考虑DG、DS和EV协同运行的配电网无功优化方法
1.
2.
Reactive Power Optimization Method for Distribution Network Considering DG, DS and EV Cooperative Operation
1.
2.
收稿日期: 2016-12-18 网络出版日期: 2017-08-25
| 基金资助: |
|
Received: 2016-12-18 Online: 2017-08-25
作者简介 About authors
陈嘉威 男 1988年生,工程师,从事电网调度运行方面的工作。
吴杰康 男 1965年生,博士,教授,研究方向为电力系统运行与控制。
综合考虑分布式电源、电动汽车充放电和分布式储能运行的协调配合,并与不同类型无功补偿装置输出无功功率的协同控制,以配电网有功网损及电压波动量最小化为目标函数,建立配电网无功优化的多目标优化模型。考虑风速的概率特性、日照强度的不确定性、荷电状态和充放电特性以及运行效率,构建分布式风电机组出力、光伏发电系统出力、电动汽车充放电功率以及储能装置充放电功率的随机模型。选择DG、DS和EV等无功功率作为控制变量,采用遗传算法对优化问题进行求解。仿真计算表明了本文构建的无功优化模型的适应性和所提算法的可行性和有效性。
关键词:
A reactive power optimization model is presented considering operation coordination of distributed generation, electric vehicle charging and distributed storage systems, and coordinative control of DG, DS, EV and other different types of reactive power compensation devices in power distribution network. In the proposed model, power loss and voltage fluctuation minimization is taken as the objective function. Considering the probabilistic characteristics of wind speed, the uncertainty of sunshine intensity, charge state and charge discharge characteristics,and the operation efficiency, a stochastic probabilistic model is constructed for power output of distributed wind turbine power output of PV system, charging and discharging power of electric vehicle, and charging and discharging power of energy storage device. The reactive power of DG, DS and EV is chosen as control variable, and genetic algorithm is used to solve the optimization problem. The simulation results show the adaptability of the proposed reactive power optimization model, and the feasibility and effectiveness of the proposed algorithm.
Keywords:
本文引用格式
陈嘉威, 吴杰康, 郭清元, 赵守安, 徐宏海.
Chen Jiawei.
1 引言
分布式电源、分布式储能装置(Distribution Storage,DS)和电动汽车充电站的大规模接入会对配电网运行造成很大的影响。目前,有文献对DG和EV接入配电网后如何协调运行进行了深入的研究。文献[3]介绍了一种以降损为目标的电动汽车有序充电优化方案。文献[4]提出一种基于分层控制的有序充电控制架构,在能够与传统电网控制架构融合的基础上,实现配电网范围内电动汽车和分布式可再生电源的协同有序控制。文献[5,6]建立了电动汽车和分布式发电协调控制的多目标优化模型。该模型以等效负荷率最大、节点电压越限和损耗率最小、入网服务成本和车主充电成本最低为目标,动态调节电动汽车充放电功率,能很好地匹配负荷和分布式发电的功率波动,降低分布式发电间歇性对电网的影响。文献[7,8,9,10]针对风电、光伏发电和电动汽车负荷的协同优化问题进行了研究,提出了优化模型与方法。文献[11]建立了路径选择模型与交通满意度评价模型,并研究了分布式电源的时序特性与互补性。
2 DG出力的随机概率模型
2.1 分布式风电机组出力的随机概率模型
风速可由Weibull分布来描述[5],其分布函数可以表示为

式中,v为风速;v0、k、c分别为Weibull分布曲线的位置参数、形状参数和尺度参数。
考虑风速v的概率特性,得到风电机组输出功率的概率密度函数为

其中

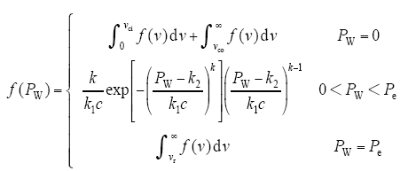
式中,Pe为风电机组额定功率;vci为切入风速;vco为切出风速;vr为额定风速。
2.2 光伏发电系统出力的随机概率模型
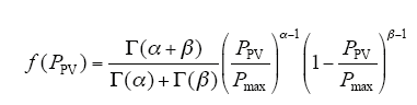
一段时间内太阳光强度可近似视为Beta分布,太阳能电池输出功率的概率密度函数也呈Beta分布,其密度函数[5]为

式中,PPV为太阳能发电系统输出的有功功率;Pmax为太阳能电池方阵最大输出有功功率;α、β为Beta形式参数。
3 EV和DS充放电特性
3.1 电动汽车充放电特性
3.1.1 电动汽车荷电状态
电动汽车荷电状态与用户的行驶里程具有很大的关系,根据文献[19]可以得到电动汽车行驶里程与电池荷电状态SOCEVi之间的关系为

