电气工程学报, 2019, 14(3): 97-102 doi: 10.11985/2019.03.014

定子斜槽对永磁同步电动机性能的影响

杨志豪, 杨梦雪, 王思诺, 鲍晓华

合肥工业大学电气与自动化工程学院 合肥 230001

Effect of Stator Skewed Slot on Performance of Permanent Magnet Synchronous Motor

YANG Zhihao, YANG Mengxue, WANG Sinuo, BAO Xiaohua

School of Electrical and Automation Engineering, Hefei University of Technology, Hefei 230001 China

收稿日期: 2019-06-15   网络出版日期: 2019-09-25

Received: 2019-06-15   Online: 2019-09-25

作者简介 About authors

杨志豪,男,1997年生,本科生。主要研究方向为电气工程及其自动化。E-mail:850906717@qq.com

鲍晓华,男,1972年生,博士研究生导师,教授。主要研究方向为电机设计理论和技术、电机电磁场理论分析及计算、大型电机及高速电机的可靠性技术。E-mail:baoxh@hfut.edu.cn

摘要

谐波问题是在电动机设计中不可回避的问题,特别是对于带有永磁体的电动机。而谐波的优化方法中最常用的就是斜槽。以一台调速永磁同步电动机为例,描述了定子斜槽的结构;解释了斜槽可以削弱谐波的原因是斜槽可以使绕组产生分布的效应;分析了斜槽对电动机空载反电势波形和齿槽转矩的优化作用;分析了斜槽对电动机过载性能和轴向电磁力的影响,斜槽使得导体与轴线不平行,产生了轴向电磁力,降低了电动机的过载能力。从上述结论中可以得出:斜槽既可以优化电动机的性能,也会使某些性能变差。设计者需要根据电动机的具体性能要求选择最佳的斜槽角度。

关键词: 斜槽 ; 反电势 ; 齿槽转矩 ; 过载能力 ; 轴向电磁力

Abstract

Harmonics are one of the unavoidable problems in motor design, especially for motors with permanent magnets. The most commonly used method of harmonic optimization is the skewed slot method. A variable-speed permanent magnet synchronous motor is taken as an example to describe the structure of the stator skewed slot. The reason why the chute can weaken the harmonics is that the skewed slot method can make the windings distributed. And the optimization of the no-load back EMF waveform and cogging torque with the skewed slot method is analyzed. The effect of the skewed slot method on the motor overload performance and axial electromagnetic force is analyzed. The skewed slot makes the conductor unparallel to the axis, which generates axial electromagnetic force and reduces the overload capacity of the motor. From the above conclusions, it can be concluded that the skewed slot method can optimize some of the performance of the motor and it can also degrade some performance. Designers need to choose the best skewed angle according to the specific performance requirements of the motor.

Keywords: Skewed slot ; back EMF ; cogging torque ; overload performance ; axial electromagnetic force

PDF (430KB) 元数据 多维度评价 相关文章 导出 EndNote| Ris| Bibtex  收藏本文

本文引用格式

杨志豪, 杨梦雪, 王思诺, 鲍晓华. 定子斜槽对永磁同步电动机性能的影响. 电气工程学报[J], 2019, 14(3): 97-102 doi:10.11985/2019.03.014

YANG Zhihao. Effect of Stator Skewed Slot on Performance of Permanent Magnet Synchronous Motor. Journal of Electrical Engineering[J], 2019, 14(3): 97-102 doi:10.11985/2019.03.014

1 引言

定子斜槽是一种较为常见的电动机性能优化的方法,它可以有效地削弱电动机电磁场中的谐波,减小其带来的振动与噪声[1]。尤其是对于带有永磁体的电动机而言,它的磁场波形理论上就不是正弦波,因此斜槽在永磁电机的设计中更为重要[2]。斜槽通常是将定子冲片错开一定的角度进行叠压,从而使得定子槽的方向与电动机的轴向形成一定的夹角。

斜槽设计的定子如图1所示,定子的槽数为36,故一个齿槽所对应的角度为10°。当定子槽与电动机轴线(Z轴)的夹角为10°时,即为斜槽斜过一个定子齿距;当夹角为15°时,即为斜槽斜过1.5个定子齿距,以此类推。

