1 引言
为实现人类社会的可持续发展,风能、太阳能等可再生能源的应用得到了不断扩展。根据国家能源局的统计数据,截至2020年底,中国光伏发电装机容量达到2.23亿kW,较上年新增1 870万kW[1 ] ,预计到2030年,光伏发电装机容量将达到1 050 GW[2 ] 。
传统电力系统的频率由同步机的转子转速决定,转子具有较大的旋转惯量,可提供功率支撑,抑制电网频率波动,具有较好的频率响应特性[3 ] 。但随着光伏发电的逐渐增加,常规发电机组总容量在系统中的占比逐渐减小,降低了电网一次调频资源储备容量,导致传统电力系统转动惯量逐渐减小,削弱了电网调频能力[4 ⇓ -6 ] 。此外,由于光伏发电系统自身不具备惯性,光伏发电的功率输出并不响应系统频率的变化,不参与系统的一次调频[7 ] 。由于大规模光伏发电并网挤占了具有转动惯量的同步发电机组空间,会导致电力系统惯量减小与调频能力不足等问题。为此,迫切需要光伏发电主动参与电网频率调节。
目前,国内外学者对光伏参与电网频率调节的研究主要集中在减载控制策略[8 -9 ] 、虚拟同步控制[10 ⇓ ⇓ ⇓ -14 ] 、光储联合调频[15 ⇓ ⇓ ⇓ -19 ] 等方面,如表1 所示。文献[9 ]从经济性方面表明,通过减载运行比加入储能电池在售电收益中优势明显。文献[20 ]提出了一种离线最大功率跟踪与变系数下垂控制方法,实现两级式光伏发电系统对电网的频率支撑。文献[21 ]提出了基于变减载率的减载控制策略,依据电网频率改变光伏发电减载水平,使其主动参与电网频率调节。文献[22 ]讨论虚拟惯量对电网频率扰动的支撑,但是忽略了光伏电源的动态性能。
本文在当前现有研究的基础上,以两级式光伏发电系统为研究对象,利用光伏电源的自身特性,提出一种模型预测控制与下垂控制相结合的调频策略。该策略在有功备用的基础上,通过频率差值改变下垂控制的输出增量与频率偏差率改变模型预测控制的输出增量,从而改变光伏发电的输出功率,使其参与系统调频。最后在Matlab/Simulink平台中搭建了含光伏的两区域仿真模型,并通过仿真结果对理论分析和控制策略进行了有效验证。
2 基于有功备用的光伏发电系统拓扑及运行策略
2.1 光伏发电系统拓扑及运行策略
本文所研究的基于有功备用的光伏发电系统如图1 所示。图1 所示的拓扑结构不含储能部分,其由光伏发电阵列、DC/DC变换器、DC/AC逆变器、变压器、线路、负荷和交流电网构成。图1 中C b1 为直流低压侧电容,C b2 为直流高压侧电容,U pv 为光伏发电阵列的输出电压,U dc 为U pv 经过DC/DC变换器斩波后的直流电压,L f 为滤波电感,L g 和R g 为线路阻抗,P load 为线路负载,U 1 为并网点电压,U g 为电网电压。DC/DC变换器使用Boost升压变换器;DC/AC逆变器为两电平三相桥式逆变器。
图1
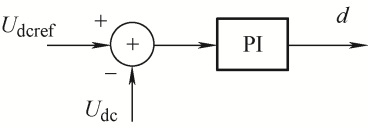
DC/DC变换器采用Boost变换器结构,Boost变换器的控制策略如图2 所示,采用直流电压控制策略,直流侧电压参考值U dcref 与U dc 的误差信号经PI控制器后生成占空比d ,进而产生驱动信号驱动Boost变换器工作。DC/AC逆变器为两电平三相桥式逆变器,网侧逆变器的拓扑结构如图3 所示。网侧逆变器采用基本的恒定功率控制策略,如图4 所示。P ref 和P 分别为有功功率的参考值和实际值;Q ref 和Q 分别为无功功率的参考值和实际值;i dref 和i qref 分别为d 轴电流和q 轴电流的参考值;i d 和i q 分别为逆变器输出d 轴电流和q 轴电流;U d 和U q 分别为电流控制器输出的d 轴调制电压和q 轴调制电压;θ 为锁相环输出的相位。功率外环控制根据有功和无功功率的需求分别生成d 轴和q 轴电流指令值,通过调节d 轴和q 轴电流值来调节注入电网的有功和无功功率。
图2
图3
图4
2.2 基于有功备用的下垂控制策略
在最大功率运行模式下,功率输出并不响应系统频率的变化,光伏电站不参与系统的一次调频,所以光伏电站若要参与系统一次调频,需要运行在功率差值模式为调频留出一定的有功备用,本文选取光伏功率特性曲线右侧为备用侧,预留20%的备用容量[8 ,23 ] 。具体如图5 所示,图中M 为最大功率点,P max 为最大功率点处功率,U max 为最大功率点处电压;A 为有功备用点,P o 为备用点功率,U o 为备用点电压;U oc 为光伏电源得开路电压。
图5
根据有功备用下垂控制策略可知,系统若要参与调频应减载运行,首先需要确定的是有功备用工作点。当系统处于正常运行状态时,即电网频率没有波动时,给定电网同步角速度与网侧实际角速度相等,光伏应运行在有功备用点处P o 。如果网侧频率发生变化,频率-有功环路发生作用,根据网侧频率变化的升降,对原功率指令P o 施加修正量ΔP 值进行修正得到功率指令P* ref ,以此改变光伏的有功出力达到一次调频的效果。总体上当电网频率跌落低于正常运行状态时,光伏发电系统将向外增加输出的有功功率,而当频率上升高于正常运行状态时,光伏发电系统将降低输出的有功功率。
由此可以得到如图6 所示的有功频率特性曲线。用式(1)表示如下
(1) Δ P = K 1 ⋅ f L 1 − f ⋅ P n f < f L 1 K 2 ⋅ f H 1 − f ⋅ P n f > f H 1
式中,Pn 为光伏发电阵列有功功率额定值;K 为调频控制增益,分为上饶值(欠频)K 1 和下饶值(过频)K 2 ;f 为当前测量频率,f L1 为系统欠频动作死区阈值,取49.96,f H1 为系统过频动作死区阈值,取50.03。
图6
根据式(1)与图6 所示的有功频率特性曲线,可以设计基于有功备用的下垂控制策略如图7 所示,图中δ 为备用系数,f d 为额定电网频率。
图7
3 光伏虚拟转子控制策略
3.1 频率预测模型的建立
逆变器的主电路结构和同步发电机的结构存在着一一对应的关系,因此光伏发电系统的逆变器结构可以等效为同步发电机结构。
(2) J ω 0 d ω d t = P m − P e − D ω 0 ω − ω 0
式中,P m 和P e 分别为机械功率和电磁功率;J 为转动惯量;D 为阻尼系数;ω 为电网同步角速度;ω 0 为同步发电机的机械角速度。
(3) J d ω ′ d t = T m − T e − D ω ′
(4) ω ′ = ω − ω 0 T m = P m / ω 0 T e = P e / ω 0
式中,T m 为机械转矩;T e 为电磁转矩;ω ′ 为电网同步角速度与机械角速度之差。
(5) ω ˙ ′ t = 1 J T m t − 1 J T e t − 1 J D ω ′ t y t = C c ω ′ t
式中,y (t )表示系统输出响应,物理含义为角速度偏差。
3.2 频率预测模型求解
先将连续状态下的控制模型进行离散化处理,即根据式(5)可得到式(6)
(6) ω ′ k + 1 = A c ω ′ k + B cu T m k + B cd T e k y k = C c ω ′ k
(7) A c = exp − D J T s B cu = 1 J ∫ 0 T s exp d x − D J T s d t B cd = − 1 J ∫ 0 T s exp − D J T s d t C c = 1
式中,ω ′ ( k ) 是状态变量,表示k 时刻的角频率偏差;T m ( k ) 是控制输入量,表示k 时刻的机械转矩;$y(k)$表示k 时刻被控输出量;T e ( k ) 是可以测量的外部干扰量,表示k 时刻的电磁转矩;T s 是系统采样时间。
系统的全部状态都可以测量得到,为了减少静态误差,可以将式(6)改为增量式(8)
(8) Δ ω ′ k + 1 = A c Δ ω ′ k + B cu Δ T m k + B cd Δ T e k y k = C c Δ ω ′ k + y k − 1
(9) Δ ω ′ k = ω ′ k − ω ′ k − 1 = Δ ω k
设定预测时域为p ,控制时域为m ,且m ≤p 。控制时域之外,控制量机械转矩Δ T m 不变[24 ] ,即
(10) Δ T m k + i = 0 i = m , m + 1 , ⋯ , p − 1
可测干扰量电磁转矩Δ T e 在k 时刻之后就保持不变,即
(11) Δ T e k + i = 0 i = 1 , 2 , ⋯ , p − 1
本文取预测时域与控制时域相等且为3,即m =p =3,可以根据式(8)得到输出预测方程为
(12) Y p ( k + 1 | k ) = S ω Δ ω ′ ( k ) + I y ( k ) + S d Δ T e ( k ) + S u Δ U ( k )
