基于比例谐振的永磁直驱风电机组高电压穿越控制策略
同济大学电子与信息工程学院 上海 201804
The HVRT Control Strategy of Direct-Driven PMSG Based on Proportional-Resonant Controller
Tongji University Shanghai 201804 China
收稿日期: 2017-12-13 网络出版日期: 2018-03-25
基金资助: |
|
Received: 2017-12-13 Online: 2018-03-25
作者简介 About authors

张明锐 男 1971年生,博士,教授,博士生导师,主要研究方向为分布式发电与微网技术、电力系统能量管理与优化运行和轨道交通牵引供电系统。

尉 芬 女 1993年生,硕士研究生,主要研究方向为分布式发电并网技术。
本文提出一种基于比例谐振的永磁直驱风电机组高电压穿越控制策略。依据电网电压骤升幅度,网侧变流器优先向故障电网输出一定比例的感性无功电流。在直流母线电压超出限值后,超级电容器储存能量以稳定直流母线电压。本文所提策略与传统的PI控制策略相比,能够在静止坐标系下对交流输入信号进行无静差控制。同时,该策略减少了坐标旋转变换,不存在受温度及电路参数影响的耦合项和前馈补偿项,简化了控制算法。仿真结果表明,该控制策略不仅可以保证永磁直驱风电机组在电网高压故障期间不脱网连续运行,又可使该系统为电网电压的恢复提供一定的感性无功。
关键词:
Put forward a HVRT control strategy of direct-driven PMSG based on proportional resonant controller. Based on the extent of grid voltage swell, the grid side converter give priority to output certain inductive reactive current to the fault grid. The super-capacitor stores energy to stabilize the DC bus voltage when the DC voltage exceed the limit. Proportional resonant (PR) controller can control the AC input signal without static difference in stationary reference frame. Compared with the traditional PI control strategy, this strategy reduces the coordinate rotation transform, does not have coupling terms and feed-forward compensation terms which is affected by the temperature and the circuit parameters. The simulation results show that the control strategy can not only ensure the direct-driven PMSG in continuous operation during the fault, but also can make the system provides inductive reactive power for the recovery of the grid voltage.
Keywords:
本文引用格式
张明锐, 尉芬.
Zhang Mingrui.
1 引言
永磁直驱风电机组(Permanent Magnet Syn-chronous Generator,PMSG)具有机械损耗小、运行可靠性高、发电效率高和便于维护等优点,近年来在风电场中逐步得到了广泛应用。目前,随着风电机组容量的快速增加,电网电压骤升故障对风电机组安全稳定运行的影响已经引起人们的广泛关注。
电压骤升是一种常见电网异常现象,通常发生在电网无功功率过剩情况下。电容补偿未及时退出、电网单相接地故障、风电场负载突然切除和投入大容量补偿器等都会引起电网电压的骤升。电网电压骤升时,PMSG由于瞬时能量不平衡导致直流母线电压上升,变流器和直流母线电容对过电压和过电流的承受能力有限会引起风电机组脱网。因此,要求风力发电机组在电网电压骤升期间具备一定程度的不脱网连续运行能力,即高电压穿越(High Voltage Ride Through,HVRT)特性。
近年来,各国逐渐开始重视发电设备高电压穿越问题,并制定高电压穿越标准[1]。各国的标准都是根据本国的电网结构以及新能源发电所占比例决定的。澳大利亚并网导则要求当电网电压骤升至额定电压的130%时,风电机组应持续60ms而不脱网;电网电压骤升至额定电压的120%时,风电机组应持续0.4s不脱网;电网电压骤升至1.1倍额定电压时,风电机组应一直保持并网。德国E.ON在并网导则中规定,当电网电压骤升为额定电压的125%时,风电机组能保持100ms运行不脱网,且要求在高电压情况下风电机组需要吸收一定比例的无功电流。