式中,SOCEVi,q、SOCEVi,h为电动汽车使用前后的荷电状态;L为电动汽车一次行驶的实际里程;M为该电动汽车充满电后可以持续行驶的最大里程。
3.1.2 电动汽车充放电特性
由于技术限制,电动汽车的充放电功率不可能维持恒定运行,假设电动汽车在进行充放电时均以恒定功率进行,则电动汽车的充放电特性[19]可表示为


式中,SOCEVi0、SOCEVic和SOCEVidc分别为电动汽车的初始荷电状态、充电后的荷电状态和放电后的荷电状态;ΔSOCEV为电动汽车荷电状态的变化量;PEVic、PEVidc分别为电动汽车的充电功率和放电功率;Tc、Tdc为电动汽车的充电时间和放电时间;EEV为电动汽车满电时的电量。
3.1.3 电动汽车充放电功率
为了保证电动汽车电池的使用寿命,要保证SOCEVi0满足一定的约束要求,即

当SOCEVi0<SOCEVmin时,电动汽车只能进行充电;当SOCEVmax<SOCEVi0时,电动汽车只能进行放电。
假设系统中有m部电动汽车,在某时间段接入配电网的电动汽车数目NEV服从正态分布[20],即

式中,m为电动汽车数量;t为时段;f (t)为电动汽车充电的概率分布函数。
单个时间段内实际接入进行充电的电动汽车数目可由泊松分布表示为

式中,NEV = 0,1,…;λEV为式(7)求得的某个时间段接入电网充电的电动汽车台数期望值;NEV为可能接入配电网的电动汽车的数目。
根据文献[19],可以得到某个时间段第i(i< NEV)辆电动汽车的最大充放电功率为

式中,PEVicmax、PEVidcmax分别为第i辆电动汽车在某个时间段最大充、放电功率;PEVicN、PEVidcN分别为第i辆电动汽车的额定充电功率和额定放电功率。
某时间段电动汽车最大充放电功率为

式中,NEV为电动汽车的数量。
3.2 储能装置运行特性
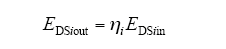
(1)效率η。单个储能装置容量为EDSi,即为该储能装置的最大存储电量,若此时储能装置的电量为EDSiin,则该储能装置可以输出的电量[21]EDSiout为

储能装置存在技术和工艺上的差距,导致ηi取值不同[21]。
(2)最大充放电功率。储能装置受安全和技术限制,单个储能装置的最大充电功率PDSicmax和最大放电功率PDSidcmax在储能装置的使用过程中不应超过装置本身的限制[21]。
(3)荷电状态SOCDSi。SOCDSi表示单个储能装置当前的容量占储能装置设计的最大存储电量,即

因为储能装置的过充或过放对储能装置的使用寿命具有一定影响,因此荷电状态SOCDSi应满足[22]

与储能装置的运行效率类似,受储能装置的自身因素影响,不同装置SOCDSi的上限与下限存在差异性。
4 多目标无功优化模型
DG接入配电网会引起局部区域电压升高。DS和EV作为两种最典型的可控型负荷,当分布式电源输出功率发生不确定性变化时,通过控制DS和EV的有功输入或有功输出等变量来减小电网电压波动,并实现全网功率损耗的大幅减少,这是一个分布式新能源配电网无功优化问题,是一个多变量、多约束复杂的规划问题,可以构建多目标无功优化模型为

式中,f为目标函数;fi为子目标函数,i = 1,2,…,n;x为包含控制变量的N维列向量,x∈RN,x = (PDS,PEV,QC,QW,QPV);PDS为储能装置输出或输入有功功率;PEV为电动汽车输出或输入有功功率;QW为可控的光伏发电装置无功功率;QC为可控的电容器投切无功功率;QW为可控的风电机组无功功率;g(x)为潮流约束方程;xmin、xmax为控制变量的下限值和上限值;ymin、ymax为系统其他变量约束的下限值和上限值。
4.1 目标函数
本文以有功损耗和电压偏移量为目标函数,分别为


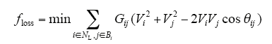
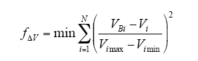
式中,floss、fΔV分别为网损和电压偏差;NL为总母线;Vi、Vj分别为节点i和j处的电压幅值;Gij为节点i、j的互电导;θij为节点i、j的相位差;N为系统节点总数;Bi为节点i的邻近节点集合;Vimax、Vimin、VBi分别为节点电压的上限值、下限值和节点电压的基准值。
多目标函数为

