基于虚拟阻抗的逆变器并联控制策略的研究
1.
2.
An Inverter Parallel Control Strategy Research Based on Virtual Impedance
1.
2.
收稿日期: 2018-03-15 网络出版日期: 2018-08-10
Received: 2018-03-15 Online: 2018-08-10
作者简介 About authors
陈薇 女 1981年生,博士,副教授,主要从事控制理论与控制工程等方面的教学与科研工作。
赵强 男 1992年生,硕士研究生,主要研究方向为控制理论及应用。
多逆变器并联运行时,由于各逆变器的设计参数、连线阻抗等都存在差异,各逆变器模块的等效线路阻抗也各不相同,往往会产生系统环流,导致系统不稳定。本文将对逆变器并联运行系统进行分析,并且提出一种基于虚拟阻抗的逆变器并联运行环流抑制方法。
关键词:
When multiple inverters are operated in parallel, because the design parameters and connection impedance of each inverter are different, the equivalent line impedance of each inverter module is also different. Therefore, system circulation will often occur, and it will lead to system instability. In this paper, the inverter parallel operation system is analyzed and a method based on the virtual impedance parallel operation of the inverter is proposed to suppress the circulation.
Keywords:
本文引用格式
陈薇, 赵强.
Chen Wei.
1 引言
近年来,包含大量分布式电源(Distributed Generation,DG)的微电网成为国内外研究的热点。微电网中的分布式电源主要有风电、光伏、储能电池、柴油发电机和燃料电池等[1],其中大部分DG均通过逆变器接入微电网。储能双向逆变器设备是用于储能系统的专业变流设备,通过与电池组和公共电网连接。在电网负荷低谷时,将电网上的交流电能转换成直流电能,给电池组充电;在电网负荷高峰期,它又将电池组的直流电能转换成满足电网要求的交流电能,回馈到公共电网中去,起到削峰填谷的作用,以保证电网的正常运行。
多模块并联运行技术是开关逆变电源向大功率方向发展的一个重要途径,也是逆变电源从传统的集中式供电向分布式供电模式发展过程中的一项关键技术[2]。
逆变器的并联应用应能体现以下主要优点:
(1)系统容量组合的高度灵活。积木式容量组合方案,为用户提供各种容量等级的逆变电源。
(2)逆变模块中功率开关器件的电流应力小,可靠性高。各模块分担负载功率,大大减小了开关器件的电流应力,不仅可以突破因开关器件造成的对功率等级的限制,而且可使各逆变模块自身工作的稳定性、可靠性得到提高。
(3)逆变器模块标准化、功率高密度,易于产业化生产。用于并联的逆变器模块,采用标准化生产,产品一致性好、互换性强。
(4)系统冗余度高、可维护性好。通过多个冗余设计,使系统具有故障容错及冗余功能,检修维护简便。
由于逆变器输出存在幅值和相位等多个参量,与直流电源模块的并联相比,实现逆变器并联运行更加困难。理想并联运行状态下,各逆变器模块的输出电压幅值相等、频率相等、相位一致,即任意时刻模块输出的电压差为零。但在实际逆变器并联系统中,由于电路参数的差异和负载的变化或由于控制系统的固有特性问题,各逆变器模块的输出电压瞬时值往往不可能完全相等。电压差的存在使系统内部形成环流,而环流对于逆变器系统的稳定性和可靠性以及逆变器内部功率器件都将产生不利影响,严重时会损坏功率器件使系统崩溃,导致供电中断。因此采取有效的环流抑制措施,是逆变器并联运行控制的关键[3]。
常规的同步发电机并联供电系统,输出电压频率和相位可实现自动同步,而PWM逆变器并联系统不具有这种自同步能力[4]。为确保PWM逆变器并联运行的稳定与可靠,系统中的各逆变器模块必须满足以下基本条件:
(1)输出电压的幅值、相位和频率应一致。频率微弱差异的积累将造成并联系统输出幅值的周期性变化和波形畸变;幅值不等将引起各并联单元之间的环流;相位不同将使输出不稳定,而在并联过程中则可能造成强烈冲击。
(2)在输入电压和负载变化范围内,各逆变器模块均分负载电流,且动态响应特性好。若负载不均分,分担较重的模块会因为长期过载运行造成热应力大而降低系统可靠性。
(3)可靠的保护措施。除模块内部故障保护外,当出现环流或同步异常,应快速采取相应措施,确保系统工作的可靠性。
2 并联逆变器等效电路分析
图1
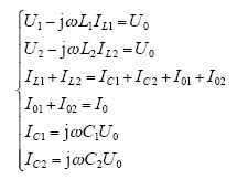
通常连接导线电阻很小,为了简化分析,忽略rL1和rL2、r1和r2的影响。根据图1可以列出以下电路基本方程为