目前,实现永磁直驱风电机组高电压穿越的方案主要分为增加硬件电路和改进系统控制策略。增加的辅助装置又可按照其工作方式分为主动式和被动式,其中主动式主要包括静止同步无功补偿器(Static Synchronous Compensator,STATCOM)、静止无功补偿器(Static Var Compensator,SVC)及动态电压恢复器(Dynamic Voltage Restorer,DVR),这类装置的特点是将风电机组与电网故障隔离开来,从而实现系统的不脱网安全运行;被动式装置主要有交流撬棒电阻和直流母线斩波电路,故障期间通过额外的卸荷回路来消耗掉系统中多余的能量,以实现故障穿越。
动态电压补偿器主要用来实现双馈感应电机(Doubly-Fed Induction Generator,DFIG)与恒速异步电机(Fixed Speed Induction Generator,FSIG)的故障穿越[2,3,4]。DVR串联接入风电机组机端和电网公共连接点之间,电网故障时,利用DVR通过变压器在风电机组和电网之间实现串联电压补偿。文献[5]提出了变速恒频双馈风电场与STATCOM间的无功电压协调控制方案,在电网电压故障时对风电机组转子侧及网侧变流器与STATCOM进行无功功率分配,协调控制实现风电场LVRT。文献[6]将STATCOM通过电抗器串联在风电机组的公共连接点上,在电网电压骤升时,采用双闭环反馈控制策略对STATCOM进行控制,使其吸收电网容性无功并补偿感性无功,实现风电机组的高电压穿越。文献[7]所提出的HVRT控制策略基于电网电压和发电侧负载电流的信息对直流母线电压的参考值进行在线调整,以增加并网逆变器在高电压故障期间的控制裕度。文献[8]根据电网电压骤升幅度及直流母线电压升高程度利用模式选择器设定有功电流与无功电流参考值,使永磁直驱风电机组具备高电压故障穿越能力。文献[9]通过卸荷电阻的升级和并网逆变器控制环节的优化,实现了PMSG较好的HVRT功能。文献[10]从有功功率和无功功率的角度提出一种联合紧急变桨技术、并联直流电容器技术和网侧变流器电压控制方式的方法,提升风电系统的故障穿越能力。文献[11]在转子旋转坐标系中采用PR控制器控制定子电压。与传统PI控制策略相比,该策略能够简化控制算法,提高控制系统的鲁棒性。文献[12]对PI控制与PR控制进行了对比分析,得出在逆变器的控制中可以用PR控制代替传统PI控制的结论。文献[13]采用基于PR控制器的网侧变换器控制系统,实现维持直流电压稳定及调节功率因数的控制任务,该方法易于实现对DFIG系统低次谐波电流的补偿,能减小控制算法的实现难度。
本文将PR控制器引入到永磁同步发电系统网侧变流器的电流调节中,提出一种基于比例谐振(Proportional Resonant,PR)的永磁直驱风电机组的高电压穿越控制策略。在电网电压骤升时,改变网侧工作状态,使风力发电机组快速向电网提供感性无功。在直流母线电压超出限值时,超级电容器储存多余的电网能量以维持直流母线电压恒定,使PMSG具备高电压穿越的能力。文中采用一种基于固态变压器的永磁直驱风电并网系统对所提控制策略进行验证[14]。
2 风电系统并网模型
基于固态变压器的永磁同步风力发电机并网系统能够实现整流和逆变部分的电气隔离,明显减小并网冲击电流,是有效的永磁同步风力发电机并网方法。系统结构如图1所示,正常工作时,风力机带动PMSG产生三相交流电,定子侧输出的交流电通过机侧整流器转换成低压直流,通过单向全桥逆变器调制成高频方波,高频变压器将电压升高后经单相全桥整流器转换为直流,并网逆变器将高压直流电转换成稳定的三相交流电,输送至电网。
图1
永磁直驱风电机组控制系统包括机侧变流器控制系统、直流升压环节控制系统、网侧变流器控制系统和超级电容控制系统。其中直流升压环节的两个变流器均采用PWM控制[15],超级电容器采用电压电流双闭环进行控制。文中机侧变流器采用解耦的PI控制器进行控制[16],网侧变流器采用基于比例谐振的电压定向控制。其控制框图如图1所示,图中,is为发电机定子侧电流;usd、usq分别为定子电压的d轴、q轴分量;isd、isq分别为定子电流的d轴、q轴分量;ug、ig分别为电网侧电压、并网电流;ugα、ugβ分别为网侧变流器输出电压的α轴、β轴分量;igα、igβ分别为并网电流的α轴、β轴分量;eα、eβ分别为并网电压的α轴、β轴分量。
3 电网电压骤升下PMSG暂态过程分析
直驱型风力发电机组采用图1所示并网系统,定子端与电网完全隔离,电网故障不会对发电机产生直接影响,因此在分析HVRT控制策略时只需将网侧变流器的控制作为主要研究对象。
网侧变流器在同步旋转坐标系下的稳态方程为
式中,ugd、ugq分别为网侧变流器输出电压矢量的d、q轴分量;igd、igq分别为网侧变流器输出电流矢量的d、q轴分量;ed、eq分别为电网电压矢量的d、q轴分量;R为网侧变流器进线电阻;L为网侧变流器进线电感;ω为电网角频率。
根据电压空间矢量调制理论,在不产生过调制情况下,调制比m需满足
式中,udc为直流母线电压。
由图2及式(2)联合得出:若功率因数角ϕ一定,则其输出电压矢量ug的末端必然落在阻抗三角形的斜边上,且最大值ugmax受到直流侧电压Udc的严格限制。
图2