式中,λ1、λ2为权重系数,λ1 + λ2 = 1,0≤λ1≤1,0≤λ1≤1。
4.2 约束条件函数
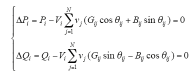
(1)潮流平衡方程。分布式发电输出功率具有不确定性,在不同控制要求下分布式储能和电动汽车充放电功率也具有不确定性,在任何状态下需要满足等潮流方程

式中,Pi、Qi分别为节点i注入的有功功率和无功功率,即为节点有功电源注入功率、有功负荷(负的)注入功率等之和。
(2)控制变量不等式约束条件。本文构建的无功优化问题涉及分布式电源输出无功功率、无功补偿装置输出的无功功率、分布式储能装置充放电功率、电动汽车充放电功率等控制变量。上述控制变量要满足不等式约束条件






式中,QDGi、QCi、PDSic、PDSidc、PEVic、PEVidc分别为分布式电源输出的无功功率、无功补偿装置输出的无功功率、储能装置充电的有功功率、储能装置放电的有功功率、电动汽车充电的有功功率、电动汽车放电的有功功率;下标“min”和“max”分别表示对应参数的下限值和上限值。
(3)状态变量约束条件。优化问题中状态变量为节点电压,其应小于允许的最大值、大于允许的最小值,即

5 遗传算法
将遗传算法应用于电力系统优化问题[25]时,可以理解为:电力系统下的潮流解,受到多种约束条件的制约,通过目标函数评价其优劣,评价值低的被抛弃,只有评价值高的有机会将其特征迭代至下一轮解,最后趋于优化。
5.1 编码
由于遗传算法具有适合混合整数优化的特点,无功优化问题与染色体之间的编码非常方便。每个染色体可以表示一个优化方案。
本文采用整数编码方式,这里取并联补偿电容器、电动汽车、储能装置、分布式电源等输出无功功率作为控制变量,并全部用整数表示。因此,控制变量的染色体可表示为

式中,QC、QDS、QEV、QG分别为电容器、储能装置、电动汽车分布式电源的无功输出。
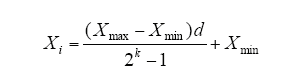
QCi、QDS、EVi、QEV初始值为

式中,d为随机数;k为单个参数字串长度[26]。
5.2 适应度函数
适应度函数作为整个遗传算法的基础,遗传算法的性能会因合理的适应度函数而获得很大的提升。对适应度进行拉伸改进,变换公式为

