电气工程学报, 2023, 18(3): 250-259 doi: 10.11985/2023.03.027

电力系统

跟网型MMC-HVDC并网暂态同步稳定机理分析*

项中明,1, 倪秋龙,1, 李振华2, 徐建平2, 薛翼程3, 张哲任,3, 徐政3

1.国网浙江省电力有限公司 杭州 310007

2.国网浙江省电力有限公司金华供电公司 金华 321017

3.浙江大学电气工程学院 杭州 310027

Transient Stability Mechanism Analysis of Grid-following MMC-HVDC

XIANG Zhongming,1, NI Qiulong,1, LI Zhenhua2, XU Jianping2, XUE Yicheng3, ZHANG Zheren,3, XU Zheng3

1. State Grid Zhejiang Electric Power Corporation, Hangzhou 310007

2. Jinhua Power Supply Corporation, State Grid Zhejiang Electric Power Corporation, Jinhua 321017

3. College of Electrical Engineering, Zhejiang University, Hangzhou 310027

通讯作者: 张哲任,男,1988年生,博士,特聘副研究员。主要研究方向为直流输电与柔性交流输电。E-mail:3071001296zhang@zju.edu.cn

收稿日期: 2022-09-20   修回日期: 2023-03-20  

基金资助: * 国网浙江省电力有限公司科技资助项目(5211JH2000RW)

Received: 2022-09-20   Revised: 2023-03-20  

作者简介 About authors

项中明,男,1974年生,硕士,高级工程师。主要研究方向为电网运行与控制。E-mail:m15215310706@163.com

倪秋龙,男,1975年生,硕士,高级工程师。主要研究方向为电网运行与控制。E-mail:15098728375@163.com

摘要

随着电力系统中新能源接入比例不断提高,采用跟网控制的模块化多电平换流器型柔性直流输电(Modular multilevel converter based high voltage direct current,MMC-HVDC)在输电系统中占据越来越重要的地位,其并网暂态同步稳定性会影响电力系统的安全运行。研究跟网型MMC-HVDC系统的暂态同步稳定机理,首先建立了以锁相环为同步单元的换流器的并网动力学模型,随后基于此模型,研究了电网强度、换流器的故障穿越策略以及锁相环参数对其暂态稳定性的影响。当电网强度较高、换流器故障期间注入无功电流分量增大时,换流器的并网暂态稳定性较强,减小锁相环的比例和积分增益有利于暂态稳定性。根据暂态稳定机理,提出了与阻抗角匹配的故障期间注入电流策略,以提升换流器的暂态同步稳定性。在时域仿真软件PSCAD/EMTDC中搭建了电磁暂态仿真模型并验证了本文结论和所提暂态稳定增强策略的有效性。

关键词: 模块化多电平换流器; 暂态稳定性; 锁相环; 故障穿越策略

Abstract

With the increase of renewable power integration, the modular multilevel converter based high voltage direct current(MMC-HVDC) with grid-following control has gained more importance in the transmission system. The transient stability of MMC-HVDC will affect the secure operation of power system. The transient stability mechanism of grid-following MMC-HVDC is studied. The dynamic model of phase-locked loop(PLL) is developed first. Firstly, the grid-connected dynamic model of MMC with phase-locked loop(PLL) as synchronization unit is established. Then based on the model, the influence of grid strength, fault-ride through control and PLL parameters on the transient stability is studied. The grid-connected transient stability of the MMC enhances when the power grid strength is high and the reactive component of injection current during the fault increases. Reducing the proportion and integral gain of the PLL is beneficial to transient stability. According to the stability mechanism, a control strategy of injection current is proposed for the MMC to improve the transient stability by matching the current angle with the grid impedance angle. The time-domain simulation in PSCAD/EMTDC verified the conclusions and the effectiveness of the proposed enhancement control.

Keywords: Modular multilevel converter; transient stability; phase-locked loop; fault ride-through control strategy

PDF (19919KB) 元数据 多维度评价 相关文章 导出 EndNote| Ris| Bibtex  收藏本文

本文引用格式

项中明, 倪秋龙, 李振华, 徐建平, 薛翼程, 张哲任, 徐政. 跟网型MMC-HVDC并网暂态同步稳定机理分析*[J]. 电气工程学报, 2023, 18(3): 250-259 doi:10.11985/2023.03.027

XIANG Zhongming, NI Qiulong, LI Zhenhua, XU Jianping, XUE Yicheng, ZHANG Zheren, XU Zheng. Transient Stability Mechanism Analysis of Grid-following MMC-HVDC[J]. Chinese Journal of Electrical Engineering, 2023, 18(3): 250-259 doi:10.11985/2023.03.027

1 引言

目前,电力系统正处于向高比例可再生能源和高比例电力电子化(即“双高”)转型的关键阶段。非同步机电源的接入将打破传统同步发电机的主导地位,深刻影响电力系统的动态特性[1-5]。模块化多电平换流器型柔性直流输电(Modular multilevel converter based high voltage direct current, MMC-HVDC)作为典型的非同步机电源,其在大规模新能源并网中具有广泛的应用前景[6-8]。MMC-HVDC自身若不能与电网保持同步,将影响电力系统的安全稳定运行。