当采用电网电压定向控制时,即d轴与电网电动势矢量E重合时,电网电动势矢量q轴分量eq = 0,ed = E(E为电网相电压峰值),将式(1)代人式(2)且同时忽略电阻R可得
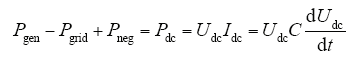
从图1知,PMSG主回路功率平衡方程式为
式中,Pgen为发电机输出有功功率;Pgrid为风机系统注入电网的有功功率;Pneg为从电网注入到风机系统的逆向能量;Pdc为变流器直流母线功率;Udc为直流侧电压;Idc为直流侧电流;Cdc为直流侧稳压电容。
由式(3)可知,当电网电压升高时,直流母线电压也将随之升高。由式(4)可知,当电网电压骤升时,电网侧功率无法正常送出,功率由电网侧流入变流器,导致直流母线电压升高,直接威胁变流器的正常运行。因此为保证电网电压骤升期间风力发电机组的正常运行,需采取有效的高电压穿越控制策略。
4 基于比例谐振的永磁同步电机高电压穿越控制
4.1 比例谐振控制器
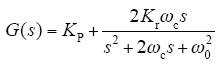
比例谐振(Proportional Resonant,PR)控制器,是由比例环节和广义积分(Generalized Integral,GI)环节组成,其传递函数为
式中,ω0为谐振频率;Kp、Kr分别为比例常数和积分时间常数。当给定交流信号的角频率为ω0时,由上式可知,此时的幅值GPR变得无穷大,即可实现交流信号的无静差跟踪。
在实际系统中,由于受模拟系统元器件参数精度和数字系统精度的限制,PR控制器不易实现,因此文中采用准PR控制器,其传递函数为[17]
Kr只影响控制器的增益,而不影响控制器的带宽。控制器的增益和Kr成正比。Kp影响系统的带宽与稳定性,随着增益值增加,系统的带宽、稳定裕度先增大再减小,因此需要选取最优增益系数以实现系统稳定域量最大。
综上,准控制器的设计步骤如下:①根据需要选择控制器的带宽ωc。②根据控制器需要的增益选择Kr。③根据最优增益系数选择Kp。
在网侧变流器的控制中,将旋转坐标系下的有功电流和无功电流转换到静止坐标系下,利用准PR控制器对其进行调节。同时对并网逆变器准PR控制系统进行设计,以实现风电机组的高电压穿越。
4.2 网侧变流器无功控制
电网电压骤升期间风力发电机组的无功输出主要取决于电网电压骤升幅度,具体逻辑关系可参考德国E.ON公司的HVRT并网要求:并网点电压骤升至1.1倍标称值及以上时,机组需按电网电压每升高1%,至少提供2%额定无功电流的原则优先对故障电网进行补偿,即
式中,i*gq为无功电流;Uref为实测电网电压有效值;iN为额定电流。
同时,为避免网侧变流器过电流,要求有功电流的幅值i*gd需满足
式中,imax为网侧变流器允许的最大值。
网侧变流器在同步变流器下的动态方程为
式中,ugd、ugq分别为网侧变流器输出电压的d、q轴分量;igd、igq分别为网侧变流器输出电流的d、q轴分量。网侧变流器的控制框图如图3所示,将i*gq1与i*gq2作为selector1的输入;将i*gd1和i*gd2作为selector2的输入信号。
图3
电网电压正常情况下,电网电压标幺值不超过1.1,则无功电流参考值选定i*gq1,给定为0,同时有功电流i*gd1<i*gd2时,则有功电流参考值选定i*gd1。
当电网电压标幺值超过1.1时,无功电流参考值选为i*gq2,此时,有功电流i*gd1>i*gd2时,有功电流参考值选定为i*gd2。与此同时,实时监测直流母线电压值,在直流母线电压超过限值之后将能量储存在超级电容中,保证风力发电机组的正常运行。
4.3 基于比例谐振的控制系统
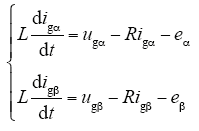
假定三相电网电压平衡,三相并网逆变器输出电流在静止αβ坐标系下的动态方程为
网侧变流器的控制系统如图4所示。
图4
5 仿真分析
5.1 系统参数和仿真工况
根据澳大利亚并网导则,分析在两种不同工况下HVRT效果。
工况1:电网电压在0.5s时骤升至1.3pu,持续60ms至0.56s,恢复至正常电压;
工况2:电网电压在0.5s时骤升至1.2pu,持续400ms至0.9s,恢复至正常电压。
5.2 HVRT仿真分析
图5
图6
图7
图7
变流器有功功率和无功功率波形
Fig.7
Active power and reactive power waveform of the converter
图8
图9
图10
图11
图11
变流器有功功率和无功功率波形
Fig.11
Active power and reactive power waveform of the converter
图12
仿真结果表明,在电网电压骤升期间,改变网侧变流器控制模式,结合超级电容储能电路储存直流侧积累的多余能量,可以避免直流母线过电压,保证风力发电机组正常运行,提高风力发电机组高电压穿越能力。
6 结论
本文主要研究了高电压故障期间永磁同步风电机组网侧变流器的控制策略,对网侧变流器PI控制系统及PR控制系统分别进行了分析。详细分析了网侧变流器故障前后的不同控制方法,利用模式选择器进行有功电流及无功电流的参考值的设定。当直流母线电压超出限值时,该控制策略利用超级电容能够维持直流母线电压的稳定。仿真结果也表明,本文所提出的控制策略能够实现高电压穿越,为未来直驱式风力发电的并网研究提供了一定的理论价值。