图1

图1   定子斜槽示意图


本文研究斜槽所选取的电动机是一台36槽6极的调速永磁同步电动机,其电动机的部分参数如表1所示。

表1   电动机主要性能参数

参数数值
额定功率/kW5.5
额定电压/V380/220
额定转矩/(N·m)17.5
极对数3
定子内、外径/cm10,18
定子槽数36
转子内、外径/cm3,9.9
轴向长度/cm10
功率因数0.972 5
效率(%)94.26

新窗口打开| 下载CSV


2 定子斜槽对谐波的削弱作用

定子未斜槽时同一个定子槽内的导体在电动机磁场中的位置相同。当电动机旋转时,它们会同时产生感应电动势,感应电动势中不仅有基波,还有谐波。如果将定子槽斜过一个角度就可以改变同一个定子槽内的导体在电动机磁场中的位置,使其在产生的感应电动势上有相位的差异。电动机中每相的感应电动势是该相所有导体产生的感应电动势的矢量和,斜槽可以使得每相感应电动势在叠加时相位不同,产生分布效果[3]。其中,基波的频率最小,因此相位差最小,斜槽对基波不会造成太大的损失;谐波的频率较高,因此相位差较大,叠加时甚至有可能相互抵消。定子斜槽后基波和各次谐波都要在直槽的基础上乘以一个小于1的斜槽系数${{K}_{\text{skv}}}$。

${{K}_{\text{skv}}}=\frac{\sin \left( v\frac{{{b}_{\text{sk}}}}{{{t}_{1}}}\frac{p\text{ }\!\!\pi\!\!\text{ }}{{{Q}_{1}}} \right)}{v\frac{{{b}_{\text{sk}}}}{{{t}_{1}}}\frac{p\text{ }\!\!\pi\!\!\text{ }}{{{Q}_{1}}}}$

式中 $v$——谐波次数,v = 1时为基波;

${{b}_{\text{sk}}}$——定子斜槽宽度;

${{t}_{1}}$——定子齿距;

${{Q}_{1}}$——定子槽数。

假设斜槽宽度为一个定子齿距,则可以算出各次谐波的斜槽系数${{K}_{\text{skv}}}$,如图2所示。从图2中可以直观地看出定子斜槽对于高次谐波的削弱作用。基波的斜槽系数为0.988 6,表明在斜槽作用下基波几乎没有损失;而高次谐波的幅值原本就较小,在斜槽的作用下对电动机造成的影响会更低。

图2

图2   斜槽系数与谐波次数的关系


要想使斜槽对电动机谐波的削弱效果达到最好,既要使得基波的损失不大,又要将谐波的影响降到最小,调整斜槽的角度(宽度)就是最重要的环节。以下内容将用设置斜槽的方式对永磁同步电动机的几个重要参数进行优化。利用Ansoft Maxwell的有限元分析对几个斜槽角度进行分析,找出最合适的斜槽角度。

3 斜槽对电动机的优化作用

3.1 电动机空载感应电势的波形优化

电动机的空载感应电势(也称空载反电势)是衡量电动机性能的重要指标。特别是对于永磁同步电动机来说,齿槽效应和永磁体建立的非正弦磁场将使电动机的磁场和电场产生大量的谐波成分,从而引起电动机的振动、噪声和转矩波动[4]。分析电动机的空载感应电势的波形,解析出其中的谐波成分,就能间接分析出电动机其他部位的波形质量与谐波含量。

在Maxwell 2D模型中将斜槽角度设置为变量,分别计算不同斜槽角度下的空载感应电势波形。根据经验,当斜槽斜过整数个定子齿距时谐波的次数将升高,空载反电势波形的THD会下降到较低水平,这个结论将在第3.2节得到证明。选取斜槽角度为10°、20°、30°、40°和不设置斜槽的电动机模型进行计算并将感应电势的波形进行对比,对比结果如图3所示。

图3

图3   不同斜槽角度下的空载感应电势波形


图3a中斜槽角度为0.01°的曲线可近似看成不斜槽的曲线。从图3中可以直观地看出随着斜槽角度的增大,空载感应电势的幅值不断减小且出现峰值的时间不断提前,这印证了斜槽确实可以在绕组中产生的分布效果。