式中,F为目标函数值[26]。
5.3 求解步骤
根据以上描述,基于遗传算法的电力系统无功优化解算步骤如下:
(1)输入网络的原始数据、网络的等式约束条件和不等式约束条件。
(2)将变量写成码的形式,编码产生初始染色体域。
(3)计算每个染色体的适应函数值。
(4)用繁殖、交叉、变异三种遗传操作在前代染色体域的基础上产生新一代染色体域。
(5)对进行遗传操作后的第Ⅰ代染色体解码后计算其适应函数值。
(6)若遗传代数大于最先设定的最大遗传代数,则结束循环;反之,返回(4)。
(7)进行约束条件的校验,包括状态变量的等式和不等式约束条件、控制变量的取值范围约束条件。如果控制变量值和状态变量值不能满足约束条件要求,则返回(4)。
(8)提取无功优化结果。当基于遗传算法的电力系统无功优化问题收敛时获得无功优化方案,染色体中适应度最好的即为最优解[27]。
6 实例计算与分析
图1
假设节点31装有并联电容,0.15×4 000kvar;在节点3接入额定容量为850kW的双馈异步发电机组;节点26接入光伏发电系统,额定容量为500kW;蓄电池最大持续放电功率为80kW,额定容量分别为200kW·h;单台电动汽车最大持续充放电功率为3kW,假设节点3和节点26处的电动汽车保有量分别为500台和400台。
计算中相关参数设置为:遗传算法群体规模M = 40,终止代数T = 100。遗传算法的交叉概率pc = 0.8,变异概率pm = 0.1[30]。由于本文采用整数编码的方式,故染色体总长即为控制变量个数7。
通过遗传算法进行优化后,有功网损为86kW,与优化前网损值141kW相比,网损下降了39%。各节点电压与参考电压偏差幅度变小,如图2所示。图中,方案1为未接入DG时的节点电压波动情况;方案2为接入DG但未进行优化时的电压波动情况;方案3为接入DG并进行优化时的电压波动情况。优化前节点电压最小值为0.978,优化后节点电压最低为0.990 6。上述优化结果表明优化后节点电压波动明显减小,电压稳定性增强。优化后各控制变量最优值见下表。
图2
表 优化后各控制变量最优值
Tab
| 控制变量 | 最优值 |
|---|---|
| 无功补偿/kvar | 309.7 |
| 储能放电(节点3)/kW | 26 |
| 储能放电(节点26)/kW | 29 |
| 电动汽车放电(节点3)/kW | 38.7 |
| 电动汽车放电(节点26)/kW | 48.4 |
| DG无功输出(节点3)/kvar | 154.8 |
| DG无功输出(节点26)/kvar | 206.5 |
7 结束语
分布式发电、分布式储能和电动汽车充放电的协同运行是目前研究的热点。分布式发电、分布式储能和电动汽车充放电站点的大规模接入会对传统的配电网供电能力、电压质量、运行经济性和可靠性造成很大的影响。电动汽车动力电池系统与储能装置作为可控负荷,可以对分布式电源接入后引起的电压波动有一定程度的缓解,对维持电压的稳定具有重要的意义。本文考虑分布式电源出力的不确定性,以网损和电压稳定性指标为目标函数,通过分布式储能装置、电动汽车充电站、无功补偿装置以及分布式电源等无功功率作为控制变量,构建考虑分布式发电、分布式储能和电动汽车充放电协同运行的配电网无功优化模型,采用遗传算法对优化问题进行求解,仿真结果表明了该优化方法的有效性。
参考文献
电动汽车接入电网的影响与利用
[J].未来电动汽车(plug-in electric vehicle,PEV)的大规模接入,将给电力系统规划和运行带来不可忽视的影响。从电动汽车充电负荷建模与仿真计算、电动汽车接入对电力系统的影响、电动汽车的充放电控制与利用3大方面,讨论电动汽车接入电网的研究现状。指出电动汽车充电负荷分析应考虑的主要因素;总结电动汽车接入对电源发展、电网运行、充电设施与配电网规划方面的影响,并分析电动汽车有序充电及与电网互动(vehicle to grid,V2G)的研究现状和应用难点。最后,对今后的研究方向进行讨论。
Impacts and utilization of electric vehicles integration into power systems
[J].未来电动汽车(plug-in electric vehicle,PEV)的大规模接入,将给电力系统规划和运行带来不可忽视的影响。从电动汽车充电负荷建模与仿真计算、电动汽车接入对电力系统的影响、电动汽车的充放电控制与利用3大方面,讨论电动汽车接入电网的研究现状。指出电动汽车充电负荷分析应考虑的主要因素;总结电动汽车接入对电源发展、电网运行、充电设施与配电网规划方面的影响,并分析电动汽车有序充电及与电网互动(vehicle to grid,V2G)的研究现状和应用难点。最后,对今后的研究方向进行讨论。
电动汽车充放电特性及其对配电系统的影响分析
[J].
Charging and discharging characteristics of electric vehicles as well as their impacts on distribution systems
[J].
以降损为目标的电动汽车有序充电优化
[J].
Coordination of electric vehicle charging to minimize active power losses
[J].
电动汽车与分布式电源协同有序控制研究
[J].
