基于虚拟同步机的光伏并网系统控制研究
1.
2.
3.
Research on Grid-Connected Photovoltaic System Control Based on Virtual Synchronous Generator
1.
2.
3.
收稿日期: 2018-06-20 网络出版日期: 2018-12-31
| 基金资助: |
|
Received: 2018-06-20 Online: 2018-12-31
| Fund supported: |
|
作者简介 About authors
包广清 女 1972年生,博士,博士生导师,教授,研究方向为特种电机设计、新能源并网稳定性等。
谭宏涛 男 1994年生,硕士研究生,研究方向为大规模风光集群并网稳定性分析。
由于光伏新能源多通过电力电子接口接入电网,使得原先由同步发电机占主导地位的电力系统转变为高频电力电子化的电力系统。针对大规模光伏电源接入电网导致电力系统原有的转动惯量变得更小的问题,以双极式三相并网系统为研究对象,采用虚拟同步发电机控制策略,并在Matlab/Simulink中进行仿真验证。仿真结果表明:采用虚拟同步机控制策略的光伏并网系统能模拟出传统同步机惯性、调频特性。
关键词:
As the new photovoltaic energy access to the power grid through the power electronic interface, the power system, which was originally dominated by the synchronous generator, is transformed into a high frequency power electronic power system. In view of the problem that large scale photovoltaic power grid connected to the power grid leads to the smaller inertia moment of power system, the control strategy of the virtual synchronous generator is adopted in the bipolar three-phase grid system. The simulation results in Matlab/Simulink show that the PV grid system with the control strategy of virtual synchronizer can simulate the inertia and frequency modulation characteristics of the traditional synchronizer.
Keywords:
本文引用格式
包广清, 谭宏涛, 丁坤, 汪宁渤, 高鹏飞.
Bao Guangqing.
1 引言
针对上述并网方法存在的不足,本文构建了在直流侧配备储能系统的光伏并网控制系统,采用虚拟同步机控制策略,深入分析了虚拟同步机控制策略及其实现过程,通过使用虚拟同步机控制策略,使得光伏系统向电网输送平滑功率,减小新能源并入电网时对电网造成的冲击,同时从电网侧向发电系统侧看,光伏并网系统等同于一个同步发电机,具有同步发电机的调频特性,可以根据系统负荷波动,调节自身的输出功率,极大程度上提高了系统的稳定性,利于电网对光伏清洁能源的消纳。最后通过仿真验证了采用虚拟同步机可以实现上述良好性能。
2 光伏虚拟同步机系统结构
虚拟同步机硬件结构由主电路和控制电路组成,如图1所示。本文对虚拟同步机的设计研究基于直流侧光–储系统供能,再由并网逆变器实现从直流侧到交流侧的电能转换。其拓扑结构由主电路和控制电路组成,逆变器由光伏电源供电,由储能电池进行稳压,逆变电路由三相全桥电路构成。
图1
3 虚拟同步机控制策略分析


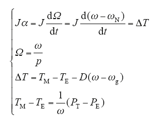
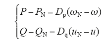
式中,α为机械角加速度;J为转动惯量;Ω为转子机械角速度;TM、TE分别为机械转矩和电磁转矩,对应PT、PE分别为机械功率和电磁功率;ΔT为作用在转子轴上的不平衡转矩;ω、ωg和ωN分别为实际电角速度、电网电角速度和额定电角速度;D为阻尼系数;p为极对数,为简化模型取p = 1;PN、QN、P和Q分别为额定有功功率、额定无功功率、输入有功功率和输出无功功率;Dp、Dq分别为P-f下垂系数和Q-u下垂系数。
式(2)还可化解为

其中,ϕ为发电机调差系数,ϕ = 1/2πDp。
在虚拟同步机控制策略中,P与PT具有相同的物理意义,即P = PT;并在电网频率偏移量较小的情况下,可近似取ωg = ωN,结合式(1)、式(2)可得

其中,Dp′ = (Dp + Dω)/ω。
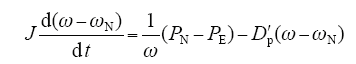
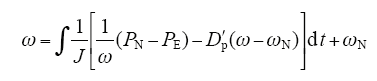
对式(4)两边同时进行微分,得

