输电线路高效更换碳纤维导线的施工方法
1.
2.
Method of Constructing High-Efficiency Replacement of ACCC Wires for Transmission Line
1.
2.
收稿日期: 2018-09-27 网络出版日期: 2018-12-31
Received: 2018-09-27 Online: 2018-12-31
作者简介 About authors
薛栋良 男 1985年生,工程师,主要研究方向为架空输电线路工程、输电线路巡检机器人。
徐荣金 男 1963年生,工程师,主要从事输电线路工程施工管理工作。
新型碳纤维导线因其载流量大、耐高温等诸多优点,可以在不更换或少量更换杆塔的前提下,有效地达到线路增容的目的,具有很高的经济效益。在500kV江晋/江陵线更换碳纤维导线施工中,使用牵张一体机作为主牵引设备,利用旧导线直接牵引碳纤维导线展放,该方案有效地提高了换线施工效率,比常规施工方案缩短1/3工期。本文从工器具选择和导线连接等方面分析总结了该方案施工控制的关键点,并对比传统施工方案分析其经济效益和社会效益,以便推广应用。
关键词:
Due to the large capacity and high-temperature resistance, the aluminum conductor composite core (ACCC) wires can effectively achieve the purpose of increasing the line capacity without changing or replacing a small rate tower. This can also result in high economic benefits. In the construction of a replacement of ACCC wires in 500 kV Jiangjin/Jiangling line, stretch one machine is used to direct the extension of the ACCC wires. This plan has effectively improved the capability of wire replacement construction. It has also shortened the 1/3 duration as compared to the conventional construction plan. In this paper the key points of the construction control are analyzed and summarized from the aspects of selecting the engineering equipment and wire connection, and its economic and social benefits are compared with traditional construction plan so as to promote its application.
Keywords:
本文引用格式
薛栋良, 徐荣金.
Xue Dongliang.
1 引言
碳纤维复合导线(Aluminum Conductor Composite Core,ACCC)是一种全新结构的节能型增容导线,与常规导线相比,具有质量轻、抗拉强度大、耐热性能好、热膨胀系数小、高温弧垂小、导电率高、线损低、载流量大、耐腐蚀性能好及不易覆冰等一系列优点,综合解决了架空输电领域存在的各项技术瓶颈,代表了未来架空导线的技术发展趋势,有助于构造安全、环保、高效节约型输电网络,可广泛用于旧线路和电站母线增容改造、新线路建设,并可用于大跨越、大落差、重冰区、高污染等特殊气候和地理场合的线路。ACCC应用在新建线路中,可提高线路的单位输送容量,确保电网的“坚强性”,长远经济性更好。