Y p k + 1 k = y ( k + 1 ) y ( k + 2 ) y ( k + 3 ) T
Δ U k = Δ T m k Δ T m k + 1 Δ T m k + 2 T
S ω = A c A c + A c 2 A c + A c 2 + A c 3 T
I = 1 1 1 T
S d = B cd B cd + B cd 2 B cd + B cd 2 + B cd 3 T
(13) S u = B cu 0 0 B cu + A B cu B cu 0 B cu + A B cu + A cu 2 B cu + A B cu B cu
式中,Y P (k+ 1|k )表示对系统未来3步预测的输出量Δ ω ′ 矩阵;ΔU (k )表示对系统3步预测的控制输入量Δ T m 矩阵。
本文控制目标是根据频率变化来改变功率增量,故可以将目标函数定为式(14)
(14) f = ∑ i = 1 3 Q y ( k + i ) 2 + ∑ i = 1 3 R Δ U ( k + i − 1 ) 2
式中,第一项反映了系统对参考轨迹的跟踪能力,参考轨迹为0,即频率变化率为0,其中Q 代表第一项的权重;第二项反映了对控制量变化的控制能力,即对有功功率变化量的控制能力,其中R 代表第二项的权重。
(15) Q = d i a g ( q , q , q ) q > 0 R = d i a g ( r , r , r ) r > 0
(16) λ = Q Y P ( k + 1 | k ) R Δ U ( k )
(17) f = λ T λ
(18) λ = Q S u R Δ U ( k ) − Q E p ( k + 1 ) 0 = A z − b
(19) A = Q S u R z = Δ U ( k ) b = Q E p ( k + 1 ) 0 E p k + 1 = − S ω Δ ω ′ ( k ) + I Q + S d Δ T e ( k )
将式(18)、(19)代入式(17)可以求得极值解为
(20) Z = A T A − 1 A T b
将式(19)代入式(20)可以得到k 时刻时最优控制序列解,即最优控制量ΔT m 的序列解为
(21) Δ U ( k ) = ( S u T Q T Q S u + R T R ) − 1 S u T Q T Q E P ( k + 1 | k )
图8
3.3 控制策略稳定性分析
根据模型预测控制的基本原理,优化解得第一个元素作用于控制系统,即
(22) Δ u ( k ) = [ 1 0 0 ] Δ U k = K mpc E p ( k + 1 )
(23) K mpc = ( S u T Q T Q S u + R T R ) − 1 S u T Q T Q
考虑到一些不确定因素,将被控系统进一步描述为式(24)所示
(24) Δ ω ′ k + 1 = A c Δ ω ′ k + B cu Δ T m k + B cd Δ T e k + B ξ Δ ξ ( k )
将式(6)和式(19)代入式(22)可以得到闭环系统预测控制的表达式为
(25) Δ u ( k ) = − K mpc ( S w + I C c ) Δ ω ′ ( k ) − K mpc I C c ω ′ ( k − 1 ) − K mpc S d Δ T e ( k )
(26) Δ ω ′ ( k + 1 ) = A c − B cu K mpc ( S ω + I C c ) Δ ω ′ ( k ) + B ξ Δ ξ ( k ) + ( B cd − B cu K mpc S d ) Δ T e ( k ) − B cu K mpc I C c ω ′ ( k − 1 )
(27) η = A c − B cu K mpc ( S ω + I C c )
如果η 的所有特征值均在单位圆内,则闭环系统是稳定的。即只要η 的绝对值小于1,则频率变化率可收敛至0。
本文中J =0.1 kg·m2 ,D =10 rad/(N·m),T s =1×10-3 s。根据式(7)、(13)、(15)和式(23)可知
(28) A c ≈ 0.95 B cu K mpc ( S ω + I C c ) ≈ 4.8 × 10 − 3 q r
(29) η = 0.95 − 4.8 × 10 − 3 q r
根据式(29)可以计算出η 的绝对值小于1时,即q /r <406.3时,本文取r =1,q =100,r =100,闭环系统可以稳定。
结合上述章节,本文采用模型预测控制与下垂控制相结合的控制策略。该策略在有功备用的基础上,通过频率差值改变下垂控制的输出增量与通过频率偏差率改变模型预测控制的输出增量,从而改变光伏发电的输出功率,使其参与系统调频。
其中基于有功备用的光伏调频功率跟踪算法如图9 所示。首先运行最大功率跟踪算法,得到最大功率点的电压U max 、功率P max ,然后根据备用系数得到初始备用点功率P o 。计算光伏参与调频后功率P* ref ,运行功率跟踪部分,得到参考电压U pvref ,最后经过积分环节得到参考功率P ref 。整体控制策略图如图10 所示。
图9
图10
4 仿真分析
在Matlab/Simulink仿真平台下搭建单台光伏模型,来验证基于转子运动方程的模型预测控制策略的有效性。光伏电站由多台光伏发电单元组成,其中光伏发电单元采用单机等值模型,光伏电站在限功率状态运行容量为20 MW。仿真时通过并网频率的变化来观察基于转子运动方程的模型预测控制策略能否起到一定的调节作用。仿真波形如图11 和图12 所示。
图11
图12
通过图11 可知,当电网频率突减0.2 Hz时,光伏发电增加发出的功率约为200 kW。通过图12 可知,当电网频率突增0.2 Hz时,光伏发电减少发出的功率约为200 kW。由此可知,基于同步转子运动方程的模型预测策略可以很好地跟随频率变化并使功率增量做出响应。
搭建如图13 所示的区域电网仿真模型,验证本文最终的控制策略,即模型预测控制与下垂控制相结合的控制策略。其中,光伏电站额定容量为125 MW,有功备用为δ =20%,各同步发电机组容量均为198 MW,负载消耗有功功率为480 MW。仿真参数如表2 所示。
图13
条件一:在短时间内光伏的输出功率保持不变,处于限功率运行状态。在仿真时间t =8 s时,负荷突增100 MW,仿真结果图如图14 、图15 所示。
图14
图14
条件一(负荷突增100 MW),仿真波形1
图15
图15
条件一(负荷突增100 MW),仿真波形2
由图14 可知:① 光伏发电采用定功率控制时,当系统增加100 MW负荷时,系统最低频率低于49.75 Hz,危及系统安全稳定运行,且频率有一定的波动;② 当光伏发电采用虚拟转子MPC控制时,暂态过程中瞬间会增发功率来抑制电网频率跌落,起到一定的改善作用;稳态情况下,光伏发电与第一种情况下的稳态值一致。
由图15 可知:① 当光伏发电采用基于有功备用下垂控制策略时,频率给定会按照设置的有功-频率曲线来控制光伏发电增加发出的有功功率来参与电网的频率调节,频率向下波动,系统最低频率低于49.77 Hz,经过10 s后频率重新达到稳定,稳定后频率约为49.9 Hz;② 当采用本文所提的控制策略时,系统最低频率低于49.8 Hz,暂态效果更好,经过9 s后频率重新达到稳定,稳态后频率与下垂控制时保持一致。
条件二:在短时间内光伏的输出功率保持不变,处于限功率运行状态。在仿真t =8 s时,负荷突减100 MW,仿真结果如图16 、图17 所示。
图16
图16
条件二(负荷突减100 MW),仿真波形1
图17
图17
条件二(负荷突减100 MW),仿真波形2
由图16 可知:① 光伏发电采用定功率控制时,当系统减少100 MW负荷时,系统最高频率接近50.25 Hz,危及系统安全稳定运行,且频率有一定的波动;② 当光伏发电采用虚拟转子MPC控制时,暂态效果起到一定的改善作用,而稳态效果则更加平稳。
由图17 可知:① 当光伏发电采用基于有功备用下垂控制策略时,负荷突减100 MW,频率向上波动。暂态效果比定功率控制下更好,并且经过15 s后频率重新达到稳定,稳定后频率约为50.1 Hz;② 可以明显看到与下垂控制相比,当采用本文所提的控制策略时,暂态效果更好,并且经过12 s后频率重新达到稳定,稳态后频率与下垂控制时保持一致。
综上,即本文所提控制策略的效果与单独的有功备用下垂控制效果相比,暂态效果有明显的改善,动态调节速度更快。
条件三:由于光伏电池输出功率随光照强度变化大而受温度影响较小。因此本文考虑光伏源端特性时,只分析光照强度突变的情景。