目前,并网变换器的暂态稳定分析受到了学界的广泛关注[9-12]。其主要关注在经历大扰动后(例如电网故障),并网变换器能否与电网保持同步稳定运行。目前研究指出,跟网型变换器与电网保持同步的关键环节在于锁相环(Phase-locked loop, PLL)[13-14]。在弱电网下,跟网型变换器由于受电网阻抗耦合影响,自身抗干扰稳定性较差。文献[15]提出了跟网型变换器的动力学模型,分析了其在弱电网下的失稳机理,然而缺乏仿真验证。文献[16]提出了在故障期间闭锁PLL的积分环节以增强暂态稳定性,然而只考虑了故障期间换流器注入无功电流,未涉及换流器的故障穿越策略。文献[17-18]提出了故障期间调整dq轴注入电流以提升系统的暂态稳定性,但仅仅考虑了换流器故障期间工作在逆变器的状态,缺乏全面性。同时,上述文献均未涉及MMC-HVDC系统的分析,目前对于跟网型MMC-HVDC的并网同步稳定性仍然缺乏研究。

本文研究了跟网型MMC-HVDC的并网暂态同步稳定机理。首先建立了考虑故障穿越策略的MMC-HVDC换流站在大干扰下的动力学模型;基于此模型,研究了换流器故障期间工作在整流或逆变状态下,注入电流对暂态稳定性的影响;讨论了PLL的控制器参数及电网强度对换流器暂态同步稳定性的影响。最后,基于机理分析,提出了提升跟网型MMC-HVDC暂态同步稳定性的方法。

2 MMC-HVDC并网系统数学模型

2.1 系统结构及控制策略

本文研究的MMC-HVDC并网小系统模型如图1所示。MMC-HVDC采用单侧模型,直流电压由其余换流站控制[1]。考虑在配备储能装置的情况下[19],故障期间的输出功率在四个象限内均可控,并且直流故障能够与交流故障解耦,因此研究中忽略故障期间直流电压的动态特性。RsXs分别表示并网等值阻抗Zs的电阻、电抗分量;XT表示MMC的连接变压器漏抗。isus分别为换流站的注入电流和并网点(Point of common coupling, PCC)交流母线电压;Ps+jQs表示MMC的注入功率,ug为交流电网电压。

图1

图1   MMC-HVDC并网小系统模型


稳态下,跟网型MMC控制向交流系统注入的有功、无功功率。当发生交流系统故障时,MMC监测到PCC电压us跌落至设定阈值Uthr以下时,输出dq轴电流切换到给定参考值IdrefIqref,并满足[20]

Idref2+Iqref2=Imax

式中,Imax为MMC的输出电流限幅值。跟网型MMC的并网同步单元为PLL,其控制框图如图2所示。

图2

图2   PLL控制框图


图2中,ω0为系统额定角频率,ωPLL为PLL输出角频率,θPLL为换流器坐标变换的角度,即PLL输出的角度。KpKi分别为PLL的控制器比例、积分常数。跟网型MMC采用双环控制,详细控制策略可参考文献[6]。

根据图2可知,锁相环的输入为q轴电压usq,因此故障暂态期间usq的值决定了跟网型MMC的PLL角频率变化方向。当usq>0时,Δω>0,换流器相对于电网将“加速”运行;同理当usq<0时,换流器将“减速”运行。|usq|越大,ωPLL变化越快,对换流器的并网暂态稳定性越不利。

2.2 MMC-HVDC的并网动力学模型

由于PLL是跟网型MMC-HVDC的同步单元,其动态特性对换流器的暂态并网同步稳定性起着决定性的作用[15-16]。由于内环控制器的时间尺度(毫秒级)远小于外环和PLL的时间尺度[11],因此在暂态稳定分析中忽略内环控制器动态特性,即isdref=isdisqref=isq,此时MMC视为可控电流源。在此假设前提下,建立MMC-HVDC的并网动力学模型。交流系统的短路比ρSCR能够用来衡量系统强度[21],其与系统阻抗的关系为

