基于用户满意度的智能用电能量调度方法研究
合肥工业大学电气工程学院 合肥 230009
Research on Intelligent Electricity Energy Scheduling Method Based on User's Satisfaction
Hefei University of Technology Hefei 230009 China
收稿日期: 2016-07-4 网络出版日期: 2017-04-25
Received: 2016-07-4 Online: 2017-04-25
作者简介 About authors

纪姝彦 女 1990年生,硕士研究生,主要研究方向为智能需求侧响应。

李冬伟 男 1990年生,硕士研究生,主要研究方向为智能需求侧响应。
提出一种家庭能量调度管理优化方法。从用户侧角度出发,利用光蓄互补的发电模型并采用余电上网的出售方式,建立实时电价环境下的智能家居负荷运行、储能模型,综合考虑以减少用户用电成本和兼顾用户舒适性为目标进行优化。在可延迟负荷和可中断负荷的舒适性研究基础上,本文建立了面向用户舒适性的智能用电调度管理目标函数,在相关约束条件下创新性地利用粒子群算法获得优化参数,指导用电侧能量调度管理。在满足价格激励型需求响应的同时,尽可能顾及用户的舒适性,并建立用户满意度模型,综合考虑花费满意度和舒适性满意度。最后,验证了基于用户满意度的智能用电研究的正确性。
关键词:
A kind of optimization method is applied to household energy scheduling management. From the perspective of the user side, the optical storage complementary power generation model and the surplus electricity online sale way are used, a real-time intelligent household electricity environment load operation and energy storage model are established. It should optimize the goal by considering to reduce the power cost and satisfy the user′s comfort. In deferrable load based on the study and comfort of interruptible load, a user-oriented comfort of intelligent power dispatching management objective function is established in the paper, and the particle swarm algorithm is used to optimize parameters under the relevant constraints innovative. It can guide the energy scheduling management in electricity side. This way can satisfy the user′s comfortableness, establish user satisfaction model and consider cost satisfaction and comfort degree satisfaction in response to meet the demand of price incentive model of at the same time. Finally, the correctness of the smart electricity research is verified based on customer satisfaction in the paper.
Keywords:
本文引用格式
纪姝彦, 李冬伟.
Ji Shuyan.
1 引言
随着经济社会的发展,电力需求量越来越大,能源危机的问题日益引起重视。能源日益短缺和环境污染,都会给人类社会的发展带来重大挑战。因此新能源发电所起到的作用愈发重要,但新能源具有随机性及波动性的特点,传统的电力系统结构没有办法满足新能源的大量接入。其次,负荷快速增长及其环境污染等原因,需要大力发展智能电网。智能用电技术的发展,已经成为电网发展的新方向。智能用电利用通信技术,信息得以在电网和用户间传递。同传统电网能量的单一流动方向相比,智能电网的能量流动是双向的。用户可以更加合理地用电,并提高用电效率。
随着智能电网的大规模发展,智能家居作为能源使用的末端单元也纳入到智能电网的体系中,同传统方式相比,居民更加积极主动地参与能量管理。从电力用户的角度来看,用户积极主动地参与电网运行,响应电价调节模式,调整家庭负荷的运行时间,将负荷从峰时段转移到谷时段运行,以获得自身利益最大化。但这种利益最大化获得的前提条件是通过改变负荷的运行情况。鉴于用户本身的收入、家用负荷运行情况的改变引起居民适应性能的差别,不同用户对这种家用负荷运行情况的改变所持态度也大不相同。
家庭能量管理(Home Energy Management System,HEMS)是目前广泛使用的一种技术手段[1]。HEMS根据分布式电源的输出功率及实时电价,改变负荷运行情况,调整各个家用负荷及储能设备在不同时间段的开关状态,从而影响各个时间段的家用负荷用电功率,进而降低了用户全天的用电费用。但这种用电费用的减少,实际上影响了用户的舒适性。文献[2]提出了基于用户满意度的决策模型;文献[3]根据家电实时状态的舒适性和动态优先级进行负荷控制;文献[4]考虑可延迟负荷的允许时间的变化,进而提出用电成本及舒适性的综合调度,但这里将空调、热水器等温控性负荷进行了简化,仅考虑运行时间的改变;文献[5]综合考虑了可延迟负荷和可中断负荷所带来的不舒适性,可中断负荷仅考虑切除比例范围,未考虑温度变化;文献[6]提出在光照充足的条件下,空调系统尽可能多地在光伏电源出力充足的情况下使用光伏出力来降低温度以减少花费,但也需要考虑空调运行的温度范围在人体可接受的范围内。基于上述文献仅考虑单一类型负荷研究的不足,本文提出了综合考虑可延迟负荷和可中断负荷舒适性的智能家电能量管理,更合理地考虑用户舒适性的要求。文献[3,4]所提出的用户舒适性均按照偏离设定值呈线性变化,但对所有家用负荷执行一个评价指标;文献[5]则根据花费的降低等效表示舒适性的改变,并未准确表现时间及运行温度改变的情形;文献[7]通过问卷调查受访者对智能家电运行舒适性的感知,并建立模型来量化这种感知。由上述文献可以看出,随着智能家居的实施,舒适性也越发受到重视。从生物学的角度出发,人类主动积极参与环境变化的特点,舒适性实际是环境和心理状态的综合反映[8,9]。根据不同家用负荷运行状况的改变对居民舒适性造成的不同影响,本文建立新的舒适性模型,并给出了舒适性的评价函数。所提模型以综合考虑花费满意度和舒适性满意度为目标进行优化,最后验证了基于用户满意度的正确性。
2 智能家居模型
HEMS通过有线或者无线的形式,将家用负荷的用电信息传递给电力部门。家用负荷的所有设备都与HEMS进行连接,用户则需要提前对各个家用电器的运行时间段进行设置,电力公司会根据居民的用电情况,更加合理地安排电力生产情况。
2.1 光伏电源模型
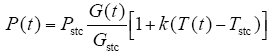
光伏发电输出功率为[12]

