风电场接地系统辅助设计软件的研发
湖北省电力勘测设计院有限公司 武汉 430040
Development of the Computer Aided Design Software of Wind Power Grounding Systems
PowerChina Hubei Electrical Engineering Corporation Wuhan 430040 China
收稿日期: 2017-10-31 网络出版日期: 2018-03-25
Received: 2017-10-31 Online: 2018-03-25
作者简介 About authors

邓少平 男 1967年生,本科,高级工程师,主要从事电厂电气设计研究工作。

康 慨 男 1987年生,硕士,主要从事新能源发电及微电网研究工作。
风电场的接地不但要满足工频短路电流,还要满足雷电冲击的要求。如果风电场的接地装置设计存在缺陷,会造成系统振荡、设备烧毁、全场停运甚至人员伤亡等严重后果。发变电站接地系统的参数评估是电力系统设计的重要环节,进行准确细致的接地网参数仿真计算是非常重要的。本文开发的风电场接地设计软件主要采用数值计算方法,能够较为全面地考虑实际影响因素,为风力发电场的设计、建设和运行提供有效的帮助。
关键词:
The grounding of wind farm should not only meet the demand of power frequency short-circuit current, but also meet the requirements of lightning impulse current. If there are defects in the design of the grounding device of the wind farm, it will result in the consequences of system shock, equipment burning, the suspension of the whole field and even personnel injury. The parameter evaluation of the grounding system of the transformer substation is an im-portant part of the design of power system, and it is very important to carry out accurate and detailed simulation calculation of grounding grid parameters. The wind farm earthing design software developed in this paper mainly adopts numerical calculation method, which can consider the influence factors in the actual situation more com-prehensively and provide the help for the design, construction, and operation of wind farm.
Keywords:
本文引用格式
邓少平, 康慨, 熊力, 曲名新, 翟学, 王羽.
Deng Shaoping.
1 引言
本文通过研发一套风力发电场专用设计软件,可精确计算风力发电场接地系统相关参数,通过计算在高土壤电阻率下风电场的不同接地方案,并对方案进行技术经济对比,得出最优的接地设计方案,为风力发电场工程接地设计提供技术支撑。
接地系统接地参数的计算方法可以分为两类,一类是采用理论公式进行简单的估算(简称公式法),另一类则是采用数值计算方法进行比较精确的计算(简称数值法)[3]。由于公式法运用了等效简化的处理,采用公式法计算发变电站接地系统接地参数必然存在一定的误差。过度的简化在一些情况下甚至会产生较大的误差,这是公式法最大的缺点。随着接地理论方面取得的最新突破、计算机硬件性能大幅的提升和数值计算技术的发展,各国学者将各种数值计算方法应用到接地参数的数值计算中来,如有限差分法、有限元法、模拟电荷法、边界元法和矩量法等[4]。相比于公式法,数值计算法能够较好地模拟实际情况,使得计算结果更为准确,因此,本文基于数值计算法来进行风电场接地软件的设计。
2 风电场接地算法简介