ρSCR=1Zs
Rs=1ρSCRcosφZXs=1ρSCRsinφZ

式中,φZ为系统阻抗角。考虑电网阻抗耦合动态时,在αβ静止坐标系下网络方程的动态特性为

Lsω0disdt=usugRsis

式中,Ls表示线路电感,本文用粗体表示对应的空间矢量。αβ静止坐标系、MMC的dq旋转坐标系以及电网xy旋转坐标系的变换关系分别为

Aαβ=exp(jθPLL)Adq=exp(jωPLLt)Adq
Axy=exp[j(θPLLθg)]Adq

式中,AαβAdqAxy分别代表在相应坐标系下的空间矢量。因此根据式(4)~(6),可以得到MMC输出电流、PCC电压以及电网电压的关系为

Lsdisdqω0dt=usdqexp[jθPLLθg]ugxyRsisdqjωPLLLsisdq

忽略描述线路电感动态的微分方程,并认为θg=0,可以得到

usd=RsisdωPLLLsisq+UgcosθPLLusq=Rsisq+ωPLLLsisdUgsinθPLL

PLL采用PI控制器,其二阶动态特性为

dxPLLdt=KiusqdθPLLdt=xPLL+Kpusq

式中,xPLL为辅助状态变量。PLL的物理特性为

dθPLLdt=ω0ωPLLωg
d2θPLLdt=ω0dωPLLdt

式中,ωg为电网角频率。综合式(8)~(11),可以得到跟网型换流器的二阶动力学模型

MVω0d2θPLLdt=Rsisq+ωgLsisdUgsinθPLLDVω0dθPLLdt

其中,分别定义惯性系数MV和阻尼系数DV

MV=ω0Ki1Lsisdω0
DV=ω0KpKiUgcosθPLLLsisdω0

跟网型MMC-HVDC的并网动力学模型如图3所示,其中Xs=ωgLs。值得注意的是,传统电力系统中,考虑用于研究发电机暂态稳定性的单机-无穷大电网系统模型,发电机的转子运动方程也为二阶[22]

Mω0d2δdt=PmEqUXsinδDω0dδdt

式中,Pm为发电机的机械功率;E'q为发电机暂态电动势;U为电网电压;δ为发电机功角。因此,类比发电机转子动力学模型,故障暂态期间,跟网型MMC的等效输出机械功率为Rsisqref+Xsisdref,等效电磁功率为Ugsin(θPLL),其等效机械功率与电磁功率都来源于并网阻抗的耦合特性,并位于PLL的反馈支路上,图3所示模型也可以与发电机的动力学模型类比[15]

图3

图3   MMC-HVDC并网动力学模型


3 MMC-HVDC的暂态同步稳定机理分析

3.1 暂态稳定分析方法

根据建立的模型,可以类比传统的同步发电机,利用等面积法则[22]分析跟网型MMC的暂态稳定性,其原理如图4所示。在机理分析中,认为第一摇摆周期失稳即代表换流器发生暂态失稳。故障前,系统工作在点a处,此时θPLL=θs,为稳定平衡点(Stable equilibrium point, SEP)。当故障后,电网电压跌落,Ugsin(θPLL)变为故障后曲线,此时有以下两种情况。

图4

图4   等面积法则分析MMC-HVDC暂态失稳机理


(1) 若故障发生后,换流器的等效机械功率过大(例如保持为Pm1),以至于与故障中曲线没有交点,此时不存在平衡点,PLL的角度θPLL一直增加,跟网型MMC会发生暂态失稳。

(2) 若故障发生后,换流器的等效机械功率与故障中曲线有两个交点(例如变为Pm2),此时换流器的暂态稳定性决定于故障持续时间。若减速面积不足,θPLL达到不稳定平衡点(Unstable equilibrium point, UEP)b'时,ωPLL仍然未减小至电网频率ωg,则θPLL会越过θu,换流器会发生暂态失稳;若减速面积充足并大于加速面积,则θPLL达到θu之前ωPLL仍然未减小至ωg,换流器最终回到SEP点a'处。

因此,跟网型MMC-HVDC的暂态稳定取决于故障期间等效机械功率和等效电磁功率的关系。而稳定平衡点的存在是保证换流器不发生暂态失稳的必要条件,因此需要满足关系

Rsiqref+Xsidref<UgsinθPLLmax=Ug

3.2 电网强度影响分析

在上述研究方法的基础上,分别探究不同因素对跟网型换流器暂态稳定性的影响。首先考虑电网强度因素。跟网型MMC输出等效机械功率Pm与短路比ρSCR的关系为

Pm=IqrefcosφZ+IdrefsinφZρSCR

根据式(17),对于某个系统阻抗角φZ和相同的故障电流注入参考值,随着短路比的增加,Pm越小,此时对于相同的电网电压跌落程度,式(16)更易满足,即系统更容易避免不存在SEP的暂态失稳。此外,故障期间机械功率越小,考虑存在SEP的情况,此时减速面积越小,加速面积越大,换流器在故障清除后越易恢复到工作点SEP,因此ρSCR增大对避免上述两种失稳情况均起有利作用。

对于跟网型MMC-HVDC并网系统,其短路比ρSCR越大意味着系统强度越高,故跟网型换流器在系统强度较强时暂态稳定性较好,而相应地,在接入弱交流电网下跟网型换流器易发生暂态失稳,这是由于较大的系统阻抗使得故障期间的等效机械功率过大,在图3中表现为PLL附加正反馈信号较大,从而破坏换流器的并网暂态稳定性。

3.3 故障穿越策略影响分析

故障期间,由于MMC-HVDC系统能够独立控制有功、无功电流,因此采取不同的故障穿越策略,即改变dq电流参考值IdrefIqref会对换流器的暂态稳定性产生影响。下面将以逆变站的电流参考方向为正,探讨故障时Pm>0和Pm<0两种情况。