式中,Pstc为标准测试条件下的最大测试功率。标准测试条件为:光照强度Gstc = 1 000W/m2;环境温度Tstc = 25℃;k为温度系数,取k = -0.005/℃;G(t)为t时刻的光照强度;T(t)为t时刻的室外温度。
2.2 储能系统模型
储能系统增加了居民用电的灵活性,居民可以将分布式电源产生的多余电能储存起来。合理地加入储能在家庭能量管理中起到十分重要的作用。储能模型主要用来表示充放电中荷电状态的变化[13]。储能充电为

式中,SSOC表示储能的荷电状态;Cbat表示储能容量;Pch(t)表示充电功率;ηch表示充电效率;Pdis(t)表示放电功率;ηdis表示放电效率;Δt为15min。
2.3 负荷模型
智能家居的负荷模型可分为三类:①刚性负荷:基本照明、电视机、计算机等,一般同用户的生活作息联系紧密,不可更改;②可延迟负荷:电饭锅、洗碗机、洗衣机等,一经运行不能停止;③可中断负荷:空调、热水器等温控器负荷,随着温度范围确定开关状态。用户在保证正常生活的情况下,通过HEMS重新调整家用负荷的使用情况,以达到费用降低的目标。
(1)可延迟负荷。工作时间连续,在工作时间内不能停止,其数学模型为[14]

式中,[αa, βa]是负荷允许工作的时间段;tastart是负荷运行的开始时刻;taend是负荷运行的结束时刻;ha是负荷可能运行的时间点;da是负荷运行时长;xah是负荷的状态,xah = 1表示负荷运行,xah = 0表示负荷停止。
(2)可中断负荷。本文主要考虑温控负荷,如空调,热水器。
1)空调。本文空调处于制冷模式下运行,空调的开关状态由室内温度决定。若室内温度高于最高设定温度,则空调启动;若室内温度低于最低设定温度,则空调关闭;若室内温度在设定温度范围之间,则空调保持之前的运行状态[15],即

式中,TAC,t为t时刻的室内温度值;TAC,max为室内设定温度最高值;TAC,min为室内设定温度最低值;UAC,t为t时刻的空调运行状态。
2)热水器。热水器的开关状态由水温决定。若水温高于最高设定温度,则热水器停止加热;若水温低于最低设定温度,则热水器开始加热;若水温在设定温度范围之间,则热水器保持之前的运行状态[16],即