Study of coordinated charging control for electric vehicles in correlation with distributed power source
[J].
电动汽车与分布式发电入网的协调控制研究
[J].当大规模的电动汽车(plug-in hybrid electric vehicle,PHEV)和分布式发电(distributed generation,DG)接入电网时,车主充电行为的随机性和分布式发电的间歇性加大了对电网调节能力的要求。文章建立了电动汽车和分布式发电协调控制的多目标优化模型。该模型以等效负荷率最大、节点电压越限和损耗率最小、入网服务成本和车主充电成本最低为目标,动态调节电动汽车充放电功率,能很好地匹配负荷和分布式发电的功率波动,降低分布式发电间歇性对电网的影响。最后用实例进行仿真,并对结果进行了深入分析。
Coordination control for grid-connection of plug-in hybrid electric vehicles and distributed generation
[J].当大规模的电动汽车(plug-in hybrid electric vehicle,PHEV)和分布式发电(distributed generation,DG)接入电网时,车主充电行为的随机性和分布式发电的间歇性加大了对电网调节能力的要求。文章建立了电动汽车和分布式发电协调控制的多目标优化模型。该模型以等效负荷率最大、节点电压越限和损耗率最小、入网服务成本和车主充电成本最低为目标,动态调节电动汽车充放电功率,能很好地匹配负荷和分布式发电的功率波动,降低分布式发电间歇性对电网的影响。最后用实例进行仿真,并对结果进行了深入分析。
电动汽车入网技术在配电网的应用研究
[J].
Application of vehicle to grid to the distribution grid
[J].
风电、光伏发电和电动汽车负荷协同控制的模型和方法
[J].
Cooperative control model and method of the regional wind farm, photovoltaic generation and electric vehicles
[J].
区域电网电动汽车充电与风电协同调度的分析
[J].增加风电消纳能力是电网的一项长期任务,而未来电动汽车充电与风电之间潜在的协同性为智能电网平台上多资源的协调互补利用提供了一种可能。文中研究了电动汽车充电的负荷特性以及不同充电方式对电网的影响。在此基础上,建立了多时间尺度的电动汽车 — 风电协同调度数学模型。以华北电网和西北电网的规划和实测数据为基础,分析了调度电动汽车充电以平滑电网等效负荷波动、消纳夜间过剩风电的可行性。
Synergistic dispatch of PEVs charging and wind power in Chinese regional power grids
[J].增加风电消纳能力是电网的一项长期任务,而未来电动汽车充电与风电之间潜在的协同性为智能电网平台上多资源的协调互补利用提供了一种可能。文中研究了电动汽车充电的负荷特性以及不同充电方式对电网的影响。在此基础上,建立了多时间尺度的电动汽车 — 风电协同调度数学模型。以华北电网和西北电网的规划和实测数据为基础,分析了调度电动汽车充电以平滑电网等效负荷波动、消纳夜间过剩风电的可行性。
含电动汽车充电站的风光互补系统容量优化配置
[J].DOI:10.7667/j.issn.1674-3415.2013.15.019 Magsci [本文引用: 1]
Optimum sizing of a stand-alone hybrid PV/wind generation system integrated with electric vehicle charging stations
[J].DOI:10.7667/j.issn.1674-3415.2013.15.019 Magsci [本文引用: 1]
配电系统中电动汽车与可再生能源的随机协同调度
[J].电动汽车和可再生能源发电的快速发展为电力系统的安全和经济运行带来了新的挑战。在此背景下,构建了能够计及可入网混合动力电动汽车(PHEV)和风电、光伏发电系统出力不确定性的随机协同优化调度模型。首先,分析了PHEV的行驶耗电和随机充放电行为。之后,在假设风速服从Rayleigh分布、光照服从Beta分布的前提下,导出了风电机组和光伏发电系统出力的期望、方差及二阶原点矩的表达式。在此基础上,发展了以平抑可再生能源出力波动为目标的电力系统随机协同优化调度模型,并应用交叉熵算法进行求解。最后,以33节点配电系统为例说明了所提出的随机协同优化调度模型的基本特征。
Stochastic optimization dispatching of plug-in hybrid electric vehicles in coordination with renewable generation in distribution systems
[J].电动汽车和可再生能源发电的快速发展为电力系统的安全和经济运行带来了新的挑战。在此背景下,构建了能够计及可入网混合动力电动汽车(PHEV)和风电、光伏发电系统出力不确定性的随机协同优化调度模型。首先,分析了PHEV的行驶耗电和随机充放电行为。之后,在假设风速服从Rayleigh分布、光照服从Beta分布的前提下,导出了风电机组和光伏发电系统出力的期望、方差及二阶原点矩的表达式。在此基础上,发展了以平抑可再生能源出力波动为目标的电力系统随机协同优化调度模型,并应用交叉熵算法进行求解。最后,以33节点配电系统为例说明了所提出的随机协同优化调度模型的基本特征。