(1) 故障期间Pm>0。当故障期间等效机械功率为正时,由上述分析,减小Pm更有利于提升暂态稳定性。由于高压输电线路通常Xs>>Rs,此时跟网型MMC故障期间通常工作在逆变状态(Idref>0)。由于电抗分量较大,根据式(16),减小Idref更有利于减小Pm,提高暂态稳定性。通常故障期间,换流器要向系统注入无功电流以提升电压,此时Iqref<0。因此可以总结为,当|Iqref|增大时,换流器的暂态并网同步稳定性提高。

(2) 故障期间Pm<0。故障期间,跟网型MMC-HVDC的等效机械功率可能出现负值,其中常见情况包括换流器工作在整流状态(Idref<0),以及严重交流故障下,其全部容量用来提供无功电流,此时Pm=-RsImax<0。当故障期间等效机械功率为负时,类比发电机,换流器可能工作在“电动机模式”下,此时参考图5所示分析。此时,系统的SEP为θbs,UEP为θbu。此时,存在以下两种失稳形态。

图5

图5   故障期间等效机械功率对暂态稳定的影响


1) 故障暂态期间,ωPLL不断减小,小于电网频率ωg后换流器进入电动机模式,此后一直工作在此状态下,最后θPLL达到θbu之前ωPLL仍然未加速至ωg,则换流器会发生暂态失稳。

2) 故障暂态期间,换流器进入电动机模式,但由于减速面积小于加速面积,最终稳定运行在θbs处。当故障清除后,随着并网点电压的恢复,机械功率恢复稳态设定值,此时换流器重新加速,由电动机模式过渡回到发电机模式,此时由于减速面积不足,θPLL达到θau之前仍然未减速至ωg,则换流器会发生暂态失稳。

下面研究故障期间Pm的值对上述两种失稳情况的影响。对于情况1),此时影响暂态稳定的主要因素是进入电动机模式后的加速面积大小。如图5所示,考虑等效机械功率为Pm2Pm3Pm4三种情况,对比Pm2Pm3,当机械功率为Pm2时,加速面积更大,此时θPLL在达到UEP之前ωPLL更容易回到ωg,系统更容易回到SEP。而当机械功率为Pm4时,其与故障后曲线不存在交点,因此当换流器进入电动机模式后,暂态失稳便不可避免。综上,对于情况1),|Pm|越小,对暂态稳定性越有利。

对于情况2),由于换流器能够稳定运行在θbs处,因此只考虑Pm2Pm3两种情况。当机械功率为Pm2时,换流器的减速面积为区域abdωPLLθb1s处达到极小值。故障清除后,不考虑电压恢复的暂态过程和工作状态切换时的暂态过程,换流器的功率曲线会恢复到故障前曲线,此时运行点变为fωPLL经历加速过程,达到θas时加速面积为区域fna'。在此过程中换流器的加速面积与减速面积的差值为在暂态过程中获得的能量,此能量越大,换流器越易于越过UEP而失稳。同理,当机械功率为Pm3时,换流器的减速面积为区域aec,加速面积为区域gma'。比较这两种情况,换流器的暂态稳定性取决于

ΔS=SfnaSabdSgmaSaec=SfgmnSdecb

当ΔS>0时,机械功率为Pm3时会让换流器在暂态过程中获得更多的能量,换流器更易发生暂态失稳;相应地,ΔS<0时机械功率为Pm2时换流器更易发生暂态失稳。对于通常工况,MMC-HVDC已接近满载传输有功功率,并且考虑严重故障下电压跌落程度较高,通常ΔS>0,此时|Pm|越小,对暂态稳定性越有利。综合情况1)与2),当故障期间注入电流参考值发生改变使得Pm越接近0时,越有利于跟网型MMC-HVDC的并网暂态同步稳定性。

与电网强度相同,故障期间注入电流指令值依然是通过影响等效机械功率,导致PmUgsin(θPLL)不平衡,从而影响换流器的暂态稳定性。

3.4 PLL参数对暂态稳定的影响

作为二阶动力系统,影响PLL动态特性的参数为其阻尼比ζ和调节时间ts,分别为[6]

ζ=Kp2Ki
ts=9.2Kp

增大阻尼比ζ能够减小相位跃变程度[16],因此当θPLL达到UEP时,其相位过冲能够减小,因此暂态稳定性得到提升。而增大阻尼比意味着PLL的比例Kp增益不变时,积分增益Ki减小。同时,较短的调节时间ts也不利于暂态稳定,因为ts越短表明Kp越大,而根据图2,PLL的角度偏差Δω受环路增益的影响,Kp越大会导致Δω增长速度变快。图3显示受电网耦合影响,Δω会通过正反馈回路影响输入usq,从而进一步促进Δω的增大。因此,从典型参数ζts来分析,减小环路增益KpKi均有利于换流器的并网暂态同步稳定性。