式中,TEWH,t为t时刻的水温值;TEWH,max为设定水温最高值;TEWH,min为设定水温最低值;UEWH,t为t时刻的热水器工作状态。
温控型负荷每分钟检测一次温度,根据温控性负荷的运行情况,可求出15min的平均运行功率。
3 居民舒适性模型
本文将舒适性分为等待时间舒适性和温度舒适性。等待时间舒适性要求负荷尽可能在允许运行的时间段内靠前运行。负荷如果能在最开始时刻运行,舒适性越高,反之如果延迟负荷的运行时间越长,则舒适性降低;温度舒适性要求温度越靠近设定温度,舒适性越高,反之,越低。舒适性在0~1范围内变化。
3.1 可延迟负荷舒适性评价指标
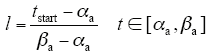
本文采用可延迟负荷在时间上向后推移而带来的等待时间增加,等价描述用户舒适性的下降,等待时间越长,说明用户的舒适性越差。即

式中,l为偏离设定值百分比;tstart为可延迟负荷实际开始运行的时间;αa为设备允许运行的开始时刻;βa为设备允许运行的结束时刻。
文献[17]调查报告提出了三种运行模式研究柔性负荷:①家用负荷在某个时间点最迟完成工作;②家用负荷在某个时间段更适合运行;③可中断负荷因发生中断操作而造成的运行时间延长。不同类型负荷采取不同的运行方式,可延迟负荷分为两种模式运行。根据国外调查报告可以看出舒适性愈发引起关注。因此,本文按照设备运行时间改变对居民影响程度的重要性建立舒适度函数。
若设备运行情况的改变对居民生活影响较大,则较小的偏离设定值百分比会较大地降低用户的舒适性。负荷模型如电饭锅,在饭点时间段的推迟造成居民舒适性的剧烈降低,则舒适性函数为

其中,b = 5。
若设备运行情况的改变对居民生活影响不是很大,同居民生活的没那么密切相关,则舒适性函数随运行时间的推迟呈线性变化,则舒适性函数为
3.2 可中断负荷舒适性评价指标
本文主要考虑的是温控型负荷,如空调,热水器。空调负荷的运行功率与设定温控性负荷温度范围的上下界限、光照强度和室外温度有关。如图1所示。
图1
图1
夏季空调开关及室内温度变化曲线
Fig.1
Curve of room temperature and switching statues of air conditioner in summer
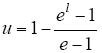
本文通过调整温控性负荷的上下界限来调整温控性负荷功率,假设在变化过程中,温控性负荷上下界限偏离设定值百分比相同,并且认为上下界限越靠近设定的温度,舒适性越高,即

式中,l为偏离设定值百分比;Tmax,set为舒适性最佳时温度的上限;Tmax为设定温度范围的上边界;Tmin,set为舒适性最佳时温度的下边界;Tmin为设定温度范围的下限;ΔT为空调温度上下界限的变化范围。
由式(9)可得此时温控性负荷的运行上下界限温度为

人体的适应性能由生理适应和心理适应组成。在芬兰的调查报告中显示,室内温度在越接近人体舒适的情况下,人体对温度变化的灵敏度比其他情况下要低[17]。鉴于人体对温度变化感觉的灵敏度,偏离温度较小,温度感受反映不是很灵敏。在本文温度的变化范围内,偏离设定百分比越大,人体舒适性降低越快,由PMV-PPD方程曲线可以得出人体舒适性和偏离设定值百分比呈幂函数变化[18],偏离设定值越多,用户的舒适性降低越快。同时,从用户的心理角度出发,对于大功率设备,偏离设定百分比在较小的范围内,用户花费减少,尽管此时出现了小幅度的设定值偏离百分比,用户舒适性还是处于较高水平。水温舒适性近似按照空气温度舒适性建模,则温控性负荷舒适性评价指标为

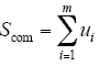
因此,整个家居系统的舒适性总和为

式中,m为可中断负荷设备与可延迟负荷设备的总数。
4 智能用电的管理模型
4.1 优化目标

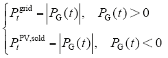
式中,Ptgrid表示从电网购电;λtbuy表示实时电价;PtPV,sold表示光伏馈电;λtsell表示光伏馈电价格;Δt为15min。
(2)基于满意度的智能用电模型。此外,考虑到居民侧期望改变生活方式所带来的花费减少的优势,同时兼顾自身舒适性的要求,目标函数为