含分布式电源及电动汽车充电站的配电网多目标规划研究
[J].
DOI:10.13335/j.1000-3673.pst.2015.02.024
Magsci
[本文引用: 1]
电动汽车充电站的定容选址问题对配电网络和交通网络都会产生影响,所以在分布式电源规划时应同时考虑。文章建立了路径选择模型与交通满意度评价模型,并研究了分布式电源的时序特性与互补性。考虑分布式电源同时为配电网负荷和充电站供电,建立了总成本最小、网络损耗最小和交通满意度最高的电动汽车充电站与分布式电源定容选址模型。并采用新的多目标自由搜索算法对上述模型进行求解,得到Pareto解集。最后以IEEE33节点配电网为例进行仿真计算,并采用交互式模糊决策对结果进行分析。结果表明,上述方法能得到合理的分布式电源与电动汽车充电站接入位置及其容量配置方案,所提模型和算法是可行且有效的。
Multi-objective planning of distribution network containing distributed generation and electric vehicle charging stations
[J].
DOI:10.13335/j.1000-3673.pst.2015.02.024
Magsci
[本文引用: 1]
电动汽车充电站的定容选址问题对配电网络和交通网络都会产生影响,所以在分布式电源规划时应同时考虑。文章建立了路径选择模型与交通满意度评价模型,并研究了分布式电源的时序特性与互补性。考虑分布式电源同时为配电网负荷和充电站供电,建立了总成本最小、网络损耗最小和交通满意度最高的电动汽车充电站与分布式电源定容选址模型。并采用新的多目标自由搜索算法对上述模型进行求解,得到Pareto解集。最后以IEEE33节点配电网为例进行仿真计算,并采用交互式模糊决策对结果进行分析。结果表明,上述方法能得到合理的分布式电源与电动汽车充电站接入位置及其容量配置方案,所提模型和算法是可行且有效的。
电动汽车接入电网的影响与利用
[J].未来电动汽车(plug-in electric vehicle,PEV)的大规模接入,将给电力系统规划和运行带来不可忽视的影响。从电动汽车充电负荷建模与仿真计算、电动汽车接入对电力系统的影响、电动汽车的充放电控制与利用3大方面,讨论电动汽车接入电网的研究现状。指出电动汽车充电负荷分析应考虑的主要因素;总结电动汽车接入对电源发展、电网运行、充电设施与配电网规划方面的影响,并分析电动汽车有序充电及与电网互动(vehicle to grid,V2G)的研究现状和应用难点。最后,对今后的研究方向进行讨论。
Impacts and utilization of electric vehicles integration into power systems
[J].未来电动汽车(plug-in electric vehicle,PEV)的大规模接入,将给电力系统规划和运行带来不可忽视的影响。从电动汽车充电负荷建模与仿真计算、电动汽车接入对电力系统的影响、电动汽车的充放电控制与利用3大方面,讨论电动汽车接入电网的研究现状。指出电动汽车充电负荷分析应考虑的主要因素;总结电动汽车接入对电源发展、电网运行、充电设施与配电网规划方面的影响,并分析电动汽车有序充电及与电网互动(vehicle to grid,V2G)的研究现状和应用难点。最后,对今后的研究方向进行讨论。
电动汽车充电对配电网的影响及对策
[J].电动汽车的大规模使用将会对配电网产生直接影响。以某市一条10 kV生活线路为对象,考虑了多种渗透率场景,从负荷、电网损耗和电压等几个方面分析了电动汽车充电对配电网的影响。分析结果表明当电动汽车渗透率较高时,车主的无控制充电行为将会对电网造成巨大的压力,而合理的电动汽车接入电网充电将有助于电网的经济运行。提出了电动汽车智能充电方法,该方法可在满足电动汽车充电需求的情况下,根据短期负荷趋势,对各时段可充电功率进行优化,达到平稳负荷、降低电能损耗和提高电压质量的目标。
Impacts of electric vehicles charging on distribution grid
[J].电动汽车的大规模使用将会对配电网产生直接影响。以某市一条10 kV生活线路为对象,考虑了多种渗透率场景,从负荷、电网损耗和电压等几个方面分析了电动汽车充电对配电网的影响。分析结果表明当电动汽车渗透率较高时,车主的无控制充电行为将会对电网造成巨大的压力,而合理的电动汽车接入电网充电将有助于电网的经济运行。提出了电动汽车智能充电方法,该方法可在满足电动汽车充电需求的情况下,根据短期负荷趋势,对各时段可充电功率进行优化,达到平稳负荷、降低电能损耗和提高电压质量的目标。
配电网电动汽车优化充电研究
[J].
Research on charging optimization for distributed plug-in hybrid EV
[J].
电动汽车充电对电网影响的综述