从跟网型MMC-HVDC的动力学模型分析,减小Ki使得惯性系数MV增大,借鉴同步发电机的惯性常数的概念,惯性常数增大代表发电机的转子不易改变运动状态,有利于暂态稳定。对于阻尼系数DV,考虑到第二项较小,将其简化为

DV=KpKiω0UgcosθPLL

根据式(21)可知,DV的绝对值与KpKi的比值有关,当Kp/Ki越大,|DV|越大。然而,DV的正负与cos(θPLL)有关,在[0,180°]范围内,当cos(θPLL)>0时,增大Kp/Ki有利于暂态稳定性;而当cos(θPLL)<0时,增大Kp/Ki会增大负阻尼系数,恶化暂态稳定性。因此,阻尼系数的大小与锁相环的运行状态相关,受控制器参数的影响不定。综上来看,除了受影响不定的DV之外,减小增益KpKi均有利于跟网型MMC的并网暂态同步稳定性。改变PLL的参数无法直接影响等效机械功率,而是通过改变PLL本身固有的动态特性,影响动力学模型中的前向通道部分,从而影响换流器的暂态稳定性。

4 暂态稳定增强控制策略

根据第3节的分析可知,通过调整故障期间注入电流或动态调整PLL的参数,以提升换流器的并网暂态同步稳定性。

在电网强度确定的情况下,调整故障期间换流器向电网注入的dq轴电流能够改变等效机械功率,影响暂态稳定性。换流器向电网的注入电流角φI

φI=arctanIqrefIdref

严重交流故障情况下,|Pm|越小,对暂态稳定性越有利。结合式(17)和式(22)可得

Pm=1ρSCRImaxsinφZ+φI

当|Pm|取得极小值时,满足条件

φI=φZ

因此,当并入电网的等效短路比和阻抗角φZ确定的时候,可以根据φZ设计与之匹配的电流注入角φI,以提升换流器的暂态同步稳定性。此外,对于PLL参数,可以通过故障期间减小环路增益KpKi提升暂态稳定性。从工程角度分析,调整故障期间的注入电流适用性更强,原因主要是对于高压输电线路Xs>>Rs,此时φZ接近π/2,因此故障期间φI接近-π/2,这说明换流器主要用来提供无功电流以提升端电压,这一点符合并网导则的要求,而调整PLL参数则需要相关研究者及工作人员具有良好的经验。

5 仿真分析

为了验证上述理论分析的正确性及暂态稳定增强控制策略的适用性,在时域仿真软件PSCAD/EMTDC中搭建电磁暂态仿真模型,系统结构与图1一致。系统主回路参数及MMC-HVDC的控制器参数如表1所示。1.5 s时,在系统等值阻抗的中点处施加三相金属性接地短路故障,以观察MMC-HVDC并网系统的暂态响应特性。

表1   系统参数

参数数值
MMC额定容量/(MV·A)400
MMC直流电压/kV400
MMC子模块个数200
MMC阀侧交流电压/kV210
系统基准容量/(MV·A)400
电网额定电压/kV110
系统频率/Hz60
短路比1.6
电网等值阻抗角φZ/(°)80
MMC有功、无功指令值/p.u.0.8/0
PLL参数KpKi100/220
MMC电流限幅值Imax/p.u.1.2
交流电压阈值Uthr/p.u.0.75

新窗口打开| 下载CSV


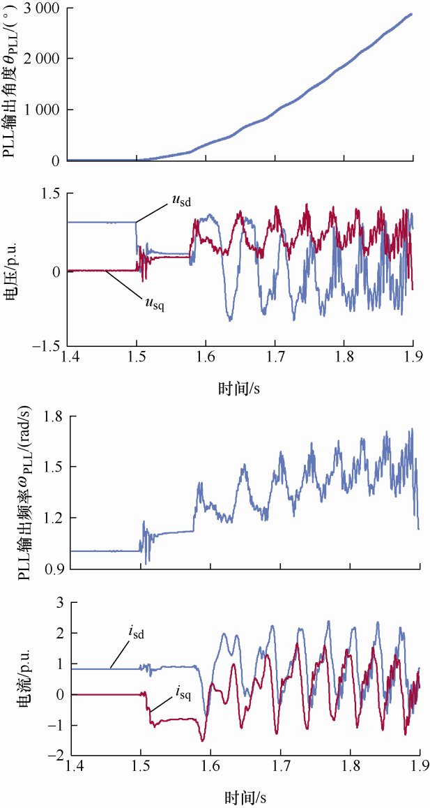
图6给出了跟网型MMC-HVDC系统失去暂态同步稳定时系统的形态特征。可以看出,当换流器失稳时,锁相环失锁,θPLL持续增长,同时ωPLL振荡增长,系统电压电流中都会出现大幅度振荡,危害变流器自身和系统的安全稳定运行。首先研究不同故障穿越策略下,故障期间注入电流对换流器的暂态同步稳定性影响。用故障极限切除时间(Critical clearing time, CCT)表征暂态稳定性强弱[22],相应的CCT结果如表2所示。