式中,σ为居民舒适性的负荷权重,可根据居民的个体需要灵活变化。
4.2 约束条件
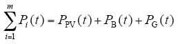
(1)电能平衡约束条件为

式中,PPV(t)表示光伏发电有功功率;PB(t)表示储能有功功率;PG(t)表示市电功率。且
(2)储能荷电状态约束条件为

式中,PB(t)>0表示储能放电;PB(t)<0表示储能充电;SSOC,max和SSOC,min分别为剩余容量的上下界限;Pdismax为最大放电功率。
4.3 优化算法
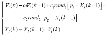
本文采用粒子群算法进行求解,通过优化方法,指导粒子群的运动。这里优化的是家用负荷的设定值偏离百分比,通过设定值偏离百分比可以确定可延迟负荷的开始运行时间、温控负荷的温度上下界限以及舒适性函数。首先随机化一群初始粒子,并根据第二天光照强度及温度,预测出第二天的光伏发电功率,HEMS根据以上信息,并结合实时电价、居民舒适性问题,合理安排储能的充放电及家居负荷的运行状况。其中,Xi是粒子的位置;Vi是粒子的速度,位置和速度更新计算式为

式中,ω是加权系数,取(0, 1)之间的随机数;c1和c2为学习因子。
求解流程图如图2所示。
图2
5 案例分析
5.1 调度基本信息
表1 家用电器运行情况
Tab.1
负荷名称 | 功率/kW | 允许工作时间段 | 工作时间/h |
---|---|---|---|
洗干一体机 | 2 | 8:00~18:00 | 2 |
电饭锅 | 1.2 | 10:00~13:00 | 0.75 |
吸尘器 | 1.2 | 9:00~18:00 | 0.5 |
空调 | 2.2 | 全天 | – |
热水器 | 3/1.5 | 19:15~23:00 | – |
照明灯 | 0.12 | 18:00~24:00 | 6 |
笔记本 | 0.1 | 18:00~24:00 | 6 |
图3
图4
5.2 优化结果
以用户花费最少为目标进行优化,通过粒子群算法优化得到结果见表2。同时和初始运行场景的负荷运行情况进行对比。
表2 家用电器运行对比表
Tab.2
负荷名称 | 调度前 | 调度后 |
---|---|---|
洗干一体机 | 8:00~10:00 | 12:00~14:00 |
电饭锅 | 10:00~10:45 | 10:15~11:00 |
吸尘器 | 9:00~9:30 | 14:00~14:30 |
空调 | 25~27℃ | 24.22~27.78℃ |
热水器 | 53~57℃ | 51.35~58.65℃ |
图5
图5
调度前家用电器运行图
Fig.5
Curve of the operation about household appliances before scheduling
图6
图6
调度后家用电器运行图
Fig.6
Curve of the operation about household appliances after scheduling
用户花费由调度前的6.74元,降低为优化后的5.57元,但此时可延迟负荷和温控性负荷的舒适性也降低,特别是空调的舒适性,降为0.3,而夏天用户本身对空调的需求还是挺高的。
5.3 考虑用户舒适性的调度结果
表4 场景3运行情况
Tab.4
负荷名称 | 运行情况 |
---|---|
洗干一体机 | 11:15~13:15 |
电饭锅 | 10:15~11:00 |
吸尘器 | 9:00~9:30 |
空调 | 24.98~27.02℃ |
热水器 | 52.59~57.41℃ |
照明灯 | 18:00~24:00 |
笔记本 | 18:00~24:00 |
6 结束语
本文针对家用负荷的运行特点,建立家用负荷舒适性函数,HEMS能够很好地完成家用负荷的调度。算例表明家庭能量管理系统将家用负荷连接在一起,进行统一管理。合理安排所有家用负荷的运行,使用户花费较少的同时,又能保证用户的舒适性。本文最后验证了所提模型的正确性。实际上。用户还可以根据自身的需求,灵活地调整居民舒适性的负荷权重大小,以达到用户花费和舒适性的一个动态平衡。
参考文献
Optimal residential load control with price prediction in real-time electricity pricing environments
[J].DOI:10.1109/TSG.2010.2055903 URL [本文引用: 1]
基于用户价格响应和满意度的峰谷分时电价决策模型
[J].
Time-of-use price decision model considering users reaction and satisfaction index
[J].
基于电力需求响应的智能家电管理控制方案