国内架空输电线路设计的钢心铝绞线等常规导线,其运行最高温度约为70℃,对应的载流量为607A;而碳纤维导线的长期运行最高允许温度可达150℃,此时载流量为1 185.8A,是前者的1.95倍。使用碳纤维导线的输电线路,在载流量一定的情况下,相当于投入一条线路即可获得两条线路的运行价值,且能减少新建线路一半的土地占用面积,节约相当可观的土地资源[1]。
因此碳纤维导线的广泛应用,可以有效地缓解目前用电量不断增加和线路通道日趋紧张的矛盾,是未来架空输电线路增容改造的有效手段。
2 施工总体方案
2.1 项目背景
本文背景为江苏地区500kV江晋5291/江陵5292线增容改造Ⅰ标段工程项目,该线路起自500kV江都变电站至500kV晋陵变电站,江晋5291线长度为29.066km,江陵5292线长度为31.661km,全线均为单回路架设。江晋5291线原导线型号为4×LGJ-400/50,江陵5292线原导线型号为4×LLBJ-400/35,均更换为4×JLRX/F2A-460/40-26型碳纤维导线。
2.2 施工方案优选
常规的架空输电线路换线施工流程为:施工准备;人力拆除、回收旧导线;悬挂放线滑车;人工展放初级导引绳;张力展放牵引钢丝绳;张力展放导线;紧挂线、附件安装;竣工撤场。
利用旧导线牵引新导线方案施工流程为:施工准备;悬挂放线滑车;拆除间隔棒、导线连接;旧导线牵引展放新导线;紧挂线、附件安装;竣工撤场。
对比以上两种方案,采用旧导线牵引新导线的施工方案施工流程简单,周期短,具有明显优势。而且人工拆除旧导线落线需要线路下方重要交叉跨越配合,涉及线路通道内有多条35kV以上带电线路、铁路、高速公路、省道、通航河流,额外增加了停电、封路、封航等工作。
3 主要施工参数校验
3.1 主牵张设备选择校验
本方案的施工工法与传统换线施工工法相比,其最大的不同在于在牵引场中使用了新式放线设备——牵张一体机。
常规的张力放线施工中,通常牵引场布置一台主牵引机。由于受到牵引机线轮尺寸的限制,导线无法进入牵引机线轮,这也决定了常规的施工工法无法使用旧导线直接牵引新导线,必须先拆除旧导线,然后人力或飞行器展放导引绳,再过渡到牵引绳,牵引导线展放[2]。
牵张一体机其最大的优势在于作为牵引机使用时导线可以直接穿过牵张一体机的线轮,可以将线路原有的旧导线作为牵引绳使用。旧导线穿过牵张一体机的线轮后,在其后方回收,所有的旧导线均在牵引场装车运出,节省了人工沿线拆除导线大量的小运和道路修整的费用。图1为SA-ZY-2×70型牵张一体机外观图。
图1
根据该工程导线展放最大控制张力、最大牵引力、导线参数进行校验。
主牵引机额定牵引力校验

式中,P为主牵引机的额定牵引力,kN;m为同时牵放子导线的根数;KP为选择主牵引机额定牵引力的系数,一般取值为0.2~0.3(平地取0.2);Tp为被牵放导线的保证计算拉断力,kN。
主张力机额定制动张力校验

牵张一体机、张力机轮径为

式中,D为牵张机的导线轮槽底直径,mm;d为被展放的导线直径,mm。
图2
图3
图4
3.2 导线连接工器具选择校验
采用旧导线牵引新导线的施工方式,导线连接共有三种方式:旧导线之间连接、旧导线与碳纤维导线之间连接和碳纤维导线之间连接。
使用旧导线作为牵引绳,首先需要在耐张塔将大小号侧的导线连接。根据本工程18.34kN的放线最大控制张力,安全系数取4.5,选择破断拉力为127kN的φ14圆股光面钢丝绳作为连接钢丝绳。
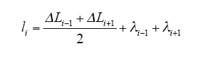
连接钢丝绳的长度取值是该导线连接的关键。连接钢丝绳的长度选择应满足导线对跨越物的安全距离,并尽可能减小耐张段内的导线张力,确保在连接钢丝绳与旧导线相连时不产生较大的弧垂变化和导线滑移[3]。其取值计算式为

式中,li为第i耐张杆塔需要接入的钢丝绳长度,m;ΔLi-1、ΔLi+1为第i耐张杆塔两侧耐张段线长变化量,m;λi-1、λi+1为第i耐张杆塔两侧绝缘子串的长度,m。
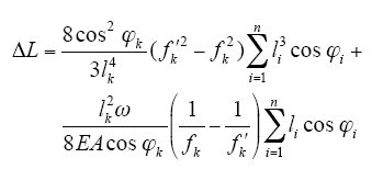
其中,在控制为k档的耐张段内,导线总长的变化量计算式为

式中,ΔL为耐张段内导线的线长变化量,m;fk为控制档内导线原有弧垂值,m;fk′为张力放线时控制档内导线弧垂值,m;ϕk为控制档的两悬挂点高差角;lk为控制档的档距,m;ω为导线的单位自重,N/m;E为导线的弹性系数,MPa;A为导线的截面积,mm2。