由图18 和图19 可知,当光照变化的情况时,采用本文所提控制策略得到的频率波形,在频率死区阈值(49.96~50.03 Hz)内,对频率的暂态效果有改善作用,并且动态调节速度更快,稳态值保持不变;在频率死区阈值(49.96~50.03 Hz)外,不仅暂态与动态调节效果得到改善,而且对稳态频率也起到了调节作用。综上所述,在考虑光照强度变化的情况下,本文所提控制策略依然有效。
图18
图19
5 结论
本文以两级式光伏发电为例,考虑了实际应用中光伏要留有一定的备用容量,提出一种模型预测控制与下垂控制相结合的调频策略,通过调节光伏发电输出功率,实现了光伏主动参与电网频率调节的支撑。该策略在有功备用的基础上,通过频率差值改变下垂控制的输出增量与频率偏差率改变模型预测控制的输出增量,从而改变光伏发电的输出功率,使其参与系统调频。最后通过Matlab/Simulink平台建立两区域电网仿真模型,进行仿真验证。得到以下结论。
(1) 本文提出了模型预测控制与下垂控制相结合的控制策略,该控制策略能够较好地跟随频率的变化来改变光伏发电的输出功率,使之参与电网的频率调节,不仅对暂态与动态效果起到改善作用,而且对稳态起到调节作用。
(2) 与传统的下垂控制策略相比,本文所提方法对暂态效果有明显的改善作用,动态调节速度更快,而且不影响系统频率的稳态值。
(3) 在考虑光照强度变化的情况下,本文控制策略依然有效。在频率阈值内能够对频率的暂态与动态效果起到调节,在频率阈值外还能够对稳态起到改善作用。
参考文献
View Option
[1]
国家能源局 . 2018年可再生能源并网运行情况介绍
[EB/OL]. [2019-01-28 ]. http://www.nea.gov.cn/2019-01/28/c_137780519.htm.
URL
[本文引用: 1]
National Energy Administration . Introduction to the operation of grid-connected renewable energy in 2018
[EB/OL]. [2019-01-28 ]. http://www.nea.gov.cn/2019-01/28/c_137780519.htm.
URL
[本文引用: 1]
[2]
国家发展和改革委员会能源研究所 . 中国2050高比例可再生能源发展情景暨路径研究
[R]. 北京 : 国家发展和改革委员会能源研究所 , 2015 .
[本文引用: 1]
Energy Research Institute National Development and Reform Commission . China 2050 high renewable energy penetration scenario and road map study
[R]. Beijing : Energy Research Institute National Development and Reform Commission , 2015 .
[本文引用: 1]
[3]
严干贵 , 张善峰 , 贾祺 , 等 . 光伏发电主动参与电网频率调节的机理分析
[J]. 太阳能学报 , 2021 , 42 (8 ):191 -199 .
[本文引用: 1]
YAN Gangui , ZHANG Shanfeng , JIA Qi , et al. Mechanism of PV generation actively participating in power grid frequency regulation
[J]. Acta Energiae Solaris Sinica , 2021 , 42 (8 ):191 -199 .
[本文引用: 1]
[4]
丁明 , 王伟胜 , 王秀丽 , 等 . 大规模光伏发电对电力系统影响综述
[J]. 中国电机工程学报 , 2014 , 34 (1 ):1 -14 .
[本文引用: 1]
DING Ming , WANG Weisheng , WANG Xiuli , et al. A review on the effect of large-scale PV generation on power systems
[J]. Proceedings of the CSEE , 2014 , 34 (1 ):1 -14 .
[本文引用: 1]
[5]
周孝信 , 陈树勇 , 鲁宗相 , 等 . 能源转型中我国新一代电力系统的技术特征
[J]. 中国电机工程学报 , 2018 , 38 (7 ):1893 -1904 .
[本文引用: 1]
ZHOU Xiaoxin , CHEN Shuyong , LU Zongxiang , et al. Technology features of the new generation power system in China
[J]. Proceedings of the CSEE , 2018 , 38 (7 ):1893 -1904 .
[本文引用: 1]
[6]
DATTA M , SENJYU T , YONA A , et al. A frequency-control approach by photovoltaic generator in a PV-diesel hybrid power system
[J]. IEEE Transactions on Energy Conversion , 2011 , 26 (2 ):559 -571 .
DOI:10.1109/TEC.2010.2089688
URL
[本文引用: 1]
[7]
李洪宇 , 鞠平 , 余一平 , 等 . 随机激励下系统频率动态安全性量化评估及半解析分析
[J]. 中国电机工程学报 , 2017 , 37 (7 ):1955 -1963 .
[本文引用: 1]
LI Hongyu , JU Ping , YU Yiping , et al. Quantitative assessment and semi-analytical analysis for system frequency dynamic security under stochastic excitation
[J]. Proceedings of the CSEE , 2017 , 37 (7 ):1955 -1963 .
[本文引用: 1]
[8]
钟诚 , 周顺康 , 严干贵 , 等 . 基于变减载率的光伏发电参与电网调频控制策略
[J]. 电工技术学报 , 2019 , 34 (5 ):1013 -1024 .
[本文引用: 2]
ZHONG Cheng , ZHOU Shunkang , YAN Gangui , et al. A new frequency regulation control strategy for photovoltaic power plant based on variable power reserve level control
[J]. Transactions of China Electrotechnical Society , 2019 , 34 (5 ):1013 -1024 .
[本文引用: 2]
[9]
OMRAN W A , KAZERANI M , SALAMA M M A . Investigation of methods for reduction of power fluctuations generated from large grid-connected photovoltaic systems
[J]. IEEE Transactions on Energy Conversion , 2011 , 26 (1 ):318 -327 .
DOI:10.1109/TEC.2010.2062515
URL
[本文引用: 2]
[10]
张海峥 , 张兴 , 李明 , 等 . 一种有功备用式光伏虚拟同步控制策略
[J]. 电网技术 , 2019 , 43 (2 ):514 -520 .
[本文引用: 1]
ZHANG Haizheng , ZHANG Xing , LI Ming , et al. A photovoltaic virtual synchronous generator control strategy based on active power reserve
[J]. Power System Technology , 2019 , 43 (2 ):514 -520 .
[本文引用: 1]
[11]
张海峥 , 张兴 , 李明 , 等 . 基于变步长功率跟踪的有功备用式 PV-VSG 控制策略
[J]. 电力系统自动化 , 2019 , 43 (5 ):92 -100 .
