Fluids, 2006, 18(8): 087105-087105-8. | 
| 点击浏览原文 | |
| [14] | TRUESDELL R, MAMMOLI A, VOROBIEFF P, et al. Drag reduction on a patterned superhydrophobic surface[J]. Physical Review Letters, 2006, 97(4): 044504-4. | 
| 点击浏览原文 | |
| [15] | 王宝柱, 黄微波, 卢敏, 等. 减阻降噪技术的最新进展[J]. 现代涂料与涂装, 2008, 11(1): 33-36. WANG B Z, HUANG W B, LU M, et al. The up to the minute research progress in the drag and noise reduction technology[J]. Modern Paint and Finishing, 2008, 11(1): 33-36 (in Chinese). | 
| 点击浏览原文 | |
| [16] | HOU Y, SOMANDEPALLI V S R, MUNGAL M G. A technique to determine total shear stress and polymer stress profiles in drag reduced boundary layer flows[J]. Experiments in Fluids, 2006, 40(40): 589-600. | 
| 点击浏览原文 | |
| [17] | JAFARGHOLINEJAD S.Experimental investigation on drag reduction performance of two kind of polymeric coatings with rotating disk apparatus[J]. Australian Journal of Basic & Applied Sciences, 2010, 5: 143-148. | 
| 点击浏览原文 | |
| [18] | 杨海霞.沟槽面湍流边界层减阻的数值研究[D]. 哈尔滨:哈尔滨工程大学, 2008. YANG H X. Numerical study of turbulent drag reduction over riblet surface[D]. Harbin: Harbin Engineering University, 2008 (in Chinese). | 
| 点击浏览原文 | |
| [19] | 田军, 徐锦芬, 薛群基. 低表面能涂层的减阻试验研究[J]. 水动力学研究与进展(A辑), 1997, 12(1): 27-32. TIAN J, XU J F, XUE Q J. An experimental study on the drag reduction of low surface energy coatings[J]. Chinese Journal of Hydrodynamics(A), 1997, 12(1): 27-32 (in Chinese). | 
| 点击浏览原文 | |
| [20] | 田军, 薛群基. 低表面能涂层厚度对降噪效果的影响[J]. 力学与实践, 1998, 20(1): 13-14. TIAN J, XUE Q J. Effect of low surface energy coating thickness on drag and noise reduction[J]. Mechanics and Practice, 1998, 20(1): 13-14 (in Chinese). | 
| 点击浏览原文 | |
| [21] | 田军, 薛群基. 低表面能涂层降低流体噪声的试验研究[J]. 应用科学学报, 1999, 17(1): 114-118. TIAN J, XUE Q J. The reduction of flow noise by low surface energy coating[J]. Journal of Applied Science, 1999, 17(1): 114-118 (in Chinese). | 
| 点击浏览原文 | |
| [22] | RIDGWAY S H, CARDER D A. Features of dolphin skin with potential hydrodynamic importance[J]. IEEE Engineering in Medicine and Biology Magazine, 1993, 12(3): 83-88. | 
| 点击浏览原文 | |
| [23] | BECHERT D W, BRUSE M, HAGE W. Experiments with three-dimensional riblets as an idealized model of shark skin[J]. Experiments in Fluids, 2000, 28(5): 403-412. | 
| 点击浏览原文 | |
| [24] | PAL J W, YAN X S, JEN F L. Characteristics of water strider legs in hydrodynamic situations[J]. Langmuir, 2009, 25(12): 7006-7009. | 
| 点击浏览原文 | |
| [25] | BIXLER G D, BHUSHAN B. Fluid drag reduction with shark-skin riblet inspired microstructured surfaces[J]. Advanced Functional Materials, 2013, 23(36): 4507- 4528. | 
| 点击浏览原文 | |
| [26] | CHOI H, MOIN P, KIM J. Direct numerical simulation of turbulent flow over riblets[J]. Journal of Fluid Mechanics, 1993, 255(10): 503-539. | 
| 点击浏览原文 | |
| [27] | LEE S J, JANG Y G. Control of flow around a NACA 0012 airfoil with a micro-riblet film[J]. Journal of Fluids and Structures, 2005, 20(5): 659-672. | 
| 点击浏览原文 | |
| [28] | CHERNYSHEV O B, ZAYETS V A. Certain charactertistics of the integumentary scales of sharks belonging to different speed groups[J]. Hydrobiological Journal, 1971, 7: 64. | 
| [29] | WALSH M J. Drag characteristics of V-groove and transverse curvature riblets[J]. AIAA, 1980, 72: 168-184. | 
| [30] | WALSH M J. Riblets as a viscous drag reduction technique[J]. AIAA Journal, 1983, 21(4): 485-486. | 
| 点击浏览原文 | |
| [31] | 韩鑫, 张德远, 李翔, 等. 大面积鲨鱼皮复制制备仿生减阻表面研究[J]. 科学通报, 2008, 53(7): 838-842. HAN X, ZHANG D Y, LI X, et al. The drag reductionresearch ofbionic sharkskin replicationsurface[J]. Chinese Science Bulletin, 2008, 53(7): 838-842 (in Chinese). | 
| 点击浏览原文 | |
| [32] | 韩鑫, 张德远. 鲨鱼皮微电铸复制工艺研究[J]. 农业机械学报, 2011, 42(1): 229-234. HAN X, ZHANG D Y. Replication of shark skin based on mocro-electroforming[J]. Transactions of the Chinese Society for Agricultural Machinery, 2011, 42(1): 229-234 (in Chinese). | 