耐张塔处的旧导线连接时,利用原导线耐张线夹,锯下耐张线夹引流板并锉除棱角,两根耐张管之间用经过长度校验的两根φ14钢丝绳套和一支50kN抗弯连接器连接,如图5所示。
图5
旧导线与碳纤维导线连接时,旧导线一端利用原导线耐张线夹,锯下耐张线夹引流板并锉除棱角。碳纤维导线一端,因碳纤维导线外层软铝绞层和内层碳心伸缩性差别很大,牵放过程中受到张力容易产生芯棒内缩,因此导线端头必须安装芯棒夹头(芯卡)[4]。在距离碳纤维导线端头100mm和400mm处分别压接两个与导线匹配的钢箍,在距离导线端头约60mm处,整齐的剥开导线外层铝股,安装芯卡作为端头保护。芯卡由底板、钢箍、锥体三部分组成,先将底板套在芯棒上抵住外层铝股,然后将钢箍套在芯棒上,其中内径较小侧朝向底板,最后将两块锥体小头部分插入钢箍同时敲入[3,4,5]。安装完毕后在导线端头侧上方按常规方式套入牵引网套,由于碳纤维导线外表面光滑程度高于普通导线,该牵引网套长度通常大于普通牵引网套,施工时严禁以小代大使用。网套末端根据《电力建设安全工作规程 第2部分 电力线路》相关要求绑扎不少于20圈的铁丝固定[6],也可以采用套管压接固定牵引网套的方式,当使用压接固定方式时,应制作1组3件试件测试抗拉性能,并制作工艺标准件,制定压接制作工艺标准。展放完成后,已受压部分应当切除,因此在布线时应提前扣除各个压接段长度。
碳纤维导线之间采用上述相同的连接方式。旧导线与碳纤维导线之间或两根碳纤维导线之间采用旋转连接器连接,如图6所示。
图6
图7
4 施工关键要点
4.1 旧导线高空锚线
原线路旧导线在耐张塔连接时,需要首先在耐张塔大小号侧将导线锚住。如锚线耐张段内有重要跨越,则需做双锚措施,一处锚线自导线卡线点锚至铁塔挂线横担,另一处自导线另一卡线点经横担转向滑车锚至铁塔塔腿。导线上两处卡线点相聚约10m。导线锚线时,为了便于摘除耐张串,应做过牵引处理,过牵引量应不大于100mm。
导线锚线用锚绳应逐一编号,并做好使用记录。在放线施工前,所有锚线必须全部拆除,并逐一核对锚绳记录,避免发生遗留锚线造成安全事故。
4.2 导线连接头过滑车
旧导线之间的连接头在展放过程中,应对耐张管加装护套管,防止在过滑车时发生弯曲变形,出现导线滑移甚至脱线的事故。
新导线的连接头,由于使用了旋转连接器,不能直接通过滑车,防止断裂。在展放过程中,当连接头到达离滑车15m位置时,应让牵引机减速制动。在滑车口利用提线滑车组或链条葫芦,辅助旋转连接器穿过滑车,然后拆除提线点绑扎,牵引机起动继续牵引。
4.3 导线连接头过牵张一体机
旧导线连接头的耐张管经过牵张一体机的线轮时,受到弯矩的作用,有滑移脱线的风险,可采用机动绞磨辅助导线牵引,起到锚线保险的作用。在旧导线连接头接近牵张一体机时,应当停止牵引,使用一台300kN机动绞磨和一根100m长GJ-100型包胶钢绞线将导线锚线,同时起动牵张一体机和机动绞磨牵引导线,直至导线连接头平稳穿过牵张一体机线轮。此时,再次停止牵张一体机,拆除包胶钢绞线的锚线。
5 效益对比分析
表1 工期对比
Tab.1
| 工序 | 本方案人工 | 一般方案人工 |
|---|---|---|
| 拆除旧金具 | 8 | 3 |
| 拆旧线 | – | 30 |
| 挂滑车 | 15 | 15 |
| 导地线连接 | 5 | – |
| 初级导引绳展放 | – | 20 |
| 牵引绳展放 | – | 15 |
| 导地线展放 | 30 | 20 |
| 紧挂线 | 20 | 20 |
| 附件安装 | 12 | 12 |
| 合计 | 90 | 135 |
本施工方案与一般施工方案主要施工机具投入对比见表2。
表2 工器具投入对比
Tab.2
| 施工机械 | 本方案台班 | 一般方案台班 |
|---|---|---|
| 大牵引机 | – | 2台×40天 |
| 大张力机 | 2台×50天 | 2台×40天 |
| 小牵引机 | – | 1台×30天 |
| 小张力机 | 1台×50天 | 1台×50天 |
| 牵张一体机 | 4台×50天 | – |
| 吊车 | 2台×60天 | 2台×70天 |
| 机动绞磨 | 14台×85天 | 8台×110天 |
| 放线滑车 | 90只×80天 | 90只×105天 |