[本文引用: 1]
ZHANG Haizheng , ZHANG Xing , LI Ming , et al. Control strategy of PV-VSG in active power reserve mode based on power tracking with variable step
[J]. Automation of Electric Power Systems , 2019 , 43 (5 ):92 -100 .
[本文引用: 1]
[12]
石荣亮 , 张兴 , 刘芳 , 等 . 虚拟同步发电机及其在多能互补微电网中的运行控制策略
[J]. 电工技术学报 , 2016 , 31 (20 ):170 -180 .
[本文引用: 1]
SHI Rongliang , ZHANG Xing , LIU Fang , et al. Control technologies of multi-energy complementary microgrid operation based on virtual synchronous generator
[J]. Transactions of China Electrotechnical Society , 2016 , 31 (20 ):170 -180 .
[本文引用: 1]
[13]
程冲 , 杨欢 , 曾正 , 等 . 虚拟同步发电机的转子惯量自适应控制方法
[J]. 电力系统自动化 , 2015 , 39 (19 ):82 -89 .
[本文引用: 1]
CHENG Chong , YANG Huan , ZENG Zheng , et al. Rotor inertia adaptive control method of VSG
[J]. Automation of Electric Power Systems , 2015 , 39 (19 ):82 -89 .
[本文引用: 1]
[14]
张卫红 , 佟宗超 , 许鑫 . 基于VSG的分布式光伏系统运行与控制
[J]. 电力电子技术 , 2013 , 47 (8 ):38 -40 .
[本文引用: 1]
ZHANG Weihong , TONG Zongchao , XU Xin . Control and operation of distributed photovoltaic system based on virtual synchronous generator
[J]. Power Electronics , 2013 , 47 (8 ):38 -40 .
[本文引用: 1]
[15]
田春光 , 田利 , 李德鑫 , 等 . 基于混合储能系统跟踪光伏发电输出功率的控制策略
[J]. 电工技术学报 , 2016 , 31 (14 ):75 -83 .
[本文引用: 1]
TIAN Chunguang , TIAN Li , LI Dexin , et al. Control strategy for tracking the output power of photovoltaic power generation based on hybrid energy storage system
[J]. Transactions of China Electrotechnical Society , 2016 , 31 (14 ):75 -83 .
[本文引用: 1]
[16]
蔡国伟 , 孔令国 , 潘超 , 等 . 风光储联合发电系统的建模及并网控制策略
[J]. 电工技术学报 , 2013 , 28 (9 ):196 -204 .
[本文引用: 1]
CAI Guowei , KONG Lingguo , PAN Chao , et al. System modeling of wind-PV-ES hybrid power system and its control strategy for grid-connected
[J]. Transactions of China Electrotechnical Society , 2013 , 28 (9 ):196 -204 .
[本文引用: 1]
[17]
HILL C A , SUCH M C , CHEN D , et al. Battery energy storage for enabling integration of distributed solar power generation
[J]. IEEE Transactions on Smart Grid , 2012 , 3 (2 ):850 -857 .
DOI:10.1109/TSG.2012.2190113
URL
[本文引用: 1]
[18]
ZARINA P P , MISHRA S , SEKHAR P C . Exploring frequency control capability of a PV system in a hybrid PV-rotating machine-without storage system
[J]. International Journal of Electrical Power & Energy Systems , 2014 , 60 :258 -267 .
DOI:10.1016/j.ijepes.2014.02.033
URL
[本文引用: 1]
[19]
黄际元 , 李欣然 , 常敏 , 等 . 考虑储能电池参与一次调频技术经济模型的容量配置方法
[J]. 电工技术学报 , 2017 , 32 (21 ):112 -121 .
[本文引用: 1]
HUANG Jiyuan , LI Xinran , CHANG Min , et al. Capacity allocation of BESS in primary frequency regulation considering its technical-economic model
[J]. Transactions of China Electrotechnical Society , 2017 , 32 (21 ):112 -121 .
[本文引用: 1]
[20]
JIBJI B F , ANAYA L O . Frequency support from photovoltaic power plants using offline maximum power point tracking and variable droop control
[J]. IET Renewable Power Generation , 2019 , 13 (13 ):2278 -2286 .
DOI:10.1049/rpg2.v13.13
URL
[本文引用: 1]
[21]
CRACIUN B , KEREKES T , SERA D , et al. Frequency support functions in large PV power plants with active power reserves
[J]. IEEE Journal of Emerging and Selected Topics in Power Electronics , 2014 , 2 (4 ):849 -858 .
DOI:10.1109/JESTPE.2014.2344176
URL
[本文引用: 1]
[22]
杨慧彪 , 贾祺 , 项丽 , 等 . 双级式光伏发电虚拟惯量控制策略
[J]. 电力系统自动化 , 2019 , 43 (10 ):87 -102 .
[本文引用: 1]
YANG Huibiao , JIA Qi , XIANG Li , et al. Virtual inertia control strategies for double-stage grid-connected photovoltaic generation
[J]. Automation of Electric Power Systems , 2019 , 43 (10 ):87 -102 .
[本文引用: 1]
[23]
吴俊鹏 , 杨晓栋 , 翟学 , 等 . 并网光伏电站的一次调频特性分析
[J]. 电测与仪表 , 2016 , 53 (19 ):88 -92 .
[本文引用: 1]
WU Junpeng , YANG Xiaodong , ZHAI Xue , et al. Analysis on primary frequency regulation of grid-connected PV station in power system
[J]. Electrical Measurement & Instrumentation , 2016 , 53 (19 ):88 -92 .
[本文引用: 1]
[24]
陈虹 . 模型预测控制 [M]. 北京 : 科学出版社 , 2013 .
[本文引用: 1]
CHEN Hong . Model predictive control [M]. Beijing : Science Press , 2013 .
[本文引用: 1]
2018年可再生能源并网运行情况介绍
1
... 为实现人类社会的可持续发展,风能、太阳能等可再生能源的应用得到了不断扩展.根据国家能源局的统计数据,截至2020年底,中国光伏发电装机容量达到2.23亿kW,较上年新增1 870万kW[1 ] ,预计到2030年,光伏发电装机容量将达到1 050 GW[2 ] . ...
Introduction to the operation of grid-connected renewable energy in 2018
1
... 为实现人类社会的可持续发展,风能、太阳能等可再生能源的应用得到了不断扩展.根据国家能源局的统计数据,截至2020年底,中国光伏发电装机容量达到2.23亿kW,较上年新增1 870万kW[1 ] ,预计到2030年,光伏发电装机容量将达到1 050 GW[2 ] . ...
中国2050高比例可再生能源发展情景暨路径研究
1
2015
... 为实现人类社会的可持续发展,风能、太阳能等可再生能源的应用得到了不断扩展.根据国家能源局的统计数据,截至2020年底,中国光伏发电装机容量达到2.23亿kW,较上年新增1 870万kW[1 ] ,预计到2030年,光伏发电装机容量将达到1 050 GW[2 ] . ...
China 2050 high renewable energy penetration scenario and road map study
1
2015
... 为实现人类社会的可持续发展,风能、太阳能等可再生能源的应用得到了不断扩展.根据国家能源局的统计数据,截至2020年底,中国光伏发电装机容量达到2.23亿kW,较上年新增1 870万kW[1 ] ,预计到2030年,光伏发电装机容量将达到1 050 GW[2 ] . ...
光伏发电主动参与电网频率调节的机理分析
1
2021
... 传统电力系统的频率由同步机的转子转速决定,转子具有较大的旋转惯量,可提供功率支撑,抑制电网频率波动,具有较好的频率响应特性[3 ] .但随着光伏发电的逐渐增加,常规发电机组总容量在系统中的占比逐渐减小,降低了电网一次调频资源储备容量,导致传统电力系统转动惯量逐渐减小,削弱了电网调频能力[4 ⇓ -6 ] .此外,由于光伏发电系统自身不具备惯性,光伏发电的功率输出并不响应系统频率的变化,不参与系统的一次调频[7 ] .由于大规模光伏发电并网挤占了具有转动惯量的同步发电机组空间,会导致电力系统惯量减小与调频能力不足等问题.为此,迫切需要光伏发电主动参与电网频率调节. ...