其中,IC1、IC2分别为流入电容C1、C2的电流。
当C1 = C2 = C,L1 = L2 = L时,可推得

由式(2)可以得出以下结论:当U1 = U2时,IL1 = IL2 = (I0/2) + jwCU0,两个逆变器均分负载电流;当U1 ≠ U2时,IL1、IL2由负载电流分量和环流分量两部分组成,两个逆变器对负载电流的分担是不均衡的;当U1和U2同相位时,不同幅值环流体现为无功分量,对电压高的逆变器环流呈容性,对电压低的逆变器环流呈感性;当U1和U2幅值相等时,相位超前者环流分量为正有功分量(输出有功),相位滞后的环流分量为负有功分量(吸收有功);当U1和U2既不同相位又不等幅值时,则环流分量中既有无功分量,又有有功分量。
3 并联逆变器系统的环流分析
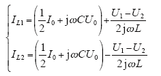
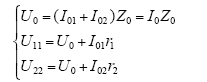
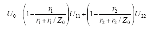
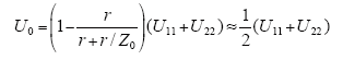
考虑因各逆变器单元输出特性间的差异所造成的环流影响,假设在静态下的U11和U22为标准正弦波,忽略波形畸变的影响,由图1可知

则有

若r1 = r2 = r,则有r<<Z0,则上式可简化为

定义环流为
因I0 = I01 + I02,故有

所以系统的环流为

即

由上述关系式可知:
(1)因U11和U22幅值不等或相位差异而导致存在ΔU,更由于线路阻抗r非常小,从而可以形成较大的环流IH。
(2)环流的相位及幅值仅与ΔU有关,而与负载大小无关。
(3)在相同环流大小情况下,负载阻抗角ϕ越大则各逆变器输出电流的幅值差越大,纯阻性负载下输出电流的幅值差最小[6]。
(4)环流IH可以看作两个相互垂直的电流相量的合成,其中与U11和U22同向的分量在线路阻抗、功率管压降、电感内阻上消耗了有功功率;而与U11和U22垂直的分量则以无功功率的形式在不同单元间传送,它会加大逆变模块中功率器件及输出滤波器等的电流应力和热应力,严重时将导致逆变器模块和并联系统无法正常工作,甚至损坏。
4 逆变器并联控制分析
逆变器并联运行技术的研究主要分为有互联线并联控制和无互联线并联控制,其中有互联线并联控制包括集中控制、主从控制和分散逻辑控制;无互联线并联控制则主要通过下垂特性控制,来实现各单元间无互联线的并联控制[7]。本文采用一种应用比较普遍的主从控制来实现对多逆变器的控制分析。
主从控制的控制原理如图2所示,以两个逆变器为例进行研究。
图2
利用Matlab中的Simulink搭建此仿真模型,其中两台逆变器采用电压型全桥逆变电路,直流侧电压为200V,保证输出电压的幅值可达±100V,可以满足仿真要求。调制波占空比为0.5,负载端为纯电阻负载,设为10Ω。为了方便捕获和抓取电压值,可以在主机电压输出端设置一个滤波函数对输出信号进行低通滤波。
输出电压波形如图3所示。
图3
图4
图5
由仿真结果可以看出,系统输出的电压值达到预期值,为50V,而电流值却远远大于预期值,从而导致系统输出的功率不稳。产生这种现象主要是因为两个逆变器的输出电压虽然大体相同,但依然会存在差异,而线路中的阻抗非常小,所以微小的电压差就引起了系统环流。从波形图上可以看到,环流所引起的电流值高达数千安培,若不采取相应的抑制措施,将会对系统以及功率器件造成极大的破坏。
5 引入虚拟阻抗的并联控制分析
在逆变器并联系统中,各逆变器线路长度不同,对应逆变器线路阻抗将存在差异,线路越长,电阻相对电抗越大,因而采用传统控制策略时会产生较大的系统环流。为提高逆变器并联系统的安全稳定性,可以采用外加限流电感法,即在逆变器输出端串联电感,可有效地抑制环流,但要达到很好的抑制效果,需要使用较大的电感,从而导致逆变器体积质量变大,造价提高,并且会导致线损较为严重,效率不高[9]。因此,本文引入虚拟阻抗技术对逆变器输出阻抗进行重新构造。
一般情况下,虚拟阻抗有两种形式,即虚拟电感和虚拟电阻,虚拟电感可以使逆变器等效阻抗呈感性,而虚拟电阻可以使逆变器等效阻抗呈阻性。当加入感性虚拟阻抗时,容易受到高频谐波电流影响,引起较大的电压降落,使系统稳态性能下降。由于低压微电网中,线路阻抗阻感比较高,线路呈阻性,若逆变器等效阻抗构造呈感性,需要加入很大的虚拟电感,而加入虚拟电阻的形式显然很适合低压微网的控制,因此,本文采用加入虚拟电阻的形式构造逆变器输出阻抗[10]。
虚拟阻抗技术即对电压、电流双环控制加入虚拟阻抗,构造逆变器输出阻抗,使其满足系统需求。
图6
图7
图7
引入虚拟阻抗后逆变器1 的输出电流波形
Fig.7
Inverter 1 output current waveforms under virtual impedance
图8
图8
引入虚拟阻抗后逆变器2 的输出电流波形
