基于混合型柔性限流器直流配网故障暂态特性研究
*
李清波, 林佳壕
Study on Fault Transient Characteristics of DC Distribution Network Based on Hybrid Flexible Current Limiter
LI Qingbo, LIN Jiahao
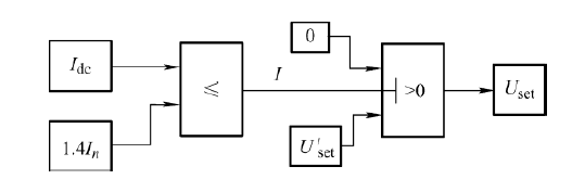
图7
U
set
触发模块