[J].<p>在政府对电动汽车产业的大力推动下,我国电动汽车产业将步入快速发展期,同时也极大的推动了电动汽车充电站和充电桩的建设,大量电动汽车的充电行为将会给电网带来较大的影响。本文首先指出电动汽车的普及程度、类型、充电时间、充电方式以及充电特性的不同会使得电动汽车对电网的影响发生变化。然后针对电动汽车充电对电网的影响问题,从输电网、配电网角度对国内外关于电动汽车接入电网的研究现状进行详细分析。最后针对充电站对电网的谐波污染问题,介绍了各种谐波污染的治理方法。</p>
A survey of influence of electrics vehicle charging on power grid
[J].<p>在政府对电动汽车产业的大力推动下,我国电动汽车产业将步入快速发展期,同时也极大的推动了电动汽车充电站和充电桩的建设,大量电动汽车的充电行为将会给电网带来较大的影响。本文首先指出电动汽车的普及程度、类型、充电时间、充电方式以及充电特性的不同会使得电动汽车对电网的影响发生变化。然后针对电动汽车充电对电网的影响问题,从输电网、配电网角度对国内外关于电动汽车接入电网的研究现状进行详细分析。最后针对充电站对电网的谐波污染问题,介绍了各种谐波污染的治理方法。</p>
分布式光伏发电对配电网电压的影响及电压越限的解决方案
[J].<p>从电网电压降落角度研究光伏发电接入配电网前后电网电压的变化,分别分析单个和多个光伏发电接入对配电网电压的影响,得出了光伏发电接入后将使线路电压升高,且线路某点电压变化趋势与该点后所有负荷大小和光伏发电出力有直接关系的结论,探讨了影响电压变化的各种因素,如光伏出力大小、接入位置、电网线路参数、负荷大小等。通过算例验证了上述分析的正确性,并提出了解决分布式光伏发电引起电压越限的措施和方案,包括电抗器补偿、线路中央控制和逆变器无功控制结合、安装储能装置等。</p>
Influence of distributed photovoltaic generation on voltage in distribution network and solution of voltage beyond limits
[J].<p>从电网电压降落角度研究光伏发电接入配电网前后电网电压的变化,分别分析单个和多个光伏发电接入对配电网电压的影响,得出了光伏发电接入后将使线路电压升高,且线路某点电压变化趋势与该点后所有负荷大小和光伏发电出力有直接关系的结论,探讨了影响电压变化的各种因素,如光伏出力大小、接入位置、电网线路参数、负荷大小等。通过算例验证了上述分析的正确性,并提出了解决分布式光伏发电引起电压越限的措施和方案,包括电抗器补偿、线路中央控制和逆变器无功控制结合、安装储能装置等。</p>
含有风电与光伏发电以及电动汽车的电力系统概率潮流
[J].
Probabilistic load flow of power system with WFs, PVs and PEVs
[J].
包含分布式电源的配电网无功优化
[J].将能够提供无功功率的分布式电源与传统的电压调节手段相结合, 研究了包含分布式电源的配电网无功优化问题。利用基于聚类和竞争克隆机制的多智能体免疫算法实现无功优化, 建立了无功优化问题的多智能体免疫模型。利用多智能体系统实现在寻优过程中动态改变抗原, 在亲和度成熟过程中引入聚类竞争克隆机制和混合变异算子, 以保存种群的多样性, 同时保证算法能够较快的收敛。通过改进的IEEE 33节点系统的仿真计算, 表明利用分布式电源对电网进行无功补偿能较大程度地降低系统有功损耗, 并且证明了所提算法的快速性和有效性。
Reactive power optimization for distribution system with distributed generators
[J].将能够提供无功功率的分布式电源与传统的电压调节手段相结合, 研究了包含分布式电源的配电网无功优化问题。利用基于聚类和竞争克隆机制的多智能体免疫算法实现无功优化, 建立了无功优化问题的多智能体免疫模型。利用多智能体系统实现在寻优过程中动态改变抗原, 在亲和度成熟过程中引入聚类竞争克隆机制和混合变异算子, 以保存种群的多样性, 同时保证算法能够较快的收敛。通过改进的IEEE 33节点系统的仿真计算, 表明利用分布式电源对电网进行无功补偿能较大程度地降低系统有功损耗, 并且证明了所提算法的快速性和有效性。
计及电动汽车和光伏—储能的微网能量优化管理
[J].
Optimal engergy management for microgrids considering electric vehicles and photovoltaic-engergy storage
[J].
考虑不确定性的含DG与EV配电网无功电压协调优化方法
[J].
Optimized method for coordinating reactive power and voltage level in distribution network by considering the uncertainty of DG and EV
[J].
计及风-储联合系统概率模型的配电网随机潮流
[J].
DOI:10.13335/j.1000-3673.pst.2016.01.032
Magsci
[本文引用: 3]
在主动配电网的背景下,分布式风电在配电网中渗透率逐步提高,通过在并网点配置储能系统可平滑风电出力波动,并使其主动参与配电网调度。目前广泛使用的含风电配电网随机潮流模型中未能考虑风电并网点配置储能系统后其功率注入概率模型的形态变化。针对此不足,从储能系统的运行特性以及风-储协同输出机理出发,设计了计及储能系统的风电并网点功率注入概率模型修正方法,在已知储能参数的情况下根据文中方法可以在风电出力模型基础上进行修正,进而获得风-储联合系统概率模型,并应用于配电网随机潮流。算例表明所提方法获得的风-储联合系统概率模型合理准确,能够在随机潮流模型中描述风-储并网点出力行为的转变,通过在配电网中的风电并网点配置储能系统可削弱风电的不确定性,有效提升电压质量且抑制全网电压波动。