[J].
DOI:10.7500/AEPS20140106008
URL
[本文引用: 2]
运用智能电力需求响应(DR)技术,有效整合用户侧电网响应潜力以提升电网运行的安全性、稳定性和经济性值得深入研究。以居民用户为例,利用智能电网双向交互能力,提出了智能家电管理(HAM)系统及其控制方案。建立了不同家电的控制模型,并根据家电运行特点提出了家电舒适度指数的概念。在满足DR用电要求并尽量满足用户舒适度的前提下,根据家电实时状态在线计算其动态优先级,并按照优先级顺序执行负荷控制决策。分析了不同家电参与DR后,对改善电网负荷曲线的作用。从电力公司与用户两方面分析了所提控制方案的控制效果。仿真结果验证了智能家电控制方案的合理性。
Management and control scheme for intelligent home appliances based on electricity demand response
[J].
DOI:10.7500/AEPS20140106008
URL
[本文引用: 2]
运用智能电力需求响应(DR)技术,有效整合用户侧电网响应潜力以提升电网运行的安全性、稳定性和经济性值得深入研究。以居民用户为例,利用智能电网双向交互能力,提出了智能家电管理(HAM)系统及其控制方案。建立了不同家电的控制模型,并根据家电运行特点提出了家电舒适度指数的概念。在满足DR用电要求并尽量满足用户舒适度的前提下,根据家电实时状态在线计算其动态优先级,并按照优先级顺序执行负荷控制决策。分析了不同家电参与DR后,对改善电网负荷曲线的作用。从电力公司与用户两方面分析了所提控制方案的控制效果。仿真结果验证了智能家电控制方案的合理性。
Improvement of consumer satisfaction level by energy storage system in smart houses
[J].
基于模型预测控制的家庭能源局域网最优能量管理研究
[J].
DOI:10.13334/j.0258-8013.pcsee.2015.14.021
URL
[本文引用: 2]
能源互联网是解决未来大规模可再生能源发电接入,提高电力质量与用户需求侧管理水平,以及增强电网系统安全性、可靠性、经济性的重要手段。未来家庭能源局域网作为能源互联网的一种子网,由可再生能源发电设备、分布式可控发电设备、储能系统、电动汽车和智能负载等组成,有必要对其进行最优能量管理以实现经济、安全地运行,并与其它能源局域网协同以提高能源互联网系统的整体性能。文中在建立家庭能源局域网系统结构模型的基础上,构建家庭能源局域网能量管理的混合整数二次规划模型,并运用模型预测控制方法实现该能源局域网的在线能量管理。仿真结果表明,文中提出的基于模型预测控制的家庭能源局域网能量管理策略能够有效实现能量的优化分配,并在预测不确定性环境下具有较强的鲁棒性。
Optimal energy management of a residential local energy network based on model predictive control
[J].
DOI:10.13334/j.0258-8013.pcsee.2015.14.021
URL
[本文引用: 2]
能源互联网是解决未来大规模可再生能源发电接入,提高电力质量与用户需求侧管理水平,以及增强电网系统安全性、可靠性、经济性的重要手段。未来家庭能源局域网作为能源互联网的一种子网,由可再生能源发电设备、分布式可控发电设备、储能系统、电动汽车和智能负载等组成,有必要对其进行最优能量管理以实现经济、安全地运行,并与其它能源局域网协同以提高能源互联网系统的整体性能。文中在建立家庭能源局域网系统结构模型的基础上,构建家庭能源局域网能量管理的混合整数二次规划模型,并运用模型预测控制方法实现该能源局域网的在线能量管理。仿真结果表明,文中提出的基于模型预测控制的家庭能源局域网能量管理策略能够有效实现能量的优化分配,并在预测不确定性环境下具有较强的鲁棒性。
Optimization of an air conditioning unit according to renewable energy availability and user’s comfort
[J].
Introducing smart grids in residential contexts: consumers' perception of smart household appliances
[J].
Optimal residential load control with price prediction in real-time electricity pricing environments
[J].DOI:10.1109/TSG.2010.2055903 URL [本文引用: 1]