Mechanism of PV generation actively participating in power grid frequency regulation
1
2021
... 传统电力系统的频率由同步机的转子转速决定,转子具有较大的旋转惯量,可提供功率支撑,抑制电网频率波动,具有较好的频率响应特性[3 ] .但随着光伏发电的逐渐增加,常规发电机组总容量在系统中的占比逐渐减小,降低了电网一次调频资源储备容量,导致传统电力系统转动惯量逐渐减小,削弱了电网调频能力[4 ⇓ -6 ] .此外,由于光伏发电系统自身不具备惯性,光伏发电的功率输出并不响应系统频率的变化,不参与系统的一次调频[7 ] .由于大规模光伏发电并网挤占了具有转动惯量的同步发电机组空间,会导致电力系统惯量减小与调频能力不足等问题.为此,迫切需要光伏发电主动参与电网频率调节. ...
大规模光伏发电对电力系统影响综述
1
2014
... 传统电力系统的频率由同步机的转子转速决定,转子具有较大的旋转惯量,可提供功率支撑,抑制电网频率波动,具有较好的频率响应特性[3 ] .但随着光伏发电的逐渐增加,常规发电机组总容量在系统中的占比逐渐减小,降低了电网一次调频资源储备容量,导致传统电力系统转动惯量逐渐减小,削弱了电网调频能力[4 ⇓ -6 ] .此外,由于光伏发电系统自身不具备惯性,光伏发电的功率输出并不响应系统频率的变化,不参与系统的一次调频[7 ] .由于大规模光伏发电并网挤占了具有转动惯量的同步发电机组空间,会导致电力系统惯量减小与调频能力不足等问题.为此,迫切需要光伏发电主动参与电网频率调节. ...
A review on the effect of large-scale PV generation on power systems
1
2014
... 传统电力系统的频率由同步机的转子转速决定,转子具有较大的旋转惯量,可提供功率支撑,抑制电网频率波动,具有较好的频率响应特性[3 ] .但随着光伏发电的逐渐增加,常规发电机组总容量在系统中的占比逐渐减小,降低了电网一次调频资源储备容量,导致传统电力系统转动惯量逐渐减小,削弱了电网调频能力[4 ⇓ -6 ] .此外,由于光伏发电系统自身不具备惯性,光伏发电的功率输出并不响应系统频率的变化,不参与系统的一次调频[7 ] .由于大规模光伏发电并网挤占了具有转动惯量的同步发电机组空间,会导致电力系统惯量减小与调频能力不足等问题.为此,迫切需要光伏发电主动参与电网频率调节. ...
能源转型中我国新一代电力系统的技术特征
1
2018
... 传统电力系统的频率由同步机的转子转速决定,转子具有较大的旋转惯量,可提供功率支撑,抑制电网频率波动,具有较好的频率响应特性[3 ] .但随着光伏发电的逐渐增加,常规发电机组总容量在系统中的占比逐渐减小,降低了电网一次调频资源储备容量,导致传统电力系统转动惯量逐渐减小,削弱了电网调频能力[4 ⇓ -6 ] .此外,由于光伏发电系统自身不具备惯性,光伏发电的功率输出并不响应系统频率的变化,不参与系统的一次调频[7 ] .由于大规模光伏发电并网挤占了具有转动惯量的同步发电机组空间,会导致电力系统惯量减小与调频能力不足等问题.为此,迫切需要光伏发电主动参与电网频率调节. ...
Technology features of the new generation power system in China
1
2018
... 传统电力系统的频率由同步机的转子转速决定,转子具有较大的旋转惯量,可提供功率支撑,抑制电网频率波动,具有较好的频率响应特性[3 ] .但随着光伏发电的逐渐增加,常规发电机组总容量在系统中的占比逐渐减小,降低了电网一次调频资源储备容量,导致传统电力系统转动惯量逐渐减小,削弱了电网调频能力[4 ⇓ -6 ] .此外,由于光伏发电系统自身不具备惯性,光伏发电的功率输出并不响应系统频率的变化,不参与系统的一次调频[7 ] .由于大规模光伏发电并网挤占了具有转动惯量的同步发电机组空间,会导致电力系统惯量减小与调频能力不足等问题.为此,迫切需要光伏发电主动参与电网频率调节. ...
A frequency-control approach by photovoltaic generator in a PV-diesel hybrid power system
1
2011
... 传统电力系统的频率由同步机的转子转速决定,转子具有较大的旋转惯量,可提供功率支撑,抑制电网频率波动,具有较好的频率响应特性[3 ] .但随着光伏发电的逐渐增加,常规发电机组总容量在系统中的占比逐渐减小,降低了电网一次调频资源储备容量,导致传统电力系统转动惯量逐渐减小,削弱了电网调频能力[4 ⇓ -6 ] .此外,由于光伏发电系统自身不具备惯性,光伏发电的功率输出并不响应系统频率的变化,不参与系统的一次调频[7 ] .由于大规模光伏发电并网挤占了具有转动惯量的同步发电机组空间,会导致电力系统惯量减小与调频能力不足等问题.为此,迫切需要光伏发电主动参与电网频率调节. ...
随机激励下系统频率动态安全性量化评估及半解析分析
1
2017
... 传统电力系统的频率由同步机的转子转速决定,转子具有较大的旋转惯量,可提供功率支撑,抑制电网频率波动,具有较好的频率响应特性[3 ] .但随着光伏发电的逐渐增加,常规发电机组总容量在系统中的占比逐渐减小,降低了电网一次调频资源储备容量,导致传统电力系统转动惯量逐渐减小,削弱了电网调频能力[4 ⇓ -6 ] .此外,由于光伏发电系统自身不具备惯性,光伏发电的功率输出并不响应系统频率的变化,不参与系统的一次调频[7 ] .由于大规模光伏发电并网挤占了具有转动惯量的同步发电机组空间,会导致电力系统惯量减小与调频能力不足等问题.为此,迫切需要光伏发电主动参与电网频率调节. ...
Quantitative assessment and semi-analytical analysis for system frequency dynamic security under stochastic excitation
1
2017
... 传统电力系统的频率由同步机的转子转速决定,转子具有较大的旋转惯量,可提供功率支撑,抑制电网频率波动,具有较好的频率响应特性[3 ] .但随着光伏发电的逐渐增加,常规发电机组总容量在系统中的占比逐渐减小,降低了电网一次调频资源储备容量,导致传统电力系统转动惯量逐渐减小,削弱了电网调频能力[4 ⇓ -6 ] .此外,由于光伏发电系统自身不具备惯性,光伏发电的功率输出并不响应系统频率的变化,不参与系统的一次调频[7 ] .由于大规模光伏发电并网挤占了具有转动惯量的同步发电机组空间,会导致电力系统惯量减小与调频能力不足等问题.为此,迫切需要光伏发电主动参与电网频率调节. ...
基于变减载率的光伏发电参与电网调频控制策略
2
2019
... 目前,国内外学者对光伏参与电网频率调节的研究主要集中在减载控制策略[8 -9 ] 、虚拟同步控制[10 ⇓ ⇓ ⇓ -14 ] 、光储联合调频[15 ⇓ ⇓ ⇓ -19 ] 等方面,如表1 所示.文献[9 ]从经济性方面表明,通过减载运行比加入储能电池在售电收益中优势明显.文献[20 ]提出了一种离线最大功率跟踪与变系数下垂控制方法,实现两级式光伏发电系统对电网的频率支撑.文献[21 ]提出了基于变减载率的减载控制策略,依据电网频率改变光伏发电减载水平,使其主动参与电网频率调节.文献[22 ]讨论虚拟惯量对电网频率扰动的支撑,但是忽略了光伏电源的动态性能. ...
