基于VSG的光储双向变流器关键特性研究 |
陶鸿飞,孙丽敬,崔健,杨才明,金渊文,谢栋 |
Research on Key Characteristics of Optical-Storage Bidirectional Converter Based on Virtual Synchronous Generator Technology |
Tao Hongfei,Sun Lijing,Cui Jian,Yang Caiming,Jin Yuanwen,Xie Dong |
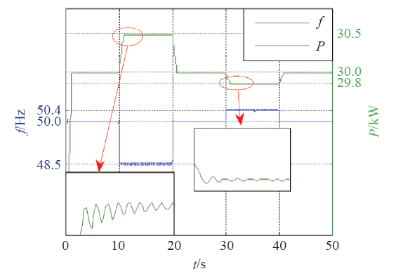
图14 重载时有功功率响应曲线 |
Fig.14 Curve of active power when load is heavy |
![]() |