智能电网环境下家庭能源管理系统优化调度算法
[J].DOI:10.7667/j.issn.1674-3415.2016.02.003 URL [本文引用: 1]
A scheduling algorithm for home energy management system in smart grid
[J].DOI:10.7667/j.issn.1674-3415.2016.02.003 URL [本文引用: 1]
面向智能用电的家庭能量协同调度策略
[J].
Co-scheduling strategy of home energy for smart power utilization
[J].
An evaluation of the HVAC load potential for providing load balancing service
[J].DOI:10.1109/TSG.2012.2183649 URL [本文引用: 1]
Demand response from residential customers' perspective
[C].
基于广义需求侧资源的微网运行优化
[J].
Optimal operation for microgrid using generalized demand side resources
[J].
分时电价环境下基于家居能量管理系统的家居负荷建模与优化运行
[J].
DOI:10.13335/j.1000-3673.pst.2015.02.011
URL
[本文引用: 1]
分时电价反映了电能商品的时间差价,可以更好地鼓励用户合理安排用电时间,削峰填谷,提高电力资源的利用效率;家居能量管理系统(home energy management system,HEMS)的研发与可变电价环境下家居负荷的优化方法成为影响分时电价应用效果的关键因素。为此,文章在HEMS的基础上研究了如何给出家居设备的优化运行方案以应对多变的分时电价。首先,给出了家居设备的负荷特性描述,通过各类特性的搭配对常见家居设备进行建模;然后,建立了分时电价环境下的家居设备优化运行决策模型,模型以最小化用户电能成本与最小化峰谷差为目标,综合考虑多类设备以及分布式新能源的协调;最后进行算例仿真,对比分析了多种场景下的优化决策结果,验证了优化运行决策模型在控制用户电能成本及减小峰谷差方面的作用。
Modeling and optimal dispatch for residential load based on home energy management system under time-of-use pricing
[J].
DOI:10.13335/j.1000-3673.pst.2015.02.011
URL
[本文引用: 1]
分时电价反映了电能商品的时间差价,可以更好地鼓励用户合理安排用电时间,削峰填谷,提高电力资源的利用效率;家居能量管理系统(home energy management system,HEMS)的研发与可变电价环境下家居负荷的优化方法成为影响分时电价应用效果的关键因素。为此,文章在HEMS的基础上研究了如何给出家居设备的优化运行方案以应对多变的分时电价。首先,给出了家居设备的负荷特性描述,通过各类特性的搭配对常见家居设备进行建模;然后,建立了分时电价环境下的家居设备优化运行决策模型,模型以最小化用户电能成本与最小化峰谷差为目标,综合考虑多类设备以及分布式新能源的协调;最后进行算例仿真,对比分析了多种场景下的优化决策结果,验证了优化运行决策模型在控制用户电能成本及减小峰谷差方面的作用。
实时电价下计及转移成本的负荷优化
[J].
Load optimization considering transfer cost under real-time power price
[J].
智能用电互动服务平台的设计
[J].通过研究国内外智能用电服务的发展现状、技术支持和试点情况,分析了建设智能服务平台的重要意义。针对智能电网条件下的用户个性化、多样化服务需求,提出了智能服务互动平台系统方案和设备配置,重点介绍了平台系统架构、网络接口和关键设备等内容,并通过厦门智能互动社区试点项目介绍了互动服务平台的应用实践。最后对互动服务平台进行了总结和展望。
Design of interactive service platform for smart power consumption
[J].通过研究国内外智能用电服务的发展现状、技术支持和试点情况,分析了建设智能服务平台的重要意义。针对智能电网条件下的用户个性化、多样化服务需求,提出了智能服务互动平台系统方案和设备配置,重点介绍了平台系统架构、网络接口和关键设备等内容,并通过厦门智能互动社区试点项目介绍了互动服务平台的应用实践。最后对互动服务平台进行了总结和展望。
/
〈 |
|
〉 |