... 在最大功率运行模式下,功率输出并不响应系统频率的变化,光伏电站不参与系统的一次调频,所以光伏电站若要参与系统一次调频,需要运行在功率差值模式为调频留出一定的有功备用,本文选取光伏功率特性曲线右侧为备用侧,预留20%的备用容量[8 ,23 ] .具体如图5 所示,图中M 为最大功率点,P max 为最大功率点处功率,U max 为最大功率点处电压;A 为有功备用点,P o 为备用点功率,U o 为备用点电压;U oc 为光伏电源得开路电压. ...
A new frequency regulation control strategy for photovoltaic power plant based on variable power reserve level control
2
2019
... 目前,国内外学者对光伏参与电网频率调节的研究主要集中在减载控制策略[8 -9 ] 、虚拟同步控制[10 ⇓ ⇓ ⇓ -14 ] 、光储联合调频[15 ⇓ ⇓ ⇓ -19 ] 等方面,如表1 所示.文献[9 ]从经济性方面表明,通过减载运行比加入储能电池在售电收益中优势明显.文献[20 ]提出了一种离线最大功率跟踪与变系数下垂控制方法,实现两级式光伏发电系统对电网的频率支撑.文献[21 ]提出了基于变减载率的减载控制策略,依据电网频率改变光伏发电减载水平,使其主动参与电网频率调节.文献[22 ]讨论虚拟惯量对电网频率扰动的支撑,但是忽略了光伏电源的动态性能. ...
... 在最大功率运行模式下,功率输出并不响应系统频率的变化,光伏电站不参与系统的一次调频,所以光伏电站若要参与系统一次调频,需要运行在功率差值模式为调频留出一定的有功备用,本文选取光伏功率特性曲线右侧为备用侧,预留20%的备用容量[8 ,23 ] .具体如图5 所示,图中M 为最大功率点,P max 为最大功率点处功率,U max 为最大功率点处电压;A 为有功备用点,P o 为备用点功率,U o 为备用点电压;U oc 为光伏电源得开路电压. ...
Investigation of methods for reduction of power fluctuations generated from large grid-connected photovoltaic systems
2
2011
... 目前,国内外学者对光伏参与电网频率调节的研究主要集中在减载控制策略[8 -9 ] 、虚拟同步控制[10 ⇓ ⇓ ⇓ -14 ] 、光储联合调频[15 ⇓ ⇓ ⇓ -19 ] 等方面,如表1 所示.文献[9 ]从经济性方面表明,通过减载运行比加入储能电池在售电收益中优势明显.文献[20 ]提出了一种离线最大功率跟踪与变系数下垂控制方法,实现两级式光伏发电系统对电网的频率支撑.文献[21 ]提出了基于变减载率的减载控制策略,依据电网频率改变光伏发电减载水平,使其主动参与电网频率调节.文献[22 ]讨论虚拟惯量对电网频率扰动的支撑,但是忽略了光伏电源的动态性能. ...
... 所示.文献[9 ]从经济性方面表明,通过减载运行比加入储能电池在售电收益中优势明显.文献[20 ]提出了一种离线最大功率跟踪与变系数下垂控制方法,实现两级式光伏发电系统对电网的频率支撑.文献[21 ]提出了基于变减载率的减载控制策略,依据电网频率改变光伏发电减载水平,使其主动参与电网频率调节.文献[22 ]讨论虚拟惯量对电网频率扰动的支撑,但是忽略了光伏电源的动态性能. ...
一种有功备用式光伏虚拟同步控制策略
1
2019
... 目前,国内外学者对光伏参与电网频率调节的研究主要集中在减载控制策略[8 -9 ] 、虚拟同步控制[10 ⇓ ⇓ ⇓ -14 ] 、光储联合调频[15 ⇓ ⇓ ⇓ -19 ] 等方面,如表1 所示.文献[9 ]从经济性方面表明,通过减载运行比加入储能电池在售电收益中优势明显.文献[20 ]提出了一种离线最大功率跟踪与变系数下垂控制方法,实现两级式光伏发电系统对电网的频率支撑.文献[21 ]提出了基于变减载率的减载控制策略,依据电网频率改变光伏发电减载水平,使其主动参与电网频率调节.文献[22 ]讨论虚拟惯量对电网频率扰动的支撑,但是忽略了光伏电源的动态性能. ...
A photovoltaic virtual synchronous generator control strategy based on active power reserve
1
2019
... 目前,国内外学者对光伏参与电网频率调节的研究主要集中在减载控制策略[8 -9 ] 、虚拟同步控制[10 ⇓ ⇓ ⇓ -14 ] 、光储联合调频[15 ⇓ ⇓ ⇓ -19 ] 等方面,如表1 所示.文献[9 ]从经济性方面表明,通过减载运行比加入储能电池在售电收益中优势明显.文献[20 ]提出了一种离线最大功率跟踪与变系数下垂控制方法,实现两级式光伏发电系统对电网的频率支撑.文献[21 ]提出了基于变减载率的减载控制策略,依据电网频率改变光伏发电减载水平,使其主动参与电网频率调节.文献[22 ]讨论虚拟惯量对电网频率扰动的支撑,但是忽略了光伏电源的动态性能. ...
基于变步长功率跟踪的有功备用式 PV-VSG 控制策略
1
2019
... 目前,国内外学者对光伏参与电网频率调节的研究主要集中在减载控制策略[8 -9 ] 、虚拟同步控制[10 ⇓ ⇓ ⇓ -14 ] 、光储联合调频[15 ⇓ ⇓ ⇓ -19 ] 等方面,如表1 所示.文献[9 ]从经济性方面表明,通过减载运行比加入储能电池在售电收益中优势明显.文献[20 ]提出了一种离线最大功率跟踪与变系数下垂控制方法,实现两级式光伏发电系统对电网的频率支撑.文献[21 ]提出了基于变减载率的减载控制策略,依据电网频率改变光伏发电减载水平,使其主动参与电网频率调节.文献[22 ]讨论虚拟惯量对电网频率扰动的支撑,但是忽略了光伏电源的动态性能. ...
Control strategy of PV-VSG in active power reserve mode based on power tracking with variable step
1
2019
... 目前,国内外学者对光伏参与电网频率调节的研究主要集中在减载控制策略[8 -9 ] 、虚拟同步控制[10 ⇓ ⇓ ⇓ -14 ] 、光储联合调频[15 ⇓ ⇓ ⇓ -19 ] 等方面,如表1 所示.文献[9 ]从经济性方面表明,通过减载运行比加入储能电池在售电收益中优势明显.文献[20 ]提出了一种离线最大功率跟踪与变系数下垂控制方法,实现两级式光伏发电系统对电网的频率支撑.文献[21 ]提出了基于变减载率的减载控制策略,依据电网频率改变光伏发电减载水平,使其主动参与电网频率调节.文献[22 ]讨论虚拟惯量对电网频率扰动的支撑,但是忽略了光伏电源的动态性能. ...
虚拟同步发电机及其在多能互补微电网中的运行控制策略
1
2016
... 目前,国内外学者对光伏参与电网频率调节的研究主要集中在减载控制策略[8 -9 ] 、虚拟同步控制[10 ⇓ ⇓ ⇓ -14 ] 、光储联合调频[15 ⇓ ⇓ ⇓ -19 ] 等方面,如表1 所示.文献[9 ]从经济性方面表明,通过减载运行比加入储能电池在售电收益中优势明显.文献[20 ]提出了一种离线最大功率跟踪与变系数下垂控制方法,实现两级式光伏发电系统对电网的频率支撑.文献[21 ]提出了基于变减载率的减载控制策略,依据电网频率改变光伏发电减载水平,使其主动参与电网频率调节.文献[22 ]讨论虚拟惯量对电网频率扰动的支撑,但是忽略了光伏电源的动态性能. ...