图3b是感应电势峰值附近的波形,选取了斜槽角度为8°~25°的数据。峰值处的波形越平,则波形畸变率越小,波形与正弦波越接近。从图3中可以看出大约在20°时可以得到最好的波形。但是波形的图像无法清晰地反映出波形的质量和谐波含量,所以下面将对空载感应电势的波形进行FFT分析,在频域范围内观察波形谐波含量与THD,FFT分析结果如图4所示。

图4

图4   不同斜槽角度下的波形质量


在研究电动机的谐波含量时,最关心的谐波次数就是3次、5次、7次谐波[5]。从图4a中可以看出造成波形畸变的主要因素是3次谐波,5次与7次谐波在条形图中基本看不见。随着斜槽角度的增加,3次谐波的幅值先下降后上升,在斜槽20°时最小,幅值为31.60 V。图4b中可以直观地看到斜槽角度对基波幅值以及THD的影响。随着斜槽角度的增加,基波幅值一直减小,而THD先减小后增加,在斜槽20°时达到最低,为9.99%。如此看来,斜槽角度为20°时可以得到最接近正弦波的空载感应电势波形。但在研究空载感应电势的波形时不仅要看波形的质量,还要看基波幅值的损失。当斜槽角度为10°时,可以在损失基波幅值不大的情况下最大限度地降低波形畸变率。

对于本文所研究的电动机来说,如果要让谐波含量达到最小,可以将斜槽角度设计为20°;若要在减小谐波的同时保证反电势的损失不大,则可以选择斜槽角度为10°。

3.2 电动机齿槽转矩的优化

第3.1节提到永磁同步电动机的普遍问题在于电磁场中均含有大量谐波成分,这些谐波成分不仅会影响磁场和电场的波形,还会带来较大的齿槽转矩。由于永磁同步电动机的转子上存在永磁体,永磁体产生的磁力会使得定子上的某个齿槽被吸引从而阻碍电动机的正常旋转[5]。齿槽转矩是在绕组未通电流的情况下维持电动机缓慢旋转时所需的转矩,是带有永磁体的电动机所特有的转矩波动成分。齿槽转矩会加大电机的振动和噪声,降低电机的可靠性和机械强度[6,7,8,9]。本文接下来将探究斜槽角度与电动机齿槽转矩的关系。用Maxwell 2D模型仿真来探究斜槽是否可以改善齿槽转矩。将模型中电动机的输入电流调为0,转速调为1°/s,然后设置不同的斜槽角度观察电动机的齿槽转矩。波形如图5所示,图中斜槽角度为0.01°的曲线可近似于没有斜槽的曲线。

图5

图5   不同斜槽角度下的齿槽转矩波形


图5a中可以看出:① 斜槽确实可以有效减小齿槽转矩的幅值;② 并不是斜槽的角度越大,齿槽转矩就越小。当斜槽角度为定子一个齿槽所对应角度的整数倍时,即斜过整数倍定子齿距时,齿槽转距的频率将达到其他斜槽角度的5倍左右,幅值将达到最小。当斜槽斜过定子齿距整数倍时既能提高齿槽转矩的谐波频率,又能降低幅值,是理想的斜槽角度。

图5b中将斜槽角度为10°附近的齿槽转矩波形列举出来,以便找到齿槽转矩最小的转矩。我们可以发现斜槽角度越接近10°,齿槽转矩幅值越小,在10°时达到最小。除了10°的时候,其他角度下的齿槽转矩周期相同,约为10°时的5倍。由此可见,当斜槽斜过整数倍槽距时,齿槽转矩波形最为理想。所以在第3.1节中只选取了斜过整数倍定子齿距的斜槽角度来优化空载感应电势。

下面我们将斜槽角度为10°、20°、30°和40°的曲线放大观察,如图6所示。从图6a中可以看出这几个斜槽角度所对应的齿槽转矩差别不大,无法直观地判断它们的优劣,需要借助其他手段。由于齿槽转矩的平均值近似为0,故在此处无法使用纹波系数判断,但可以采用有效值来判断。图6b中列举了齿槽转矩的有效值,可以直观地看出斜槽角度为10°时齿槽转矩的有效值最小,即齿槽转矩最小。