接地网参数计算三要素的数值法求解体系是比较复杂的[9,10],本文只讨论接地系统本体的数值处理/求解方法,并不涉及土壤电阻率和电流源的数值法。另外,本文并不讨论冲击接地问题,故接地系统本体的数值计算方法是基于恒流场的理论而展开,即当直流或交流电流流经接地系统时,任一点的电位满足泊松/拉普拉斯方程。通过将组成接地系统的导体进行剖分离散化处理,从而使计算空间电位的复杂积分变为求和的形式。通过计算各剖分后得到支路的自电阻和互电阻来求得接地网的泄流电流分布,从而得到空间内任意点的电位。接地系统本体的数值处理/求解方法主要在于求解电阻系数与沿接地系统泄流电流分布,其计算精度、计算繁杂程度、计算时间的长短及占用计算机内存是数值法研究的对象。目前随着硬件技术的发展,计算机的运算速度及内存的大小已经不再是阻碍数值法应用的因素,数值法应从计算精度、与实际情况的吻合程度等方面进行改进。如考虑接地网所处土壤的分层/分块的情况,而不是只对采用等值电阻率的均匀土壤结构进行分析。
3 接地仿真方法
接地系统本体数值法的第一步,就是对接地系统进行剖分离散化,即剖分接地系统为多个节点和支路的集合,微观的支路模型如图1所示。
图1
图1中支路l连接2个节点N1和N2,流入和流出节点的电流分别为IN1和IN2。支路上微元dl上导通电流和散流电流分别为C(l)和S(l)。在接地参数分析中,均匀土壤为半无限大各向同性的媒质,一般采用导电率或电阻率来表示其性能。接地系统的局部范围与交流50Hz或60Hz工频电流的透入深度相比要小得多,因此可以忽略传播时间,在交流或直流情况下接地系统特性可以基于恒定电流场理论进行分析。如果电流流入埋设在地中的接地装置,根据恒定电流场理论,以无限远点为参考点,应用格林函数的原理可以得到电极泄流电流在任意一点p产生的电位Vp为
式中,G为格林函数,对均匀土壤,有G = 土壤电阻率/(4π)×[1/(p与l的距离) + 1/(p与l镜像的距离)]。补充一点,对于其他不均匀土壤的情况,如果格林函数G可以理论上导出,则本文后面方法也适用于该种不均匀土壤,若格林函数G理论上无解析解,则需要使用更复杂的方法进行求解,感兴趣的读者可查阅相关文献。
剖分后,接地系统细分为足够稠密的支路集合R。足够稠密的意义在于,R中所有支路均可以近似为S(l)处处相等。支路导体的两个端点的集合称为节点N。剖分后接地网的等效模型由r根支路和n个节点构成。如某地网的模型示意图如图2所示。
图2
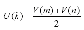
定义编号j的节点电压V(j)是j号节点的电位。由于支路导体足够稠密,近似认为第k支路电压U(k)恒定为两端点电位平均值,有
式中,m和n为k号支路两端点的编号。写成矩阵形式有
式中,U为支路电压列向量;V为节点电压列向量;K为支路–节点关联矩阵,当支路i与节点j相连时有K(i, j) = 0.5,否则为0。
考虑所有的支路电压和支路散流电流I有
式中,S为支路散流阵;H为支路的互电阻矩阵。对于H有
令支路散流电流I分成两部分,等分到与之相连的节点有
式中,J(b)为b号节点的散流电流;如果节点k与支路i相连,ci,b = 1,否则等于零。写成矩阵形式有
式中,J为节点散流电流列向量;K′是K的转置。
运用电流守衡定律有
式中,F为故障入地电流列向量;Y为节点导纳矩阵。
综合,有
接地网的节点导纳矩阵Y求解公式为
式中,A为关联矩阵,当支路k和节点j关联且它的方向背离节点,则A(j,k) = 1,当支路k和节点j关联并且它的方向指向节点,则A(j,k) = -1,否则是零;A′是A的转置矩阵;Z为接地网导体的支路阻抗矩阵,其元素为
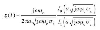
式中,M为导体的外自感阵;M(i, j)为导体i和导体j间的互感;z为导体内自阻抗向量,第i段圆柱导体的内自阻抗z(i)可表示为
式中,μc和σc分别为导体i的磁导率和电导率;a为圆柱导体的半径;I0和I1分别为修正的第一类零阶和一阶贝塞尔函数。
根据电磁场理论,导体间的互感M(i, j)的表达式如下
式中,θi, j为导体i和导体j之间的夹角。
由于注入节点电流向量F已知,通过式(9)就可以很方便地求出节点电压向量V,然后相应求出支路电压向量U和支路散流电流向量I,这样接地网的等效接地阻抗Zg和地表电位分布Vp等问题都可以解决。
式中,Hp为支路与观测点的互阻阵,Hp元素的计算公式与式(1)相同。
4 软件开发
风电场接地辅助设计软件架构如图3所示。按软件的设计思路,软件分为DXF风电场接地系统CAD数据导入模块、前处理模块(风电场土壤电阻率测试数据处理和反演模块、接地数值计算模块(接地电阻计算、地表电位/跨步电位差/接触电位差分析模块、降阻方案分析)和后处理模块(地表电位/跨步电位差/接触电位差可视化、接地计算结果综合和报告自动生成)。
图3
图3
风电场接地辅助设计软件的架构
Fig.3
The architecture of grounding auxiliary design software for wind farm
该软件的最大特色是专门针对风电场接地系统的计算机辅助建模计算,最大限度地减轻接地设计人员的工作量。另外,该软件可以支持复杂的工况,避免使用简化公式的计算误差。下面就各个模块开展介绍。
4.1 DXF风电场接地数据导入模块