Stochastic power flow of distribution network considering probability model of wind-storage combined systems
[J].
DOI:10.13335/j.1000-3673.pst.2016.01.032
Magsci
[本文引用: 3]
在主动配电网的背景下,分布式风电在配电网中渗透率逐步提高,通过在并网点配置储能系统可平滑风电出力波动,并使其主动参与配电网调度。目前广泛使用的含风电配电网随机潮流模型中未能考虑风电并网点配置储能系统后其功率注入概率模型的形态变化。针对此不足,从储能系统的运行特性以及风-储协同输出机理出发,设计了计及储能系统的风电并网点功率注入概率模型修正方法,在已知储能参数的情况下根据文中方法可以在风电出力模型基础上进行修正,进而获得风-储联合系统概率模型,并应用于配电网随机潮流。算例表明所提方法获得的风-储联合系统概率模型合理准确,能够在随机潮流模型中描述风-储并网点出力行为的转变,通过在配电网中的风电并网点配置储能系统可削弱风电的不确定性,有效提升电压质量且抑制全网电压波动。
独立光伏系统光储容量优化配置方法
[J].
DOI:10.13335/j.1000-3673.pst.2014.05.022
Magsci
[本文引用: 1]
为提高独立光伏系统的供电可靠性和光伏利用率,需要合理配置光伏组件和储能系统的容量。根据光伏系统-储能联合运行的特点,考虑运行过程中储能能量的动态变化过程,以储能单元的技术特性为约束,提出以负荷缺电率(loss of power supply probability,LPSP)和能量溢出比(energy excess percentage,EXC)为考核指标的光伏、储能容量的联合配置方法。在给定案例条件下,考虑了阀控铅酸电池、锂离子电池和全钒液流电池3种类型,分别对3种电池储能进行了容量配置,并以初始投资最小为目标,计算最优光储容量配置。结果表明,在相同配置情况下,采用全钒液流电池系统供电可靠性较高、经济性较好,而在满足指标要求下,采用阀控铅酸电池系统初始投资最小。
Optimized capacity configuration of photovoltaic generation and energy storage device for stand-alone photovoltaic generation system
[J].
DOI:10.13335/j.1000-3673.pst.2014.05.022
Magsci
[本文引用: 1]
为提高独立光伏系统的供电可靠性和光伏利用率,需要合理配置光伏组件和储能系统的容量。根据光伏系统-储能联合运行的特点,考虑运行过程中储能能量的动态变化过程,以储能单元的技术特性为约束,提出以负荷缺电率(loss of power supply probability,LPSP)和能量溢出比(energy excess percentage,EXC)为考核指标的光伏、储能容量的联合配置方法。在给定案例条件下,考虑了阀控铅酸电池、锂离子电池和全钒液流电池3种类型,分别对3种电池储能进行了容量配置,并以初始投资最小为目标,计算最优光储容量配置。结果表明,在相同配置情况下,采用全钒液流电池系统供电可靠性较高、经济性较好,而在满足指标要求下,采用阀控铅酸电池系统初始投资最小。
Optimal reactive power dispatch using an adaptive genetic algorithm
[C].
基于遗传算法的电网无功优化
[J].
Reactive power optmiization based on genetic algorithms in electrical power system
[J].
基于遗传算法的电力系统无功优化
[J].在总结常用的电力系统无功电压优化方法的基础上,建立了以网损、电压质量和无功潮流分布为目标函数的数学模型.然后对基本遗传算法进行了一些改进,并将改进的遗传算法应用到IEEE30节点系统进行验证.测试结果表明,改进的遗传算法有助于解决无功电压优化问题.
Reactive power optimization based on genetic algorithm
[J].在总结常用的电力系统无功电压优化方法的基础上,建立了以网损、电压质量和无功潮流分布为目标函数的数学模型.然后对基本遗传算法进行了一些改进,并将改进的遗传算法应用到IEEE30节点系统进行验证.测试结果表明,改进的遗传算法有助于解决无功电压优化问题.
基于遗传算法的电力系统无功优化
[J].
Reactive power optimization based on enetic algorithms in electric power systems
[J].
Network reconfiguration in distribution systems for loss reduction and load balancing
[J].
/
| 〈 |
|
〉 |