基于粒子群算法的变压器油纸绝缘系统回复电压场路模拟研究 |
张施令 |
The Simulation Analysis of Transformer Recovery Voltage by Field and Circuit Method Based on PSO Algorithm |
Shilling Zhang |
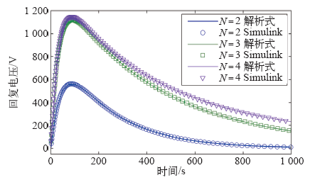
图13 解析式与Simulink模拟结果对比 |
Fig.13 Comparison between analytical formula and Simulink simulation results |
![]() |