感应电机无速度传感器控制带速重投方法研究
尹少博

Study on the Restarting Method of Induction Motor under Speed-sensorless Control
YIN Shaobo
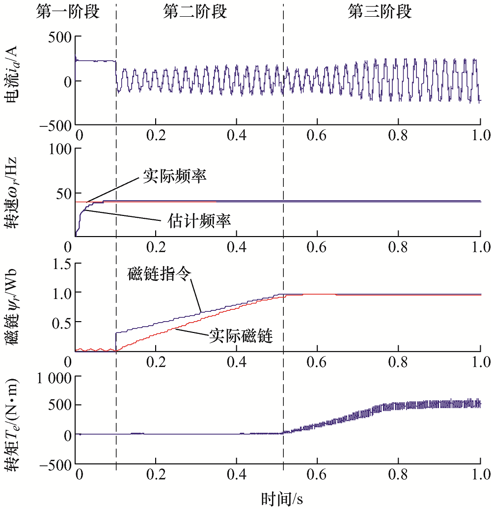
图9 带速重投全过程仿真结果