Fig.8
Inverter 2 output current waveforms under virtual impedance
由以上仿真结果可以看出,加入虚拟阻抗后,输出的电压波形依然满足预期值,两个逆变器输出的电流值也趋于稳定,大大减小了系统的环流,有利于逆变器安全工作和系统稳定运行。
6 结束语
本文在简要分析了多模块化并联运行时各逆变器应满足的基本条件下,对并联系统的等效电路进行了具体分析。通过对并联系统环流的理论分析计算,分析了系统产生环流的根本原因,并且搭建了仿真模型,从仿真波形中更加直观地看到系统环流的存在对系统稳定性的影响。为了消除系统环流带来的影响,加入了虚拟阻抗来进行环流抑制,并在仿真模型中进行试验,通过仿真分析得出,引入虚拟阻抗可以有效抑制系统环流,系统的稳态性能得到了改善。
参考文献
百MW级储能电站用PCS多机并联稳定性分析及其控制策略综述
[J].
A review of stability analysis and control strategy of multi-paraller PCS for hundred MW level energy storage power station
[J].
中国未来电网的发展模式和关键技术
[J].
DOI:10.13334/j.0258-8013.pcsee.2014.29.001
URL
[本文引用: 1]
化石能源枯竭和气候环境变化两大关键问题,促使全球范围内开展了一场以可再生能源和新能源发展为核心的新能源革命。在此背景下,电网将承担除了电力输送之外的更重要的使命,成为能源、电力、信息综合服务体系的支撑平台。研究了2031—2050年中国电网发展模式及影响电网发展的关键电网技术,采用一种基于关键问题表征指标的宏观预测方法,分近中期(2011—2030年)、中长期(2031—2050年)两个阶段给出了中国电网的发展趋势预测,并凝练了10项影响电网发展的关键技术,梳理了其中的基础科学问题和前沿技术。
China’s future power grid development model and key technologies
[J].
DOI:10.13334/j.0258-8013.pcsee.2014.29.001
URL
[本文引用: 1]
化石能源枯竭和气候环境变化两大关键问题,促使全球范围内开展了一场以可再生能源和新能源发展为核心的新能源革命。在此背景下,电网将承担除了电力输送之外的更重要的使命,成为能源、电力、信息综合服务体系的支撑平台。研究了2031—2050年中国电网发展模式及影响电网发展的关键电网技术,采用一种基于关键问题表征指标的宏观预测方法,分近中期(2011—2030年)、中长期(2031—2050年)两个阶段给出了中国电网的发展趋势预测,并凝练了10项影响电网发展的关键技术,梳理了其中的基础科学问题和前沿技术。
无互联线并联逆变器的功率解耦控制策略
[J].传统下垂控制方法会引起无互联线逆变器并联系统的误调节。该文在考虑逆变器输出阻抗和线路阻抗中阻性分量的基础上,分析了因逆变器模块滤波电感和线路阻抗差异造成的无功分配不均的原因,提出了功率下垂解耦控制方法。该方法可以消除并联系统的误调节,但并不能改善功率分配不均的现象。分析得知,逆变器模块较大的输出电压幅值将使该逆变器发出较大的有功功率和无功功率,由此提出了改进型的功率解耦控制策略,该方法可以使功率分配不均的现象得到改善。原理试验样机验证了所提控制方法的正确性和先进型。
Power decoupling control strategy for parallel-connected inverters without interconnections
[J].传统下垂控制方法会引起无互联线逆变器并联系统的误调节。该文在考虑逆变器输出阻抗和线路阻抗中阻性分量的基础上,分析了因逆变器模块滤波电感和线路阻抗差异造成的无功分配不均的原因,提出了功率下垂解耦控制方法。该方法可以消除并联系统的误调节,但并不能改善功率分配不均的现象。分析得知,逆变器模块较大的输出电压幅值将使该逆变器发出较大的有功功率和无功功率,由此提出了改进型的功率解耦控制策略,该方法可以使功率分配不均的现象得到改善。原理试验样机验证了所提控制方法的正确性和先进型。
微电网逆变器并联控制策略研究
[J].
一种主从改进型辅助逆变器并联控制方式研究
[J].
A master-slave modified auxiliary inverter parallel control mode study
[J].
一种微电网多逆变器并联运行控制策略