| 点击浏览原文 | |
| [33] | BIXLER G D, BHUSHAN B. Bioinspired rice leaf and butterfly wing surface structures combining shark skin and lotus effects[J]. Soft Matter, 2012, 8(44): 12139-12143. | 
| 点击浏览原文 | |
| [34] | 刘宝胜, 吴为, 曾元松. 鲨鱼皮仿生结构应用及制造技术综述[J]. 塑性工程学报, 2014, 21(4): 56-62. LIU B S, WU W, ZENG Y S. Review on application and fabrication of sharkskinbionic structure[J]. Journal of Plasticity Engineering, 2014, 21(4): 56-62 (in Chinese). | 
| 点击浏览原文 | |
| [35] | HIRT G, THOME M. Rolling of functional metallic surface structures[J]. CIRP Annals-Manufacturing Technology, 2008, 57(1): 317-320. | 
| 点击浏览原文 | |
| [36] | DENKENA B, KOEHLER J, WANG B. Manufacturing of functional riblet structures by profile grinding[J]. Journal of Manufacturing Science and Technology, 2010(3): 14-26. | 
| 点击浏览原文 | |
| [37] | 胡海豹, 黄桥高, 蒋雄, 等. 脊状表面的准LIGA成形技术及其减阻试验研究[J]. 中国机械工程, 2010, 21(3): 336-339. HU H B, HUANG Q G, JIANG X, et al. Study on quasi-LIGA molding technology drag reduction experiment of riblet surface[J]. China Mechanical Engineering, 2010, 21(3): 336-339 (in Chinese). | 
| 点击浏览原文 | |
| [38] | 柯贵喜, 潘光, 黄桥高, 等. 水下减阻技术研究综述[J]. 力学进展, 2009, 39(5): 546-554. KE G X, PAN G, HUANG Q G, et al. Reviews of underwater drag reduction technology[J]. Advances in Mechanics, 2009, 39(5): 546-554 (in Chinese). | 
| 点击浏览原文 | |
| [39] | 莫梦婷, 赵文杰, 陈子飞, 等. 海洋减阻技术的研究现状[J]. 摩擦学学报, 2015, 35(4): 505-515. MO M T, ZHAO W J, CHEN Z F, et al. Research status of marine drag reduction technologies[J]. Tribology, 2015, 35(4): 505-515 (in Chinese). | 
| 点击浏览原文 | |
| [40] | ROBISON S K. Coherent motions in the turbulent boundary layer[J]. Annual Review of Fluid Mechanics, 1991, 23(1): 601-639. | 
| 点击浏览原文 | |
| [41] | BARTHLOTT W, NEINHUIS C. Purity of the sacred lotus, or escape from contamination in biological surfaces[J]. Planta, 1997, 202(1): 1-8. | 
| 点击浏览原文 | |
| [42] | NEINHUIS C, BARTHLOTT W. Characterization and distribution of water-repellent, self-cleaning plant surfaces[J]. Annals of Botany, 1997, 79(6): 667-677. | 
| 点击浏览原文 | |
| [43] | 戴振东, 佟金, 任露泉. 仿生摩擦学研究及发展[J]. 科学通报, 2006, 51(20): 2353-2359. DAI Z D, TONG J, REN L Q. Bionic tribology research and development[J]. Chinese Science Bulletin, 2006, 51(20): 2353-2359 (in Chinese). | 
| [44] | ZHOU Y L, LI M, SU B, et al. Superhydrophobic surface created by the silver mirror reaction and its drag-reduction effect on water[J]. Journal of Materials Chemistry, 2009, 19(20): 3301-3306. | 
| 点击浏览原文 | |
| [45] | DONG H Y, CHENG M, ZHANG Y, et al. Extraordinary drag-reducing effect of a superhydrophobic coating on a macroscopic model ship at high speed[J]. Journal of Materials Chemistry A, 2013, 1(19): 5886-5891. | 
| 点击浏览原文 | |
| [46] | ZHANG S S, OUYANG X, LI J, et al. Underwater drag-reducing effect of superhydrophobic submarine model[J]. Langmuir, 2015, 31(1): 587-593. | 
| 点击浏览原文 | |
| [47] | ZHU X T, ZHANG Z Z, XU X H, et al. Facile fabrication of a superamphiphobic surface on the copper substrate[J]. Journal of Colloid & Interface Science, 2012, 367(1): 443-449. | 
| 点击浏览原文 | |
| [48] | WANG Y, LIU X, ZHANG H, et al. Superhydrophobic surfaces created by a one-step solution-immersion process and their drag-reduction effect on water[J]. RSC Advances, 2015, 5(24): 18909-18914. | 
| 点击浏览原文 | |
| [49] | AUDREY S, CECILE C B, PASCAL K, et al. High friction on a bubble mattress[J]. Nature Materials, 2007, 6(9): 665-668. | 
| 点击浏览原文 | |
| [50] | SU B, LI M, LU Q H. Toward understanding whether superhydrophobic surfaces can really decrease fluidic friction drag[J]. Langmuir, 2010, 26(8): 6048-6052. | 
| 点击浏览原文 | |
| [51] | CHENG M J, SONG M M, DONG H Y, et al. Surface adhesive forces:a metric describing the drag-reducing effects of superhydrophobic coatings[J]. Small, 2014, 11(14): 1665-1667. | 
| 点击浏览原文 | 