参考文献
直驱变流器高压穿越控制策略研究
[J].
Study on high-voltage ride through control strategy of direct drive converter
[J].
基于动态电压调节器的风电机组低电压穿越策略
[J].
Low voltage ride through strategy for wind turbine systems using dynamic voltage restorers
[J].
Improved fault ride through capability in DFIG based wind turbines using dynamic voltage restorer with combined feed-forward and feed-back control
[C].
FRT capability of a DFIG in isolated grids with dynamic voltage restorer and energy
[C].
含STATCOM的双馈电机风电场无功电压协调控制策略
[J].
Research on coordination control strategy of DFIG wind farm with crowbar circuit
[J].
基于STATCOM风电机组高电压穿越技术
[J].
High voltage ride-through technology of wind generators based on STATCOM
[J].
新能源发电系统并网逆变器的高电压穿越控制策略
[J].
High voltage ride-through control strategy of grid-connected inverter for renewable energy systems
[J].
基于双模控制的永磁直驱型风力发电机组高电压穿越控制策略的研究
[J].
The research on control strategy of high voltage ride through for PMSG based on dual-modes control
[J].
永磁直驱风电机组HVRT功能开发及检验
[J].
Development and test of HVRT function for PMSG
[J].
提升直驱型永磁风电机组故障穿越能力的改进控制策研究
[J].
A coordinated control strategy for fault ride-though capacity of direct-drive permanent magnet wind power generating units
[J].
双馈风力发电系统的比例谐振直接电压控制
[J].
Proportional-resonant direct voltage control of DFIG wind power generation system
[J].
比例积分与比例谐振对单项逆变器控制的研究与仿真
[J].
Proportional integral and proportional resonant on the research and simulation of single-phase inverter control[
[J].
双馈风力发电系统双PWM变换器比例谐振控制
[J].
Proportional-resonant control for dual PWM converter in doubly fed wind generation system
[J].
新型永磁风电系统的低电压穿越性能研究
[J].
LVRT ability of PMSG wind power system
[J].
一种基于固态变压器的光伏发电并网技术
[J].
Grid-connected photovoltaic power generation technology based on SST
[J].
一种新型的永磁同步风力发电机并网系统
[J].
A new permanent magnet synchronous wind-power generation grid-connected system
[J].
分布式发电系统中并网逆变器比例谐振控制
[J].
Proportional resonance controller of grid-connected inverter for distributed generation system
[J].
单相逆变器并网控制技术研究
[J].
Research on control strategy for single-phase grid-connected inverter
[J].
PWM变换器在矢量旋转坐标系下比例谐振控制策略及其鲁棒性设计
[J].
A novel proportional resonant control strategy and robust design in rotary vector frames for PWM converters
[J].
/
〈 |
|
〉 |