Control technologies of multi-energy complementary microgrid operation based on virtual synchronous generator
1
2016
... 目前,国内外学者对光伏参与电网频率调节的研究主要集中在减载控制策略[8 -9 ] 、虚拟同步控制[10 ⇓ ⇓ ⇓ -14 ] 、光储联合调频[15 ⇓ ⇓ ⇓ -19 ] 等方面,如表1 所示.文献[9 ]从经济性方面表明,通过减载运行比加入储能电池在售电收益中优势明显.文献[20 ]提出了一种离线最大功率跟踪与变系数下垂控制方法,实现两级式光伏发电系统对电网的频率支撑.文献[21 ]提出了基于变减载率的减载控制策略,依据电网频率改变光伏发电减载水平,使其主动参与电网频率调节.文献[22 ]讨论虚拟惯量对电网频率扰动的支撑,但是忽略了光伏电源的动态性能. ...
虚拟同步发电机的转子惯量自适应控制方法
1
2015
... 目前,国内外学者对光伏参与电网频率调节的研究主要集中在减载控制策略[8 -9 ] 、虚拟同步控制[10 ⇓ ⇓ ⇓ -14 ] 、光储联合调频[15 ⇓ ⇓ ⇓ -19 ] 等方面,如表1 所示.文献[9 ]从经济性方面表明,通过减载运行比加入储能电池在售电收益中优势明显.文献[20 ]提出了一种离线最大功率跟踪与变系数下垂控制方法,实现两级式光伏发电系统对电网的频率支撑.文献[21 ]提出了基于变减载率的减载控制策略,依据电网频率改变光伏发电减载水平,使其主动参与电网频率调节.文献[22 ]讨论虚拟惯量对电网频率扰动的支撑,但是忽略了光伏电源的动态性能. ...
Rotor inertia adaptive control method of VSG
1
2015
... 目前,国内外学者对光伏参与电网频率调节的研究主要集中在减载控制策略[8 -9 ] 、虚拟同步控制[10 ⇓ ⇓ ⇓ -14 ] 、光储联合调频[15 ⇓ ⇓ ⇓ -19 ] 等方面,如表1 所示.文献[9 ]从经济性方面表明,通过减载运行比加入储能电池在售电收益中优势明显.文献[20 ]提出了一种离线最大功率跟踪与变系数下垂控制方法,实现两级式光伏发电系统对电网的频率支撑.文献[21 ]提出了基于变减载率的减载控制策略,依据电网频率改变光伏发电减载水平,使其主动参与电网频率调节.文献[22 ]讨论虚拟惯量对电网频率扰动的支撑,但是忽略了光伏电源的动态性能. ...
基于VSG的分布式光伏系统运行与控制
1
2013
... 目前,国内外学者对光伏参与电网频率调节的研究主要集中在减载控制策略[8 -9 ] 、虚拟同步控制[10 ⇓ ⇓ ⇓ -14 ] 、光储联合调频[15 ⇓ ⇓ ⇓ -19 ] 等方面,如表1 所示.文献[9 ]从经济性方面表明,通过减载运行比加入储能电池在售电收益中优势明显.文献[20 ]提出了一种离线最大功率跟踪与变系数下垂控制方法,实现两级式光伏发电系统对电网的频率支撑.文献[21 ]提出了基于变减载率的减载控制策略,依据电网频率改变光伏发电减载水平,使其主动参与电网频率调节.文献[22 ]讨论虚拟惯量对电网频率扰动的支撑,但是忽略了光伏电源的动态性能. ...
Control and operation of distributed photovoltaic system based on virtual synchronous generator
1
2013
... 目前,国内外学者对光伏参与电网频率调节的研究主要集中在减载控制策略[8 -9 ] 、虚拟同步控制[10 ⇓ ⇓ ⇓ -14 ] 、光储联合调频[15 ⇓ ⇓ ⇓ -19 ] 等方面,如表1 所示.文献[9 ]从经济性方面表明,通过减载运行比加入储能电池在售电收益中优势明显.文献[20 ]提出了一种离线最大功率跟踪与变系数下垂控制方法,实现两级式光伏发电系统对电网的频率支撑.文献[21 ]提出了基于变减载率的减载控制策略,依据电网频率改变光伏发电减载水平,使其主动参与电网频率调节.文献[22 ]讨论虚拟惯量对电网频率扰动的支撑,但是忽略了光伏电源的动态性能. ...
基于混合储能系统跟踪光伏发电输出功率的控制策略
1
2016
... 目前,国内外学者对光伏参与电网频率调节的研究主要集中在减载控制策略[8 -9 ] 、虚拟同步控制[10 ⇓ ⇓ ⇓ -14 ] 、光储联合调频[15 ⇓ ⇓ ⇓ -19 ] 等方面,如表1 所示.文献[9 ]从经济性方面表明,通过减载运行比加入储能电池在售电收益中优势明显.文献[20 ]提出了一种离线最大功率跟踪与变系数下垂控制方法,实现两级式光伏发电系统对电网的频率支撑.文献[21 ]提出了基于变减载率的减载控制策略,依据电网频率改变光伏发电减载水平,使其主动参与电网频率调节.文献[22 ]讨论虚拟惯量对电网频率扰动的支撑,但是忽略了光伏电源的动态性能. ...
Control strategy for tracking the output power of photovoltaic power generation based on hybrid energy storage system
1
2016
... 目前,国内外学者对光伏参与电网频率调节的研究主要集中在减载控制策略[8 -9 ] 、虚拟同步控制[10 ⇓ ⇓ ⇓ -14 ] 、光储联合调频[15 ⇓ ⇓ ⇓ -19 ] 等方面,如表1 所示.文献[9 ]从经济性方面表明,通过减载运行比加入储能电池在售电收益中优势明显.文献[20 ]提出了一种离线最大功率跟踪与变系数下垂控制方法,实现两级式光伏发电系统对电网的频率支撑.文献[21 ]提出了基于变减载率的减载控制策略,依据电网频率改变光伏发电减载水平,使其主动参与电网频率调节.文献[22 ]讨论虚拟惯量对电网频率扰动的支撑,但是忽略了光伏电源的动态性能. ...
风光储联合发电系统的建模及并网控制策略
1
2013
... 目前,国内外学者对光伏参与电网频率调节的研究主要集中在减载控制策略[8 -9 ] 、虚拟同步控制[10 ⇓ ⇓ ⇓ -14 ] 、光储联合调频[15 ⇓ ⇓ ⇓ -19 ] 等方面,如表1 所示.文献[9 ]从经济性方面表明,通过减载运行比加入储能电池在售电收益中优势明显.文献[20 ]提出了一种离线最大功率跟踪与变系数下垂控制方法,实现两级式光伏发电系统对电网的频率支撑.文献[21 ]提出了基于变减载率的减载控制策略,依据电网频率改变光伏发电减载水平,使其主动参与电网频率调节.文献[22 ]讨论虚拟惯量对电网频率扰动的支撑,但是忽略了光伏电源的动态性能. ...
System modeling of wind-PV-ES hybrid power system and its control strategy for grid-connected
1
2013
... 目前,国内外学者对光伏参与电网频率调节的研究主要集中在减载控制策略[8 -9 ] 、虚拟同步控制[10 ⇓ ⇓ ⇓ -14 ] 、光储联合调频[15 ⇓ ⇓ ⇓ -19 ] 等方面,如表1 所示.文献[9 ]从经济性方面表明,通过减载运行比加入储能电池在售电收益中优势明显.文献[20 ]提出了一种离线最大功率跟踪与变系数下垂控制方法,实现两级式光伏发电系统对电网的频率支撑.文献[21 ]提出了基于变减载率的减载控制策略,依据电网频率改变光伏发电减载水平,使其主动参与电网频率调节.文献[22 ]讨论虚拟惯量对电网频率扰动的支撑,但是忽略了光伏电源的动态性能. ...
Battery energy storage for enabling integration of distributed solar power generation
1
2012
... 目前,国内外学者对光伏参与电网频率调节的研究主要集中在减载控制策略[8 -9 ] 、虚拟同步控制[10 ⇓ ⇓ ⇓ -14 ] 、光储联合调频[15 ⇓ ⇓ ⇓ -19 ] 等方面,如表1 所示.文献[9 ]从经济性方面表明,通过减载运行比加入储能电池在售电收益中优势明显.文献[20 ]提出了一种离线最大功率跟踪与变系数下垂控制方法,实现两级式光伏发电系统对电网的频率支撑.文献[21 ]提出了基于变减载率的减载控制策略,依据电网频率改变光伏发电减载水平,使其主动参与电网频率调节.文献[22 ]讨论虚拟惯量对电网频率扰动的支撑,但是忽略了光伏电源的动态性能. ...