图6

图6   不同斜槽角度下的齿槽转矩波形


4 斜槽对电动机性能的影响

4.1 斜槽对电动机过载能力的影响

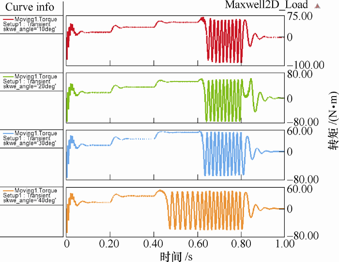
斜槽使得电枢绕组产生分布效应,会损失一部分电磁场参数的基波幅值,有可能使得电动机可以承受的最大转矩(失步转矩)减小,进而降低电动机的过载能力,而且电动机在斜槽后承受不同倍数额定转矩时的转矩纹波也有可能会发生变化。因此需要找到一个最合适的斜槽角度,既要保证失步转矩减小得不多(为保证基本的起动性能和过载能力,至少要在额定负载的3倍以上),又要保证电动机在失步转矩以下运行时转矩纹波尽可能小。修改Maxwell 2D模型的负载设置,使负载转矩从额定负载开始阶梯上升,达到2倍、3倍、4倍额定负载,最后回到空载状态,观察不同斜槽角度下的电机是否失步,并测量转矩纹波,测试结果如图7所示。

图7

图7   不同斜槽角度电动机的过载测试


图7中,时间在0.2 s以前负载转矩为额定转矩,0.4 s以前负载转矩为2倍额定转矩,以此类推,在0.8 s后回到空载。从图中可以看出所有电动机在负载为4倍额定转矩时均发生失步,而斜槽角度为40°的电动机在负载为3倍额定转矩时就会发生失步,说明定子斜槽确实会在一定程度上影响电动机的过载能力。另外,图7中也可以看出斜槽角度不同的电动机在不同的负载转矩下转矩纹波也不同,但很难分辨出使得转矩纹波最小的斜槽角度。这里引入一个可以直观表达转矩纹波大小的参数——纹波系数,它定义为信号波形的交流有效值与平均值的比值,计算公式可以写为

$f\text{=}\frac{\begin{matrix}AC & \text{RMS} \end{matrix}}{\text{Mean}}\times 100%$

求出不同斜槽角度的电动机稳定运行时转矩的纹波系数进行比较(发生失步的部分排除),结果如图8所示。

图8

图8   电动机转矩纹波系数


由于斜槽角度为40°时电动机的过载能力不过关,因此在后续分析时排除该数据。从图8中可以看出在负载转矩为额定转矩时转矩纹波系数随斜槽角度增加而减小,斜槽角度为30°时最小;在负载转矩为2倍额定转矩时转矩纹波系数随斜槽角度增加,先减小后增大,斜槽角度为20°时最小;在负载转矩为3倍额定转矩时转矩纹波系数随斜槽角度增加,先增大后减小,斜槽角度为30°时最小。另外从图8中也可以直观地看出当斜槽角度为30°,即斜过3个定子齿距时电动机转矩的综合纹波系数最小,斜槽角度为10°时次之。

综上所述,对于本文研究的电动机来说,如果要使电动机有较强的过载能力,可以选取斜槽角度为10°;如果要使电动机在过载范围内能尽量稳定地运行,则可以选取斜槽角度为30°。

4.2 斜槽对电动机轴向力的影响

斜槽设计会使得定子绕组中的导体与电动机的中轴线不再平行,而是会形成一定的夹角,这会导致导体受到的电磁力不仅有切向成分,还有径向成分[10],如图9所示。

图9

图9   导体电磁力分解图


将所有导体受到的电磁力切向分量的合成力就是提供电动机电磁转矩的力,然而轴向分量的合成力会给电动机施加一个轴向力,它不仅对电动机的转矩输出没有任何帮助,反而还会对电动机的机械强度和力学稳定性产生影响。根据图9中三种电磁力之间的关系,可以得到电动机轴向电磁力的粗略计算公式。

${{F}_{a}}={{F}_{t}}\tan \theta$

图中 Fem——导体受到的电磁力合力;

Ft——导体受到的切向电磁力;

Fa——导体受到的轴向电磁力;