图6

图6   MMC-HVDC失稳后系统形态


表2   改变注入电流的CCT结果

参考值Idref/A电流角φI/(°)CCT/ms
0.3-75595
0.6-60150
0.9-4175
0.1-85137
-0.1-9565
-0.3-10449

新窗口打开| 下载CSV


对于故障期间等效机械功率Pm>0的情况,故障持续时间为100 ms,θPLL以及Pm的仿真结果分别如图7a、7b所示。可以看出,随着d轴电流指令值Idref从0.3增大至0.9,θPLL故障期间更容易被拉大,跟网型MMC-HVDC的暂态同步稳定性减弱,表现为故障的CCT减小。与此同时,随着Idref的增大,故障期间的等效机械功率增大。这说明较小的等值机械功率对换流器的暂态同步稳定性更有益。

图7

图7   Pm>0时,其对暂态稳定的影响


对于故障期间等效机械功率Pm<0的情况,故障持续时间为50 ms,θPLL以及Pm的仿真结果分别如图8a、8b所示。当Idref=0.1时,由于q轴电流指令值在电阻分量上的压降较大,因此等值机械功率依然为负值。对于Idref=0.1,-0.1及-0.3的情况,故障后换流器先减速进入电动机模式。图8表2显示,随着Idref从0.1减小至-0.3,系统的暂态稳定性变弱,并且当Idref=-0.3时,故障清除后换流器会重新进入发电机模式,并越过UEP发生暂态失稳。从图8b可以看出,故障期间机械功率越接近0,即|Pm|越小,换流器的暂态稳定性越强。上述仿真结果与第2节的理论分析一致,印证了理论分析的正确性。

图8

图8   Pm<0时,其对暂态稳定的影响


研究PLL的参数KpKi对MMC-HVDC的暂态同步稳定性影响。分别在一定范围内改变KpKi,系统的CCT结果如表3所示。与此同时,设置故障持续时间为200 ms,θPLL的仿真结果分别如图9a、9b所示。

表3   改变PLL参数的CCT结果

KiCCT/msKpCCT/ms
10022560275
220203100203
400181140156

新窗口打开| 下载CSV


图9

图9   PLL控制器参数对暂态稳定的影响


图9的仿真结果和表3的CCT结果表明,减小PLL增益系数KpKi均有利于换流器的并网暂态同步稳定性,这是由于随着KpKi的减小,PLL的特征参数ζts均增大,同时动力学模型中的惯性系数MV增大。分析阻尼系数DVKp的关系,结果如图10所示。根据式(21)可知,稳定运行状态下,Kp越大,DV越大。然而,在故障暂态期间,随着θPLL的增大,Kp越大,负阻尼系数的最小值越小,并且DV在故障期间的下降速度越快。这说明故障暂态期间,Kp增大有可能导致暂态阻尼特性变差,恶化暂态稳定性。

图10

图10   Kp改变对等效阻尼系数Dv的影响


研究电网强度对MMC-HVDC的暂态同步稳定性的影响。在保持MMC的输出功率不变的情况下,逐渐增大ρSCR,系统的CCT结果如表4所示。与此同时,设置故障持续时间为200 ms,θPLL以及Pm的仿真结果分别如图11a、11b所示。从图11可以看出,随着短路比的增大,电网强度不断增大,此时由于系统等值阻抗Zs减小,换流器的等效机械功率减小,故障期间θPLL不易被拉大,暂态稳定性增强。同时表4中显示,故障期间usq随着短路比增大而减小,因此ωPLL的增加速度减缓,有利于换流器的暂态稳定性,并且CCT结果也证实了这一点。

表4   改变短路比的CCT结果

短路比ρSCR电压usq/p.u.CCT/ms
1.60.094203
20.075262
2.30.067300

新窗口打开| 下载CSV


图11

图11   电网强度对暂态稳定的影响


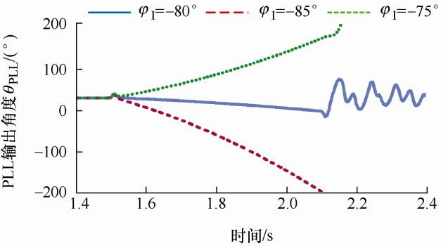
最后,验证所提暂态稳定增强策略的适用性。分别调整故障期间MMC-HVDC向电网注入的电流角度φI,并设置故障持续时间为600 ms,θPLL的仿真结果如图12所示。在相同故障下,φI=-80°时系统能回到稳定运行状态,而与此对比,φI=-75°时θPLL将越过发电机模式下的UEP发生失稳;φI=-85°时θPLL将越过电动机模式下的UEP发生失稳。由于系统阻抗角φZ=80°,因此仿真结果说明,调整MMC-HVDC的注入电流角,使之与电网等值阻抗角相匹配,能够提升系统的并网暂态同步稳定性,从而验证了所提控制策略的有效性。