[J].在微电网多逆变器并联系统中,由于逆变器的输出阻抗以及与公共连接点的线路阻抗存在差异,应用传统下垂控制法会导致逆变器间的环流较大及功率均分精度较低。在分析多逆变器并联系统中传统下垂控制法及逆变器输出阻抗对系统性能的影响基础上,通过引入感性虚拟阻抗,提出一种适合微网多逆变器并联的电压电流双环下垂控制策略。虚拟阻抗的引入使输出阻抗仅由滤波电感值决定,减少了逆变器输出电阻的影响;考虑线路阻抗的影响,提出一种新型改进下垂控制算法,通过对下垂系数进行修正,减弱了线路阻抗差异对并联均流的影响,提高了多逆变器并联性能。仿真与实验结果表明了该控制策略的正确性和有效性。
A micro-grid multi-inverter parallel operation control strategy
[J].在微电网多逆变器并联系统中,由于逆变器的输出阻抗以及与公共连接点的线路阻抗存在差异,应用传统下垂控制法会导致逆变器间的环流较大及功率均分精度较低。在分析多逆变器并联系统中传统下垂控制法及逆变器输出阻抗对系统性能的影响基础上,通过引入感性虚拟阻抗,提出一种适合微网多逆变器并联的电压电流双环下垂控制策略。虚拟阻抗的引入使输出阻抗仅由滤波电感值决定,减少了逆变器输出电阻的影响;考虑线路阻抗的影响,提出一种新型改进下垂控制算法,通过对下垂系数进行修正,减弱了线路阻抗差异对并联均流的影响,提高了多逆变器并联性能。仿真与实验结果表明了该控制策略的正确性和有效性。
电压电流双闭环反馈逆变器并联控制
[J].
Control of parallel operating inverter with voltage and current closed-loops
[J].
Modeling and mitigation of harmonic resonance between wind turbines and the grid
[C].
基于虚拟电阻控制环的并联逆变器简化控制方法
[J].For the scalability and reliability of the whole system, it has more advantages for several small power inverters parallel than a single high power inverter. This paper proposes a simplified control method based on virtual impedance control loop for the inverters parallel operation. It can balance the current distribution of individual inverters without communication lines, and restrain the internal circulating current. In order to verify the proposed method, the parallel topology of two inverters is introduced in this paper, and the performance of this method is also verified by simulations and experiments.
A simplified control method of parallel inverters based on virtual impedance control loop
[J].For the scalability and reliability of the whole system, it has more advantages for several small power inverters parallel than a single high power inverter. This paper proposes a simplified control method based on virtual impedance control loop for the inverters parallel operation. It can balance the current distribution of individual inverters without communication lines, and restrain the internal circulating current. In order to verify the proposed method, the parallel topology of two inverters is introduced in this paper, and the performance of this method is also verified by simulations and experiments.
/
| 〈 |
|
〉 |