图4
图5
图5
Fig.5
The 3D model diagram of the grounding system in
软件还提供了编辑导体几何参数的功能,方便用户进行更精细化的建模;增加了导体连接缺陷的容错功能,修复了CAD数据中导体无法精确连接的问题。
4.2 土壤参数反演模块
图6
图6
风电场接地辅助设计软件的土壤反演模块
Fig.6
Soil inversion module of the grounding auxiliary design software for wind farm
4.3 接地计算模块
由于风电场的接地系统几何结构复杂,若简化为简单的几何模型,其接地参数计算误差将会超过工程允许值,给风电场的安全运行带来风险。软件的接地计算模块采取的是精确的接地仿真方法,即:第一步,接地体的网格剖分,示意图如图7所示;第二步,散流导纳和导通导纳的计算(见式9);第三步,人体安全(最大跨步电位差和最大接触电位差)的计算和检验。
图7
图7
风电场接地辅助设计软件的导体剖分网格
Fig.7
Conductor mesh of the grounding auxiliary design software for wind farm
4.4 后处理模块
软件运行完毕后,将自动生成Word格式的计算结果,无需人工编写计算结果报告,大大提高了接地设计人员的办公效率。
4.5 软件的应用与验证
表1 大地电阻率的测量结果
Tab.1
极距/m | 视在电阻/Ω·m |
---|---|
1.00 | 183.67 |
2.00 | 231.21 |
3.00 | 244.52 |
5.00 | 416.87 |
7.00 | 739.43 |
10.00 | 960.76 |
20.00 | 1 318.14 |
30.00 | 1 976.39 |
表2 水平双层大地的反演结果(软件)
Tab.2
编号 | 厚度/m | 电阻率/Ω·m |
---|---|---|
第一层 | 2.54 | 172.84 |
第二层 | ∞ | 5 660.1 |
图8
CDEGS具有DXF图纸的导入功能,但结果并不理想,示意图如图9所示。可见,商用接地软件在导入复杂风电场图纸的时候可能会出现问题,导入的导体信息并不完整。为了与本文的软件进行对比,本文软件导出了正确的几何数据,并输入到CDEGS中,再对两个软件进行接地参数计算结果的对比。
图9
图10
图10
风电场接地辅助设计软件的地表电位可视化功能
Fig.10
Surface potential visualization of the grounding auxiliary design software for wind farm
5 结论
接地系统是风力发电场的重要组成部分,是维护系统安全可靠运行、保障运行人员和电气设备安全的根本保证和重要措施。当高压设备发生接地短路故障时,接地系统必须为故障电流提供可靠的回流路径。风力发电场接地装置对于保证电力系统安全运行起着至关重要的作用。随着我国风力发电的迅猛发展,对系统安全、稳定及经济运行的要求越来越高。为了确保风电场的安全稳定运行,提高供电可靠性,风电场需要有一个良好的接地装置,保证风力发电场接地电阻、跨步电压、接触电势等参数满足规程规范的要求。
本文所开发的风电场接地设计软件界面友好,操作简单,运行可靠,计算中可考虑多种因素,实用性强,可结合工程实际情况仿真模拟不同的风力发电场接地网设计模型,得出技术经济最优的方案,特别对高土壤电阻率下的风电场接地具有较强的工程应用价值。
参考文献
风电场接地变及其中性点接地电阻的改进方案分析
[J].
Analysis on improvement scheme of grounding resistance of wind farm grounding transformer and its neutral
[J].
高土壤电阻率沙地风电场的接地研究
[J].
Study on grounding of wind farm in high soil resistivity sandy land
[J].
风电场35kV系统接地研究
[J].
Study on 35kV system grounding of wind farm
[J].
风电场接地电阻选择设计
[J].
Design of grounding eesistance selection for wind farm
[J].
山区风电场接地设计方案分析
[J].
Analysis of mountainous wind farm grounding design scheme
[J].
风电场接地设计
[J].
Wind farm grounding design
[J].
风电场风电机组的接地设计
[J].
Grounding design of wind turbine in wind farm
[J].
/
〈 |
|
〉 |
