基于CatBoost算法的电力短期负荷预测研究 *
党存禄,武文成,李超锋,李永强

Short-term Load Forecasting Based on CatBoost Algorithm
DANG Cunlu,WU Wencheng,LI Chaofeng,LI Yongqiang
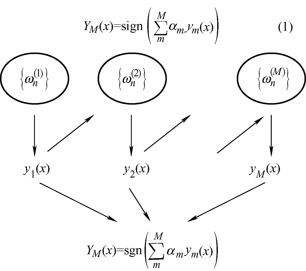
图1 Boosting原理图