Exploring frequency control capability of a PV system in a hybrid PV-rotating machine-without storage system
1
2014
... 目前,国内外学者对光伏参与电网频率调节的研究主要集中在减载控制策略[8 -9 ] 、虚拟同步控制[10 ⇓ ⇓ ⇓ -14 ] 、光储联合调频[15 ⇓ ⇓ ⇓ -19 ] 等方面,如表1 所示.文献[9 ]从经济性方面表明,通过减载运行比加入储能电池在售电收益中优势明显.文献[20 ]提出了一种离线最大功率跟踪与变系数下垂控制方法,实现两级式光伏发电系统对电网的频率支撑.文献[21 ]提出了基于变减载率的减载控制策略,依据电网频率改变光伏发电减载水平,使其主动参与电网频率调节.文献[22 ]讨论虚拟惯量对电网频率扰动的支撑,但是忽略了光伏电源的动态性能. ...
考虑储能电池参与一次调频技术经济模型的容量配置方法
1
2017
... 目前,国内外学者对光伏参与电网频率调节的研究主要集中在减载控制策略[8 -9 ] 、虚拟同步控制[10 ⇓ ⇓ ⇓ -14 ] 、光储联合调频[15 ⇓ ⇓ ⇓ -19 ] 等方面,如表1 所示.文献[9 ]从经济性方面表明,通过减载运行比加入储能电池在售电收益中优势明显.文献[20 ]提出了一种离线最大功率跟踪与变系数下垂控制方法,实现两级式光伏发电系统对电网的频率支撑.文献[21 ]提出了基于变减载率的减载控制策略,依据电网频率改变光伏发电减载水平,使其主动参与电网频率调节.文献[22 ]讨论虚拟惯量对电网频率扰动的支撑,但是忽略了光伏电源的动态性能. ...
Capacity allocation of BESS in primary frequency regulation considering its technical-economic model
1
2017
... 目前,国内外学者对光伏参与电网频率调节的研究主要集中在减载控制策略[8 -9 ] 、虚拟同步控制[10 ⇓ ⇓ ⇓ -14 ] 、光储联合调频[15 ⇓ ⇓ ⇓ -19 ] 等方面,如表1 所示.文献[9 ]从经济性方面表明,通过减载运行比加入储能电池在售电收益中优势明显.文献[20 ]提出了一种离线最大功率跟踪与变系数下垂控制方法,实现两级式光伏发电系统对电网的频率支撑.文献[21 ]提出了基于变减载率的减载控制策略,依据电网频率改变光伏发电减载水平,使其主动参与电网频率调节.文献[22 ]讨论虚拟惯量对电网频率扰动的支撑,但是忽略了光伏电源的动态性能. ...
Frequency support from photovoltaic power plants using offline maximum power point tracking and variable droop control
1
2019
... 目前,国内外学者对光伏参与电网频率调节的研究主要集中在减载控制策略[8 -9 ] 、虚拟同步控制[10 ⇓ ⇓ ⇓ -14 ] 、光储联合调频[15 ⇓ ⇓ ⇓ -19 ] 等方面,如表1 所示.文献[9 ]从经济性方面表明,通过减载运行比加入储能电池在售电收益中优势明显.文献[20 ]提出了一种离线最大功率跟踪与变系数下垂控制方法,实现两级式光伏发电系统对电网的频率支撑.文献[21 ]提出了基于变减载率的减载控制策略,依据电网频率改变光伏发电减载水平,使其主动参与电网频率调节.文献[22 ]讨论虚拟惯量对电网频率扰动的支撑,但是忽略了光伏电源的动态性能. ...
Frequency support functions in large PV power plants with active power reserves
1
2014
... 目前,国内外学者对光伏参与电网频率调节的研究主要集中在减载控制策略[8 -9 ] 、虚拟同步控制[10 ⇓ ⇓ ⇓ -14 ] 、光储联合调频[15 ⇓ ⇓ ⇓ -19 ] 等方面,如表1 所示.文献[9 ]从经济性方面表明,通过减载运行比加入储能电池在售电收益中优势明显.文献[20 ]提出了一种离线最大功率跟踪与变系数下垂控制方法,实现两级式光伏发电系统对电网的频率支撑.文献[21 ]提出了基于变减载率的减载控制策略,依据电网频率改变光伏发电减载水平,使其主动参与电网频率调节.文献[22 ]讨论虚拟惯量对电网频率扰动的支撑,但是忽略了光伏电源的动态性能. ...
双级式光伏发电虚拟惯量控制策略
1
2019
... 目前,国内外学者对光伏参与电网频率调节的研究主要集中在减载控制策略[8 -9 ] 、虚拟同步控制[10 ⇓ ⇓ ⇓ -14 ] 、光储联合调频[15 ⇓ ⇓ ⇓ -19 ] 等方面,如表1 所示.文献[9 ]从经济性方面表明,通过减载运行比加入储能电池在售电收益中优势明显.文献[20 ]提出了一种离线最大功率跟踪与变系数下垂控制方法,实现两级式光伏发电系统对电网的频率支撑.文献[21 ]提出了基于变减载率的减载控制策略,依据电网频率改变光伏发电减载水平,使其主动参与电网频率调节.文献[22 ]讨论虚拟惯量对电网频率扰动的支撑,但是忽略了光伏电源的动态性能. ...
Virtual inertia control strategies for double-stage grid-connected photovoltaic generation
1
2019
... 目前,国内外学者对光伏参与电网频率调节的研究主要集中在减载控制策略[8 -9 ] 、虚拟同步控制[10 ⇓ ⇓ ⇓ -14 ] 、光储联合调频[15 ⇓ ⇓ ⇓ -19 ] 等方面,如表1 所示.文献[9 ]从经济性方面表明,通过减载运行比加入储能电池在售电收益中优势明显.文献[20 ]提出了一种离线最大功率跟踪与变系数下垂控制方法,实现两级式光伏发电系统对电网的频率支撑.文献[21 ]提出了基于变减载率的减载控制策略,依据电网频率改变光伏发电减载水平,使其主动参与电网频率调节.文献[22 ]讨论虚拟惯量对电网频率扰动的支撑,但是忽略了光伏电源的动态性能. ...
并网光伏电站的一次调频特性分析
1
2016
... 在最大功率运行模式下,功率输出并不响应系统频率的变化,光伏电站不参与系统的一次调频,所以光伏电站若要参与系统一次调频,需要运行在功率差值模式为调频留出一定的有功备用,本文选取光伏功率特性曲线右侧为备用侧,预留20%的备用容量[8 ,23 ] .具体如图5 所示,图中M 为最大功率点,P max 为最大功率点处功率,U max 为最大功率点处电压;A 为有功备用点,P o 为备用点功率,U o 为备用点电压;U oc 为光伏电源得开路电压. ...
Analysis on primary frequency regulation of grid-connected PV station in power system
1
2016
... 在最大功率运行模式下,功率输出并不响应系统频率的变化,光伏电站不参与系统的一次调频,所以光伏电站若要参与系统一次调频,需要运行在功率差值模式为调频留出一定的有功备用,本文选取光伏功率特性曲线右侧为备用侧,预留20%的备用容量[8 ,23 ] .具体如图5 所示,图中M 为最大功率点,P max 为最大功率点处功率,U max 为最大功率点处电压;A 为有功备用点,P o 为备用点功率,U o 为备用点电压;U oc 为光伏电源得开路电压. ...
1
2013
... 设定预测时域为p ,控制时域为m ,且m ≤p .控制时域之外,控制量机械转矩 Δ T m 不变[24 ] ,即 ...
1
2013
... 设定预测时域为p ,控制时域为m ,且m ≤p .控制时域之外,控制量机械转矩 Δ T m 不变[24 ] ,即 ...