θ——定子斜槽角度。

由式(3)可知:当负载转矩不变时,导体的切向电磁力不变,此时定子斜槽的角度越大,切向电磁力就越大。斜槽角度与轴向电磁力成正切函数关系。当斜槽角度变大时,轴向力会越来越快速地增长,因此要选择合适的斜槽角度将电动机的轴向力控制在合理的范围内,图10显示了斜槽角度为10°、20°、30°和40°时电动机切向力与轴向力的比值,从图10中可以看出:当斜槽角度为10°时,轴向力仅为径向力的0.176倍;斜槽角度为40°时,轴向力为径向力的0.839倍,几乎所有的电动机都不能承受这样的轴向力。在设计电动机的斜槽角度时要注意:要将轴向力控制在电动机的承受范围以内。

图10

图10   斜槽角度与轴向电磁力的关系


5 结论

综上所述,斜槽既可以优化电动机的性能,也会使电动机的某些性能变差,因此我们在进行电动机设计时要综合考虑,选择能使电动机性能最好的斜槽角度。

对于感应电势,斜槽可以使其THD降低、幅值降低;对于齿槽转矩,斜槽角度合适时可以降低齿槽转矩的幅值,一般在斜过一个定子齿距时最小;对于过载能力,设计者需要根据工程要求来选择,是使电动机的过载倍数尽可能大,还是使电动机在过载情况下运行更平稳;对于轴向力,在设计时需要验证,轴向力不能超过转轴的承受范围。

在实际设计中,设计者需要根据电动机的具体性能要求来选择斜槽角度。

参考文献

陈世坤 . 电机设计[M]. 北京: 机械工业出版社, 2000.

[本文引用: 1]

胡岩, 武建文, 李德成 , . 小型电动机现代实用设计技术[M]. 北京: 机械工业出版社, 2007.

[本文引用: 1]

苏绍禹, 高红霞 . 永磁发电机机理、设计及应用[M]. 北京: 机械工业出版社, 2012.

[本文引用: 1]

Jie Ma, Tao Ruichao, Lee Xinglong .

Analytical calculation of no-load magnetic field distribution in the slotted airgap of a permanent magnet synchronous motor

[J]. IFAC Proceedings Volumes, 2013,46(5):184-189.

[本文引用: 1]

唐任远 . 特种电机原理及应用[M]. 北京: 机械工业出版社, 2011.

[本文引用: 2]

Fang Hongwei, Chen Hongxu .

Analysis and reduction of the cogging torque of flux-modulated generator for wave energy conversion

[J]. Energy Procedia, 2019,158:327-332.

[本文引用: 1]

张登明, 周阳, 曾凡铨 .

削弱齿槽转矩的定子结构设计

[J]. 飞控与探测, 2018,1(3):54-58.

[本文引用: 1]

Zhang Dengming, Zhou Yang, Zeng Fanquan .

Stator structure design for reducing cogging torque

[J]. Flight Control and Detection, 2018,1(3):54-58.

[本文引用: 1]

王长城, 郭辉, 孙裴 , .

一种永磁同步电机齿槽转矩削弱方法

[J]. 轻工机械, 2018,36(6):62-66.

[本文引用: 1]

Wang Changcheng, Guo Hui, Sun Pei , et al.

The invention relates to a permanent-magnet synchronous motor cogging torque weakening method

[J]. Light Industry Machinery, 2018,36(6):62-66.

[本文引用: 1]

王栋梁, 陈维 .

从转矩波动角度探讨集中绕组永磁电机电磁设计

[J]. 电动工具, 2017(4):15-17.

[本文引用: 1]

Wang Dongliang, Chen Wei .

The electromagnetic design of the concentrated winding permanent-magnet motor from the angle of torque fluctuation

[J]. Electric Tool, 2017(4):15-17.

[本文引用: 1]

何思源, 符敏利, 杨金霞 .

定子斜槽对永磁电机轴承的影响

[J]. 大功率变流技术, 2012(2):59-62.

[本文引用: 1]

He Siyuan, Fu Minli, Yang Jinxia .

Influence of stator skewed slot on permanent magnet motor bearing

[J]. High Power Converter Technology, 2012(2):59-62.

[本文引用: 1]

/