由式(4)可得虚拟同步机的P-f控制环,其控制框图如图2所示。最后输出电压相位角θ,用于电压矢量合成和内环坐标变换。
图2
由上述计算式建立的虚拟同步机本体模型原理如图3所示。其中,QVSG为虚拟同步机输出的无功功率。在并网条件下,由电网提供电压支撑能力,此时取QN = 0,使系统工作在单位功率因数下,光伏电源最大限度向电网输送有功功率。
图3
4 系统仿真分析
在Matlab/Simulink上搭建系统的仿真模型,对上述设计方案进行验证,主要仿真参数见下表。
表 仿真系统参数
Tab. Parameters of simuliation
| 主要参数 | 数 值 |
|---|---|
| 额定有功功率/kW | 20 |
| 额定无功功率/var | 0 |
| 直流电压/V | 800 |
| 额定电压/V | 380 |
| 额定频率/Hz | 50 |
| 开关频率/Hz | 10 |
| 滤波电感及电容/mH,μF | 3,10 |
| 电网电感/mH | 2 |
| 发电机调差系数 | 0.000 2 |
系统在初始状态下带负荷20kW在离网状态下运行,为了验证虚拟同步机的动态性能,在0.6s时突增负荷10kW,在1s时突减负荷20kW,在1.4s时突增负荷20kW,虚拟同步机输出电压、电流波形如图4所示。虚拟同步机输出电压能保持恒定,当负荷突变时,电流能够快速响应。
图4
图5
图6
图7
图8
图9
5 结论
针对传统电网并网方法的不足,采用虚拟同步机的并网控制策略,并对该方法进行仿真分析。首先从同步发电机的数学模型入手,进而与同步发电机下垂方程相结合建立虚拟同步机本体模型,深入分析了虚拟同步机控制策略的实现过程,并在Matlab/Simulink中搭建模型进行仿真实验分析。实验结果表明,采用虚拟同步机控制策略的光伏系统能够主动参与电网频率的调节,体现出虚拟同步机的外特性,即调频、惯性大的特点,在目前新能源渗透率越来越高的发展趋势中具有一定的实用性。
参考文献
可再生能源分散接入用先进并网逆变器研究综述
[J].并网逆变器是分散式可再生能源接入配电网的重要接口,随着分布式可再生能源渗透率的不断提高,并网逆变器在传统配电网中的地位越发突出。为了高效完成可再生能源分散式并网,并有效降低并网逆变器对电网的冲击,一些在装置上、结构上和功能上更加先进的并网逆变器成为了迫切的需求。针对现有的一些先进并网逆变器进行比较、分析和研究,从装置级、功能级和控制级的角度对现有先进并网逆变器进行综述。给出一些在结构上能更加灵活地将可再生能源分散接入配电网的硬件电路。研究一些适用于可再生能源分散接入的,使并网逆变器能虚拟同步发电机完成自治运行、电能质量治理、系统阻抗检测、网络阻抗重塑(?)控制等辅助控制功能。同时还对并网逆变器的并网同步算法和电流跟踪控制策略进行了探讨。最后,提出一个适合于可再生能源分散并网的先进并网逆变器框架。
Review of advanced grid-connected inverters for renewable energy decentralized access
[J].并网逆变器是分散式可再生能源接入配电网的重要接口,随着分布式可再生能源渗透率的不断提高,并网逆变器在传统配电网中的地位越发突出。为了高效完成可再生能源分散式并网,并有效降低并网逆变器对电网的冲击,一些在装置上、结构上和功能上更加先进的并网逆变器成为了迫切的需求。针对现有的一些先进并网逆变器进行比较、分析和研究,从装置级、功能级和控制级的角度对现有先进并网逆变器进行综述。给出一些在结构上能更加灵活地将可再生能源分散接入配电网的硬件电路。研究一些适用于可再生能源分散接入的,使并网逆变器能虚拟同步发电机完成自治运行、电能质量治理、系统阻抗检测、网络阻抗重塑(?)控制等辅助控制功能。同时还对并网逆变器的并网同步算法和电流跟踪控制策略进行了探讨。最后,提出一个适合于可再生能源分散并网的先进并网逆变器框架。
虚拟同步发电机技术展望
[J].
Prospect of virtual synchronous generator technology
[J].
Synchronverters: inverters that mimic synchronverters generators
[J].
虚拟同步机与自主电力系统
[J].
Virtual synchronous machine and autonomous power system
[J].
虚拟同步机技术在电力系统中的应用与挑战
[J].
Application of virtual synchronous machine technology in power system
[J].
Ming WenLong. Grid-friendly wind power systems based on the synchronverter technology
[J].
/
| 〈 |
|
〉 |