| 牵引钢丝绳 | – | 30km×50天 |
| 导引钢丝绳 | 10km×70天 | 90km×60天 |
| 迪尼玛绳 | 10km×70天 | 40km×50天 |
根据各种工器具市场租赁台班价格核算,本方案工器具投入成本为124.287万元,一般施工方案工器具投入成本为185.759万元。
综上,本方案架线投入成本为189.087万元,一般施工方案架线投入主要成本为282.959万元。另外,本方案在拆旧工作中可以大量减少越线架搭设、小运道路修复等方面的投入。因此,本方案在经济效益上有明显优势。
从工期方面,本方案比一般施工方案节省工期45天,对500kV线路停电改造较为有利。同时,本方案线路通道内重要交叉跨越不需要在拆旧时配合封停;不需要人工展放导引绳,对通道内环境破坏较少,社会效益优势明显。
6 结束语
利用牵张一体机,采用旧导线替代牵引绳展放碳纤维导线的换线施工方法,可以大大缩短停电施工时间,不仅有较好的经济效益,而且环境效益和社会效益显著,该施工方法可推广到电网建设中更换碳纤维导线的增容改造工程上,同时对线路抢修也有一定的借鉴意义。
但同时,由于旧导线经过长时间运行,其自身的机械特性具有不确定的因素,有一定的安全隐患。如何有效地消除该安全隐患,仍需要进一步研究完善。
参考文献
碳纤维导线在输电线路导线增容和防冰中的应用
[J].
Application of carbon fiber conductor in capacity augmentation and anti-icing of transmission lines
[J].
“二牵一”张力更换碳纤维导线关键施工技术研究
[J].
Research on the key construction technology for “two pulls one” tension change carbon fiber line
[J].
带张力更换导线的施工方法应用探讨
[J].以一条220 kV线路增容改造施工为例,介绍了一种将多个耐张段的普通钢锌铝绞线在耐张塔上用特定长度的钢丝绳套连接成一个大耐张段,利用张力机带张力回牵旧导线,再牵引耐热铝合金导线进行换线的施工方法,有效解决了现场施工场地狭小、线路下方交跨复杂、经济作物多、政策处理难等施工难点,取得了良好的经济效益和社会效益,可为同类导地线更换改造施工提供参考.
Discussion on application of construction method for conductor replacement under tension
[J].以一条220 kV线路增容改造施工为例,介绍了一种将多个耐张段的普通钢锌铝绞线在耐张塔上用特定长度的钢丝绳套连接成一个大耐张段,利用张力机带张力回牵旧导线,再牵引耐热铝合金导线进行换线的施工方法,有效解决了现场施工场地狭小、线路下方交跨复杂、经济作物多、政策处理难等施工难点,取得了良好的经济效益和社会效益,可为同类导地线更换改造施工提供参考.
碳纤维复合芯导线的施工工艺
[J].碳纤维复合芯导线是一种节能型增容导线,具有节能降耗、重量轻等优点。碳纤维复合芯导线由于其自身结构特点,在施工过程中容易出现导线碳纤维复合芯棒内缩、导线铝股松弛、外层铝股损伤等现象。在220 kV 洛燕线路和洛振线路由常规钢芯铝绞线更换为碳纤维复合芯导线改造工程中,研制了专用卡线器,并采取了科学、合理的碳纤维复合芯导线的施工工艺,避免了上述不良现象发生,保证了工程质量及施工安全。
Construction technology of aluminum conductor composite core wire
[J].碳纤维复合芯导线是一种节能型增容导线,具有节能降耗、重量轻等优点。碳纤维复合芯导线由于其自身结构特点,在施工过程中容易出现导线碳纤维复合芯棒内缩、导线铝股松弛、外层铝股损伤等现象。在220 kV 洛燕线路和洛振线路由常规钢芯铝绞线更换为碳纤维复合芯导线改造工程中,研制了专用卡线器,并采取了科学、合理的碳纤维复合芯导线的施工工艺,避免了上述不良现象发生,保证了工程质量及施工安全。
碳纤维导线架线施工研究
[J].
Study on construction of carbon-fiber line
[J].
/
| 〈 |
|
〉 |