图12

图12   调整注入电流角控制策略效果


6 结论

本文研究了跟网型MMC-HVDC的并网暂态同步稳定机理及影响因素,并提出了相应的暂态稳定增强控制策略,总结结论如下所述。

(1) 跟网型MMC-HVDC的并网暂态同步稳定性主要取决于其“同步单元”PLL的动态特性。基于所建立的动力学模型,换流器的输出电流在系统阻抗上的耦合特性能够为PLL提供一个正反馈支路,影响换流器的暂态稳定性。

(2) PLL的参数KpKi能够通过改变PLL固有的动态特性,从而影响换流器的暂态同步稳定性。在一定范围内,减小KpKi能够增强暂态稳定性。

(3) 电网强度能够通过影响正反馈支路从而影响换流器的暂态同步稳定性。当电网越弱时,换流器输出电流在系统等值阻抗的耦合作用越强,换流器的暂态同步稳定性越弱。

(4) 换流器故障期间输出电流同样能够影响换流器的暂态同步稳定性,并且也是通过改变正反馈支路实现的。当故障期间换流器工作在逆变状态时,其q轴电流绝对值增大有利于提升暂态同步稳定性。

(5) 根据机理分析,本文提出了一种将换流器输出电流参考相位与系统阻抗角相匹配的控制策略,并通过时域仿真结果验证了其有效性和适用性。

参考文献

徐政.

电力系统广义同步稳定性的物理机理与研究途径

[J]. 电力自动化设备, 2020, 40(9):3-9.

[本文引用: 2]

XU Zheng.

Physical mechanism and research approach of generalized synchronous stability for power systems

[J]. Electric Power Automation Equipment, 2020, 40(9):3-9.

[本文引用: 2]

谢小荣, 贺静波, 毛航银, .

“双高”电力系统稳定性的新问题及分类探讨

[J]. 中国电机工程学报, 2021, 41(2):461-475.

[本文引用: 1]

XIE Xiaorong, HE Jingbo, MAO Hangyin, et al.

New issues and classification of power system stability with high shares of renewables and power electronics

[J]. Proceedings of the CSEE, 2021, 41(2):461-475.

[本文引用: 1]

徐政.

高比例非同步机电源电网面临的三大技术挑战

[J]. 南方电网技术, 2020, 14(2):1-9.

[本文引用: 1]

XU Zheng.

Three technical challenges faced by power grids with high proportion of non-synchronous machine sources

[J]. Southern Power System Technology, 2020, 14(2):1-9.

[本文引用: 1]

张琛, 蔡旭, 李征.

全功率变换风电机组的暂态稳定性分析

[J]. 中国电机工程学报, 2017, 37(14):4018-4026.

[本文引用: 1]

ZHANG Chen, CAI Xu, LI Zheng.

Transient stability analysis of wind turbines with full-scale voltage source converter

[J]. Proceedings of the CSEE, 2017, 37(14):4018-4026.

[本文引用: 1]

朱蜀, 刘开培, 秦亮, .

电力电子化电力系统暂态稳定性分析综述

[J]. 中国电机工程学报, 2017, 37(14):3948-3962.

[本文引用: 1]

ZHU Shu, LIU Kaipei, QIN Liang, et al.

Analysis of transient stability of power electronics dominated power system:An overview

[J]. Proceedings of the CSEE, 2017, 37(14):3948-3962.

[本文引用: 1]

徐政. 柔性直流输电系统[M]. 北京: 机械工业出版社, 2016.

[本文引用: 3]

XU Zheng. Voltage source converter based high voltage direct current transmission system[M]. Beijing: China Machine Press, 2016.

[本文引用: 3]

薛翼程, 王国腾, 张哲任, .

MMC-HVDC接入对同步发电机阻尼转矩的影响机理分析

[J]. 电力系统自动化, 2022, 46(9):99-108.

[本文引用: 1]

XUE Yicheng, WANG Guoteng, ZHANG Zheren, et al.

Mechanism analysis of influence of MMC-HVDC integration on damping torque of synchronous generators

[J]. Automation of Electric Power Systems, 2022, 46(9):99-108.

[本文引用: 1]

NIKOLAS F, VASSILIOS G, GEORGIOS D.

VSC-based HVDC power transmission systems:An overview

[J]. IEEE Transactions on Power Electronics, 2009, 24(3):592-602.

DOI:10.1109/TPEL.2008.2008441      URL     [本文引用: 1]

张宇, 蔡旭, 张琛, .

并网变换器的暂态同步稳定性研究综述

[J]. 中国电机工程学报, 2021, 41(5):1687-1702.

[本文引用: 1]

ZHANG Yu, CAI Xu, ZHANG Chen, et al.

Transient synchronization stability analysis of voltage source converters:A review

[J]. Proceedings of the CSEE, 2021, 41(5):1687-1702.

[本文引用: 1]

黄林彬, 辛焕海, 鞠平, .

电力电子并网装备的同步稳定分析与统一同步控制结构

[J]. 电力自动化设备, 2020, 40(9):10-25.

[本文引用: 1]

HUANG Linbin, XIN Huanhai, JU Ping, et al.

Synchronization stability analysis and unified synchronization control structure of grid-connected power electronic devices

[J]. Electric Power Automation Equipment, 2020, 40(9):10-25.

[本文引用: 1]

胡家兵, 袁小明, 程时杰.

电力电子并网装备多尺度切换控制与电力电子化电力系统多尺度暂态问题

[J]. 中国电机工程学报, 2019, 39(18):5457-5467.

[本文引用: 2]

HU Jiabing, YUAN Xiaoming, CHENG Shijie.

Multi-time scale transients in power-electronized power systems considering multi-time scale switching control schemes of power electronics apparatus

[J]. Proceedings of the CSEE, 2019, 39(18):5457-5467.

[本文引用: 2]

袁小明, 程时杰, 胡家兵.

电力电子化电力系统多尺度电压功角动态稳定问题

[J]. 中国电机工程学报, 2016, 36(19):5145-5154.

[本文引用: 1]

YUAN Xiaoming, CHENG Shijie, HU Jiabing.

Multi-time scale voltage and power angle dynamics in power electronics dominated large power systems

[J]. Proceedings of the CSEE, 2016, 36(19):5145-5154.

[本文引用: 1]

胡祺, 付立军, 马凡, .

弱电网下基于锁相控制并网变换器小扰动同步稳定分析

[J]. 中国电机工程学报, 2021, 41(1):98-108.

[本文引用: 1]

HU Qi, FU Lijun, MA Fan, et al.

Small signal synchronizing stability analysis of PLL-based VSC connected to weak AC grid

[J]. Proceedings of the CSEE, 2021, 41(1):98-108.

[本文引用: 1]

张学广, 付志超, 陈文佳, .

弱电网下考虑锁相环影响的并网逆变器改进控制方法

[J]. 电力系统自动化, 2018, 42(7):139-145.

[本文引用: 1]

ZHANG Xueguang, FU Zhichao, CHEN Wenjia, et al.

An improved control method for grid-connected inverters considering impact of phase-locked loop under weak grid conditions

[J]. Automation of Electric Power Systems, 2018, 42(7):139-145.

[本文引用: 1]

HU Q, FU L, MA F, et al.

Large signal synchronizing instability of PLL-based VSC connected to weak AC grid

[J]. IEEE Transactions on Power Systems, 2019, 34(4):3220-3229.

DOI:10.1109/TPWRS.59      URL     [本文引用: 3]

WU H, WANG X.

Design-oriented transient stability analysis of PLL-synchronized voltage-source converters

[J]. IEEE Transactions on Power Electronics, 2020, 35(4):3573-3589.

DOI:10.1109/TPEL.63      URL     [本文引用: 3]

HE X, GENG H, LI R, et al.

Transient stability analysis and enhancement of renewable energy conversion system during LVRT

[J]. IEEE Transactions on Sustainable Energy, 2020, 11(3):1612-1623.

DOI:10.1109/TSTE.5165391      URL     [本文引用: 1]

MA S, GENG H, LIU L, et al.

Grid-synchronization stability improvement of large scale wind farm during severe grid fault

[J]. IEEE Transactions on Power Systems, 2018, 33(1):216-226.

DOI:10.1109/TPWRS.2017.2700050      URL     [本文引用: 1]

刘耀, 吴佳玮, 赵小令, .

基于电池储能的MMC-HVDC系统的建模与仿真

[J]. 电力工程技术, 2020, 39(4):48-54.

[本文引用: 1]

LIU Yao, WU Jiawei, ZHAO Xiaoling, et al.

Modeling and simulation of battery energy storage system based on MMC-HVDC

[J]. Electric Power Engineering Technology, 2020, 39(4):48-54.

[本文引用: 1]

薛翼程, 张哲任, 徐政.

含跟网型VSC的交流系统暂态稳定解析模型及协调控制

[J/OL]. 电力自动化设备:1-17[2023-04-27]. https://doi.org/10.16081/j.epae.202303019.

URL     [本文引用: 1]

XUE Yicheng, ZHANG Zheren, XU Zheng.

An analytical model and coordinated control for transient stability of AC systems with VSC following the grid

[J/OL]. Electric Power Automation Equipment:1-17[2023-04-27]. https://doi.org/10.16081/j.epae.202303019.

URL     [本文引用: 1]

徐政. 交直流电力系统动态行为分析[M]. 北京: 机械工业出版社, 2004.

[本文引用: 1]

XU Zheng. Dynamic behavior analysis of AC/DC power systems[M]. Beijing: China Machine Press, 2004.

[本文引用: 1]

王锡凡. 现代电力系统分析[M]. 北京: 科学出版社, 2003.

[本文引用: 3]

WANG Xifan. Modern power system analysis[M]. Beijing: Science Press, 2003.

[本文引用: 3]

/